基于Android平台的同学录设计与开发毕业论文
2020-02-23 18:18:58
摘 要
本文的内容是在介绍如何开发一个电子同学录系统,该系统是以Android为平台的。Classmates Electronics是一款针对 Android平台的APP,它为学生毕业后交流活动提供了一个平台, 旨在将 Java语言和 SDK的开发作为开发环境。具有清晰的MVC结构。整体架构分为数据层,业务层和表示层,数据访问层作为系统的基础支柱。系统运行过程中产生的基础数据存储在MySQL数据库中,业务逻辑层主要处理四个核心功能。系统:个人数据,消息,朋友圈和新闻活动模块。 表现层则有Android移动设备进行访问。
关键词: 电子同学录;Android;Java;SDK;MVC 结构
Abstract
This peper
The content of this article is the design and development process of alumni based on the Android platform. Electronic Alumni is an application software for the Android platform. It provides a venue for students to exchange activities after graduation. It intends to use Java language development and SDK as a development environment. The electronic classmates use the free mysql database to store basic system information and structure them with a well-defined MVC structure. The overall architecture is divided into data layer, business layer, and presentation layer. The data access layer serves as the underlying pillar of the system. The underlying data generated by the system is stored in the mysql database. The business logic layer mainly deals with the system's four core functions of personal data, messages, circle of friends, and news modules. The presentation layer is accessed by Android mobile devices.
Key Words:Electronic Alumni; Android;Java;SDK;MVC structure
目 录
第1章 绪论 1
1.1 选题的背景和意义 1
1.2 国内外研究现状 1
1.3 本文结构 3
第2章 开发环境与技术介绍 4
2.1 Android技术简介 4
2.2 Android技术与前端 5
2.3 MVC架构搭建后台 5
2.4 安卓SDK 6
2.5 本章小结 7
第3章 需求分析和系统设计 8
3.1 需求分析 8
3.1.1 业务流分析 8
3.1.2 数据流分析 8
3.2 系统整体设计 9
3.2.1 系统整体架构 9
3.2.2 系统整体流程 10
3.3 系统数据模型设计 11
3.3.1 数据库概念设计 11
3.3.2 数据库逻辑结构设计 13
3.3.3 数据结构的设计(关系表) 13
3.4 用户模块设计 14
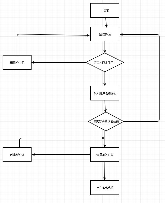
3.4.1 用户登陆模块设计 14
第4章 基于MVC模式的同学录的实现 16
4.1 MVC与Strust2 16
4.2 基于MVC的同学录的实现 16
4.2.1 系统分析 16
4.2.2 系统功能结构 17
4.2.3 系统架构选择 17
4.2.4 系统主要功能模块设计和实现 18
第5章 测试与部署 20
5.1 测试环境 20
5.2 系统测试 20
第6章 总结与展望 22
6.1 总结 22
6.2 现状与展望 22
致谢 23
参考文献 24
绪论
选题的背景和意义
随着科技的发展,智能手机也越来越普遍,手机在我们的生活中变得越来越重要。 一些手机应用程序也诞生了,毕业后每年都有一个批准时间,便于学生之间的交流,学习者不可忽视,但传统的班级记录并不容易改变和观看。 因此,有必要提供电子手机APP学生随时看到并看到。 因此,有需求要开发一个以Android为基础的APP软件来用于同学之间的交流。
电子学生录更容易达成学生之间的实时交互式沟通,并且可以与传统的纸质同学分享个人身份,着手聊天等活动,易于管理和更新,尽可能地方便了不同领域的用户。
校友的原始状态是简单的纸张,通常称为校友,一个精致的同学或一张普通纸的地址记录了同学之间的沟通和同学们写的问候,通常情况下,如果学生在一起,是的,毕业后他们经常走他们的路,所以没有机会让学生分享毕业生中的点击记录。纸张校友的另一个主要缺点是存储问题随着互联网的兴起,还有一个替代校友的校友记录,完全解决了以前论文版的缺点。
在这样的基础下,我们将思考创造一个能提供给校友交流的平台。这个平台用起来很方便,同学之间的交流很多,可以加强同学的情感,加强学生与学校之间的感情。在移动互联网社会中,电子同学录是学生中最方便的桥梁。 这里的每个人都可以交换他们最近的利润和损失,过他们的生活并释放他们的想法。部分院校最近的新闻和活动可以通过平台告知大家,班级的凝聚力增加,学生对学校的归属感增加。 如果学生毕业并想了解更多关于母校的信息,可以通过电子学习平台结交朋友,并鼓励个人互动。 电子同学录音平台的开发系统管理员和班主任监督录音电子同学的交流平台,注册并促进学生之间的相互理解, 自由交流,交流情感或者良好的人际交往,心理放松。
国内外研究现状
随着社区的发展,智能手机慢慢变多,app也越来越多,自Android系统推出以来,市场份额逐渐增加,优势明显。特别是在国外,他们的声音越来越强大,处于繁荣发展阶段。
校友工作的研究已得到国内外大学的普遍认可,国外许多大学已经形成了一系列吻合自身特点的理论方法和经验,校友的发展和管理资源在国内还处于起步阶段,校友资源正在研究中急需,对校友资源开发的研究在国外许多大学已产生了一些理论和方法,校友资源的研究在国外一流大学的学校建设中拥有非常关键的地位。 他们自己的特点,以利用校友资源,定期举办大学会议,定期举行校友会议并长期设立校友中心。 各大高校逐渐关注中国毕业生的资源,毕业学习社团在一些着名大学举办,但中国毕业生的研究还处于初级阶段,关注毕业生的资源尚未付款。 发展。 国内大多数大学都是由国家组织和管理的,没有必要考虑生存问题。全体人员的建设和基础硬件建设均由国家财政资金进行广播,具有稳定的经济资源。随着国家经济体制的改革,高校必须逐步与市场接轨,这些年,绩效考核在我国事业单位开始实行了。要求公共事业单位的职工不能吃大米饭,不得不离开社会,对于求真务实的老师,要开拓创新,培养真正适合社会发展的科研人才和技术人才。校友对教师有着良好的监督和推动作用,教师在多年的教与学过程中, 如果能与校友保持联系,不仅可以向学校提出教改改革建议,还可以引进科研项目。 公司,校友的募捐或招募人才。
目前大学就业存在两个严重问题,首先,研究生与公司真正的人才之间存在一定的差距:毕业生找不到工作,但招聘高科技公司的差距也在增加; 其次,高校正在扩大注册,许多人大学已经意识到这些问题,并且已经开始在就业安置领域加紧努力,但他们没有使用校友。 校友事实上是一种宝贵的资源对于校友来说,校友们可以在不同的公司找到校友,可以获得公司第一批招聘信息的校友,从而扩大了毕业生的就业渠道。加强校友关系,组织优秀校友和学生定期交流会议,毕业生校友可以提供一些最新的业务需求信息,促进教学内容的改进, 同时校友毕业生还可以与学生就工作实际情况进行沟通, 并以模型为榜样,为学习创造动力,总之,能够有效引导大学生就业观念,促进学校功课发展。
中国校友的资源是非常有潜力的资源,我们必须借鉴国外大学的成功经验,创建专业的管理机构,指定专职人员执行全职工作,并建立有吸引力的激励机制,校友交流会可以在实施渠道吸引企业投资,也可以加入学校网站的校友交流活动。在目前的移动互联网发展环境中,使用QQ,微信工具,校友等多种沟通平台或者对学校移动校友应用进行改编都是非常好的渠道。
本文结构
本论文第一章是绪论,介绍了研究的背景、意义目的和国内外研究现状。 第二章为环境和技术的介绍,讲解了本系统所使用的环境以及涉及到的技术的比较与选择。 第三章进行了需求分析和系统设计。第四章对基于MVC模式的同学录系统如何通过设计部分进行实现进行了详细的描述。第五章为测试与部署。第六章为本文的总结。 最后的是致谢以及参考文献。
开发环境与技术介绍
Android技术简介
要开发一款符合要求的电子同学录,打算以安卓为基础平台。而安卓的移动开发是会涉及到前段和后端的技术,当然还包括数据在平台中的存储。
Android是基于Linux的开源和开源操作系统。它主要用于智能手机等移动设备。它由Google和开放移动联盟领导和开发.Android是包括操作系统,中间件应用程序和锁的移动设备的集会.Android系统的格式主要由四部分组成:Linux内核层和DVM中间件及调用库组成Android系统的格式的一部分,而另一部分是应用接口层和应用层。
下图是安卓的系统架构表:
表2.1 Android 系统架构表

Android 应用程序有4 个组件: Activity,Intent,ContentProvider,service,Broadcast Receive。这些组件可以随机组合,然后根据自己的需要来调整,因此不要求每个Android APP都一定要有四个模块。Activity作为APP的表示层,是由安卓系统来供给的,担负解析与用户的所有交互。它通常由活动开始,但整个生命周期都由他自己管理。活动结束后,服务仍然可以执行,所以服务通常的作用是在后台下载和信息提醒。Intent在运行时会启用绑定机制,它在APP启动时邻接两个不一样的模块,往往出现在页面跳转这个模块.ContentProvider是用在来实现APP之间分享数据的类.BroadcastReceiver是一种组件,它用于接收广播通知。当APP发送广播时,BroadcastReceiver组件会获取特定的信息然后进行特定的解决。
Android技术与前端
xml配置的生成是Android 生成屏幕中的其中一种方法,第二个则是利用用户界面生成的,最后是通过代码来生成.Xml是一种可以灵活的在不同页面之间变换的有明确的结构定义的结构化语言。Activity类中的一个个对象作为基础构成了安卓的功能单元,它是由界面模块和业务处理模块组成,页面的设计必须运用视图和视图组模块来设计页面元素,视图是对象android.view.View基类是一种数据结构,它是利用一个矩形构造和内容存储在屏幕上的。目标解决印刷结构,绘图,中心转换,滚动条和页面元素手势和手势。其功能是加载和管理一组较低级别的视图和其他展现组。
MVC架构搭建后台
MVC模式,模型 - 视图 - 控制 - 构造,是一种相当互动的APP中常用的组织结构模型,它被设计为分别设计用户输入,数据模型和界面显示,降低跨很多级别的集成度,驾驶用户集中在每个部门的开发,加强模块的整合,构建一个系统让其具有一定的可扩展性,以达到SOA模式开发的目的。 MVC 模式的处理过程是: 控制器一开始得到用户的请求,指定要使用哪个模型进行处理,然后,模型处理请求,这个是依照特定的业务逻辑来制定,接着返回处理结果,然后控制器选择视图接着构建模型,返回数据并格式化,再显示给用户。Java语言通常被用作开发Android移动程序的底层,而Java库提供的JBCD数据库组件则为系统提供了数据访问支持,并且使用灵活简单的servlet作为数据传输的业务逻辑层和处理。客户端展示层是以Android为系统来开发时,Android 特有的界面模块能很好的展现内容的静态展示,而对于动态效果则可以结合javascript动态页面技术来进行处理。 因此,Android 系统常用的MVC 架构图如下表2-2 所示:

安卓SDK

图2.4 SDK开发框架
SDK是利用模块来设计的,它每一个的功能都是独立并且相对完善的,所以用户可以依据自身的要求来挑选哪一种模块:

图2.4.1 SDK模块
SDK是一个开发框架,在用户开发过程中为适当的应用程序提供了一个很好的模板,它分为几个部分:SDK_Core,SDK,EaseUI,第一部分是基于核心协议实现的功能,第二部分是主要消息用于同步协议的实现,后者是一个旨在协助快速集成的UI控件。
本章小结
本章主要介绍了安卓的相关基础知识,安卓和前端后端的关系,MVC结构开发的基础知识以及SDK的简介。
需求分析和系统设计
需求分析
业务流分析
业务流程图(TFD)是一组符号和连接,它代表既定的业务流程,在理解系统的组织构造和功能时,必须将系统考察中业务流程的数据链接起来,从而从实际的角度进一步剖析业务流程。业务流程分析可帮助我们了解特定于业务的流程,识别并解决系统研究中的错误和遗漏,改变并消除现有系统的合理部分,并根据新系统业务流程优化流程。
同学录系统的业务流程: 首先,您还可以注册您的用户,登陆系统,选择课程,发表评论,上传照片和其他操作,更改用户的个人密码,更改个人信息,删除您的信息和照片。除了常规角色可用的权限之外,系统的管理者还可以执行照片办理,班级办理,用户办理和消息处理。所有用户都可以查看同学和班级,并显示评论和照片。
本系统的业务流程如下图3.1.1所示:

图3.1.1业务流程图
数据流分析
信息流分析,传输,处理和存储是数据流分析的主要成分,数据流分析是以发现和解决数据流中的问题为目的的,它主要通过分层数据流图(DFD)实现,具体做法是:根据业务流程的业务流程,完整的数据流图是在相应的调查过程中通过占主导地位的数据处理过程来被绘制成的。
同学录系统的数据流程: 用户注册,登录,选择一个班级加入,然后可以发表评论,上传照片等。用户还可以更改密码,修改个人信息并删除他们自己的评论和照片。系统管理者拥有一般用户功能,可以实行用户办理,班级治理,消息办理和照片解决。所有用户都可以查看同学和班级,并显示评论和照片。
系统整体设计
系统整体架构
如图3.2.1所示。

图 3.2.1 系统整体架构
Server中使用了Spring的MVC架构,通过Dispatch派发Request来开启业务流程,Controller层负责Request的接受和数据的验证,Service层负责业务逻辑的处理,DAO层负责数据的持久化。Entity为实体类,包含了一些必要的实体,比如User、File、Disk等,Common为一些通用工具类,该类中包含了众多工具,在业务处理过程中用到。最底层为MongoDB层,作为后端数据的数据库,存储所有的系统相关信息。
Client中使用到了Vue的MVVC架构,通过后端传来的Response,Ajax负责对Response进行接收并解析,将解析结果通过Commit的方式传入Vuex中,Vuex接收到突变信息,通知各个Components,对新的数据更新至DOM树中,完成数据的更新。
系统整体流程
通过对同学录系统的需求分析并结合实际情况分析

图 3.2.2-2 系统整体流程
如图3.2.2-2所示,当前用户进行操作,将操作内容传至Handler,Handler进行判断和处理,如果该操作仅为本地操作,不涉及到HTTP请求,则将操作交给Vue处理;否则发起HTTP请求。
服务端使用了MVC架构,前端传来的Request通过Spring的Dispatcher Servlet接受,然后通过请求映射表映射到Controller中,Controller拿到请求数据后,对数据进行验证并且将数据转至Service层,Service对数据进行业务处理,然后将其传入DAO层,DAO通过Spring MongoDB Template来对数据进行持久化处理。最后将结果传至Controller,Spring再将数据放入JSON View层,通过Response传至前端。
前端由Ajax接收Response,对Response进行解析。如果Response的Status为200,将处理的主动权交还给Handler,Handler将数据通过commit的方式传给Vuex的Storage,Storage通知各个Components,Components将新数据渲染到DOM中。完成数据的更新。当Response Status不是200时,将主动权交给Error处理,Error获取Response的Error Message,将Message通过消息系统展现给用户,将用户的之前的错误操作进行回滚。
系统数据模型设计
数据库概念设计
根据数据构造来组织,存储和办理数据的仓库是数据库,并且用作用于检索大量数据的存储空间。有效的利用数据库能够带来许多便利:比如减少数据的冗余,这样可以节省数据的存储空间,并完全共享数据源,当然数据库技术也为用户提供了一种非常简单的使用方式,使用户可以方便地编写相关的数据库应用程序。特别是功能强大,操纵灵活,编程简便,掌握直观,对情况适应性强,数据处理能力强。
ER图(实体关系图)提供显示实体,属性和连接的方法。
以上是毕业论文大纲或资料介绍,该课题完整毕业论文、开题报告、任务书、程序设计、图纸设计等资料请添加微信获取,微信号:bysjorg。
相关图片展示:









