酒店客房管理系统开发毕业论文
2020-02-19 18:16:53
摘 要
随着互联网技术的快速发展以及人们生活节奏的加快,人们在外旅游对于酒店住宿的要求也越来越高,与此同时,酒店预定系统的出现,使得人们预定酒店房间的变得更加简单,人们可以不用直接去酒店前台预定,只需要通过手机应用程序便可以实现酒店的预定。在如今这个信息化蓬勃发展的时代,利用网络预订酒店已成为一种常态,人们足不出户便可将旅行计划中的酒店住宿安排妥当,尤其当网络录入个人信息之后,不论是身份验证还是会员卡机制都显得十分方便快捷。可以说,一款好的酒店客房管理系统会使得酒店的服务效率产生质变。反之,如果一家酒店没有酒店客房管理系统,那么这家酒店一定更难获得消费者的青睐。
在第三产业逐渐占据市场主流的今天,服务效率已经是所有酒店管理者关注的焦点,一款好用简捷的酒店客房管理系统会使一家酒店在激烈的竞争中拔得头筹取得胜利。
本系统涵盖两个方面功能:Android手机客户端应用和管理端。Android客户端应用包括用户信息,查看房间,预定房间等功能。管理端实现酒店的会员管理,价位管理等。本系统使用Eclipse来编写Java程序;使用MySQL来实现数据库的建立和数据库的相关操作,该系统最终实现的功能是用户的注册和登录,酒店的预定,以及管理员对房间和用户信息的管理等。
关键词:酒店客房管理系统;安卓手机软件;便捷生活;互联网技术
Abstract
With the rapid development of Internet technology and the acceleration of people's life rhythm, people's requirements for hotel accommodation are becoming higher and higher. At the same time, the emergence of hotel reservation system makes it easier for people to book hotel rooms. People do not need to go directly to the front desk of the hotel to make reservations, but only through mobile phone applications can achieve hotel reservation. Nowadays, in the era of rapid development of information technology, it has become a normal practice to use the network to book hotels. People can arrange hotel accommodation in their travel plans properly without leaving home. Especially when personal information is entered into the network, whether it is authentication or membership card mechanism is very convenient and fast. It can be said that a good hotel room management system will make a qualitative change in hotel service efficiency. Conversely, if a hotel does not have a hotel room management system, then the hotel must be more difficult to win the favor of consumers.
Nowadays, with the third industry gradually occupying the mainstream of the market, service efficiency has become the focus of attention of all hotel managers. A simple and easy-to-use hotel room management system will make a hotel win the first place in the fierce competition.
This system covers two functions: Android mobile client application and management. Android client applications include user information, room viewing, room reservation and other functions. The management side realizes the hotel member management, price management and so on. This system uses Eclipse to write Java programs, MySQL to achieve database establishment and database-related operations. The ultimate functions of the system are user registration and login, Hotel reservation, and the management of room and user information by administrators.
Key Words:Hotel room management system;Android mobile software;Convenient life;Internet Technology
目录
第1章 绪论 1
1.1 研究背景、目的和意义 1
1.1.1 研究背景、目的 1
1.1.2 研究意义 1
1.2 相关专业现状 2
第2章 系统开发技术以及开发环境 3
2.1 Android系统的架构简介 3
2.2开发环境 4
2.3 开发环境搭建 4
2.4 MySQL 5
第3章 系统分析及设计 7
3.1 需求分析 7
3.1.1 相关信息 7
3.1.2 业务需求分析 7
3.1.3 用例分析 8
3.2系统功能模块设计 10
3.3客户端设计 10
3.3.1 客户端功能模块 10
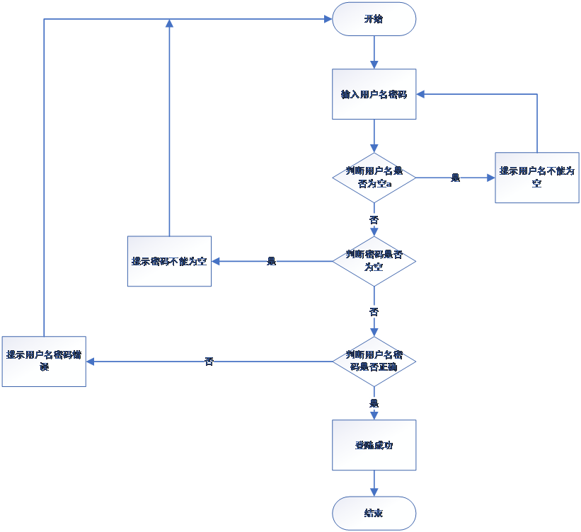
3.3.2 注册流程图 11
3.3.3 登录流程图 12
3.3.4 查询房间流程 13
3.3.5 选择房间流程 14
3.3.6 修改密码流程 15
3.4服务端设计 15
3.4.1 服务端功能模块 15
3.4.2 登录流程分析 16
3.4.3 确认订单流程分析 16
3.4.4 增加客房流程分析 17
3.5数据库设计 18
第4章 系统各模块实现 20
4.1 首页实现 20
4.2 客户端实现 21
4.2.1登录与注册界面 21
4.2.2 用户主页 22
4.2.3 房间信息与预定信息界面 22
4.3 服务端实现 26
4.3.1 登录界面 26
4.3.2 管理员主页 27
4.3.3 添加客户界面 28
4.3.4 查看客户信息界面 28
4.3.5 更改信息界面 29
4.3.6 更改密码界面 29
4.3.7 增加客房界面 30
4.4 系统功能测试 31
第5章 结论 33
参考文献 34
致谢 35
绪论
1.1 研究背景、目的和意义
1.1.1 研究背景、目的
随着经济的不断发展、科技的不断创新,国家的生产力水平不断提升,大家的消费水平与欲望都不断提升,旅游成为了当代人们放松心情、释放压力的绝佳手段。而无论是境内旅游还是出境旅游,良好的住宿环境是一段浪漫美好旅程必不可少的要求。根据相关统计,我国2018年国内旅游人次55亿多,收入约为5.1万亿元,而入境旅游人次约1.4亿人次,收入约为1271亿美元。可见旅游已经越来越受到人们的喜爱和钟意。旅游逐渐成为了一种全民青睐的休闲活动[7]。
在这个时代背景下,住宿业,这一以服务为主要业务的行业成为了新的经济焦点,每年创造的收入不容小觑。而作为被服务的对象——旅客,对于酒店的要求和选择无疑要受到酒店从业者的重视。同时,酒店从业人员也毋庸置疑的需要更加简洁方便高效的管理方法和系统,对整个酒店的相关信息进行管理。随着时代发展和理念创新,越来越多的酒店选择使用酒店客房管理系统来对酒店相关信息进行综合管理[9]。
市场上不同酒店的定位不同,各酒店服务的方式和客流量大小不同,对于相应的酒店客房管理系统的具体要求也不同。特别是有很多客流量较少的小型宾馆而言,很多完备成熟的酒店管理系统并不适合它们,所以一款简洁高效的针对性的酒店客房管理系统就显得十分重要[1]。
1.1.2 研究意义
一款好的酒店客房管理系统对于酒店管理人员的帮助无疑是巨大的,在竞争越来越激烈的商业环境下,酒店客房管理系统无疑是越高效越好。本文旨在对酒店管理进行分析和酒店客房管理系统相关功能的实现[14]。
与此同时,酒店行业由于行业特性,不仅仅客户多,行业内的工作人员也相当多,所以许多信息管理起来需要耗费巨大的人力物力,这在如今竞争激烈的人力资源市场无疑是一种无意义的浪费。如何做到用最少的人力物力来管理越来越庞大、越来越复杂的信息,是大量学者研究关注的重点。毫无疑问,在现有的条件下,最简单的优化方法便是利用脑力劳动代替体力劳动,利用机器劳动代替脑力劳动[5]。对于组织庞大、成员众多、信息复杂的酒店来说,好的酒店客房管理系统不仅仅可以节省人力物力,更可以让中高层管理者将更多的心思放在酒店经营方针理念上,而不必为酒店信息管理的庞大开支忧心仲仲[10]。
同时,由于我国人口众多、地大物博的特点,旅游业已经占据了相当一部分地区的经济收入大头。我国各地区景点数不胜数,游客人次也是世界前列。可以说,酒店行业养活了相当一部分人,也带动了许多经济不太发达的地区的经济发展。基于这点,酒店行业必不可少的酒店管理系统的质量,也是所有酒店从业人员关注的重点。
1.2 相关专业现状
随着经济的发展,酒店行业的发展速度和扩张力度也将随之增长,创造出来的经济效益也不断增加。同时,酒店行业创造出的数量巨大的就业岗位也为各国政府所重视,世界上诸多著名高校也纷纷开设酒店管理专业,专门为相关企业培养具有高度专业理论水准和娴熟实际操作的优秀毕业生[15]。
同时,酒店行业毕业生的就业率远高于其他专业,其薪酬与社会福利也远远高于其他行业,随着我国经济不断发展,市场对酒店管理专业人才的需求也日益增大[12][13]。
第2章 系统开发技术以及开发环境
2.1 Android系统的架构简介
如图2.1所示,是Android框架图。


图2.1 Android架构图
1.Linux内核层。安卓与Linux内核有关,Linux内核可以称为堆栈间的抽象层,在安卓开发里面都会使用到,好处是可扩展性很强[3]。
2.系统运行库和硬件抽象层,系统运行库由于多数由C/C 实现,所以称为“C库层”,与应用程序框架层相区别。C库这个库是一个基于Linux的操作系统库。[11]
3.是应用程序框架层,与上一层相对应,此层往往被称为“JAVA层”,程序员可以用来查看API里面不同的内容,是与开发者关系最直接的一层[4]。
4.应用程序层。
2.2开发环境
1.Eclipse
Eclipse是开源的、基于Java的开发平台。它从编写、查错、编译等等方面,几乎是为Java语言量身定做,并且它仍具有可以无限扩展的插件功能。Eclipse与Java语言配合得相当完美。虽然它版本更新相当快,导致插件更新的速度跟不上,但这仍不影响它作为一个开发平台而被开发者们所青睐的程度。
2.Android SDK
Android 里面自带的开发包SDK(software development kit),在eclipse中进行Android应用开发需要给eclipse安装ADT插件,如此才可以是使得eclipse和Android SDK连接起来[8]。
3.JDK
JDK是Java语言的软件开发工具包,包括相关的运行环境。一般JDK的环境决定编程工具是否能成功运行所需要的重要环境。
2.3 开发环境搭建
Android的环境搭建包括以下几步:
- JDK下载与安装
JDK的下载十分简便,直接登陆JDK官网进行下载。至于JDK的安装过程,作为相关专业的学生应该都很熟悉,只要配置好系统变量就好了。
安装完毕之后可以使用命令行进行检查,图2.2所示。

图2.2 jdk
- eclipse安装。
Eclipse的下载和安装都十分简单,前往eclipse的官网进行下载并按照提示一步步安装即可。
- Android SDK安装。
Android SDK的下载和安装与JDK类似,前往官网下载安装包后,对环境变量进行相关设置即可。
安装完毕之后,仍然可以使用命令行检查,结果如图2.3所示。

图2.3 SDK
2.4 MySQL
对任何系统进行设计的过程中,数据库都是不可或缺的部分。运用数据库来处理数据,会大大提高系统的效率和安全性,同时方便开发人员进行工作。如图2.4所示,是数据库原理图。

图2.4 数据库原理图
数据库分为关系型数据库和非关系型数据库,本系统设计选择MySQL这一关系型数据库。所谓关系型数据库是指,数据会被保存在各个不同的表里,而不是不分你我的存在一起,这样有利于提高数据库系统的效率和灵活性。
虽然MySQL相比于其他大型数据库而言有不少缺点,但是它仍是极受欢迎的数据库之一。毕竟对于大部分使用者来说,开源的MySQL已经可以满足他们的需求。
第3章 系统分析及设计
3.1 需求分析
3.1.1 相关信息
- 该软件产品涉及到的业务领域、该产品及其服务的主要内容、获利方式等:该系统与美团、携程等平台系统类似。客户端由客户使用,在客户端上可以完成房间查看、房间预定等之类的业务,服务器由酒店管理人员维护,并可以对房间信息和订单信息进行修改和处理。
- 该系统的组织结构以及主要业务人员角色:该系统基本分为两个部分:客户端和服务器。也就是说主要业务人员有:①客户;②酒店管理人员;③系统维护人员。
- 该系统涉及到的业务流程:(客户角度)①客户从广告或者其他推广得知本系统;②客户有酒店客房预定需求;③客户从系统APP完成房间预览、房间预定等流程;④服务器收到订单消息,接受订单和订金;⑤商家将预定消息返回给客户;(管理人员角度)①管理人员将房间信息编辑完成并上传;②管理人员收到订单消息并接受订单;
③管理人员将预定消息发送给客户;④管理人员对房间信息进行更新和维护。
3.1.2 业务需求分析
1.背景:随着我国经济发展,越来越多的家庭选择在假日出游,而出游避不开住宿,在这种情况下,酒店客房管理系统的开发是十分有必要的。而住宿业的竞争越来越激烈,传统的记账方式和登记方式与计算机的工作效率相比,无疑显得不足,所以与时俱进,开发一款能够满足酒店管理人员和客户双方需求的系统是十分重要的。
2.业务机遇:当前国内住宿业竞争十分激烈,大型连锁酒店拥有自己的开发团队,为企业开发具有独特适应性的酒店管理系统,但中小型酒店显然并没有这样的财力物力来进行独立研发。所以,一款专为中小型酒店研发的酒店客房管理系统无疑会在市场上受到欢迎。
3.客户和市场需求:只要客户自己或者家人朋友有出游意向,那么他(她)就可以当做本系统的潜在用户。与此同时,只要酒店管理人员需要通过信息技术管理来对酒店信息进行管理,那么他(她)也可以作为本系统的潜在客户。
4.业务风险:
(1)该系统在多数功能上与其他酒店客房管理系统重复,但特色在于为中小型酒店设计,市场竞争优势一般;
(2)客户对系统某一功能不满,在推广过程中予以阻碍,可能导致潜在客户流失;
(3)部分小型酒店缺乏系统维护手段,可能导致系统受到酒店抵制拒绝。
3.1.3 用例分析
本系统的使用者有两种,分为客户和管理员。针对两者进行了用例分析,如下表所示:
表3.1 客户预定房间用例描述表
用例名称 | 预定房间 |
角色 | 客户 |
业务触发事件 | 客户登录系统,进入客户界面,选择查看房间信息,系统跳转到房间信息页面,客户根据需要选择相关房间,并确定预定 |
前置条件 | 客户成功登录系统 |
结束条件 | 成功条件:客户订单可以在个人订单中查看;失败条件:房间已满或者客户订单未被接受 |
输入描述 | 客户根据需求选择相关房间并确认预定 |
输出描述 | 显示预定成功或失败 |
表3.2 管理员添加客户用例描述表
用例名称 | 添加客户 |
角色 | 管理员 |
业务触发事件 | 管理员登录系统,进入管理员界面,选择添加客户,系统跳转到添加客户页面,管理员根据相关提示输入需添加客户的信息,确认信息无误后确定添加 |
前置条件 | 管理员成功登录系统 |
结束条件 | 成功条件:成功显示新客户信息;失败条件:客户信息输入有误 |
输入描述 | 输入用户注册相关信息,例如用户姓名、性别、手机号码等 |
输出描述 | 显示添加成功或失败 |
表3.3 管理员更改客户信息用例描述表
用例名称 | 更改客户信息 |
角色 | 管理员 |
业务触发事件 | 管理员登录系统,进入管理员界面,选择更改客户信息,系统跳转到更改客户信息页面,管理员根据相关提示输入客户账号和身份证号,确认信息无误后确定更改 |
前置条件 | 管理员成功登录系统 |
结束条件 | 成功条件:显示客户更改后的信息;失败条件:客户账号或身份证号有误 |
输入描述 | 输入用户账号和身份证号 |
输出描述 | 更改成功或失败 |
表3.4 管理员增加客房用例描述表
用例名称 | 增加客房 |
角色 | 管理员 |
业务触发事件 | 管理员登录系统,进入管理员页面,选择添加客房,系统跳转到添加客房页面,管理员根据相关提示输入房间类型、状态和价格,确认信息无误后确定添加 |
前置条件 | 管理员成功登录系统 |
结束条件 | 成功条件:显示新添加的房间信息;失败条件:输入的类型、状态或价格有误 |
输入描述 | 待添加房间的类型、状态和价格 |
输出描述 | 添加成功或失败 |
3.2系统功能模块设计
客户端App通过HTTP协议并通过无线路由器数据传输来访问Tomcat服务器Tomcat的服务器用来对手机客户端的APP的请求访问进行响应,同时客户端接受Http请求来访问服务器端,并获取数据库里的数据,然后将数据反馈回客户端中。[6]该系统架构如图3.1所示。

以上是毕业论文大纲或资料介绍,该课题完整毕业论文、开题报告、任务书、程序设计、图纸设计等资料请添加微信获取,微信号:bysjorg。
相关图片展示:









