基于web的电子购物商城设计与实现毕业论文
2020-02-16 22:34:24
摘 要
近些年来,随着网上购物的不断普及,电子商务成为越来越重要的营销手段,而“天猫双十一”购物节取得的巨大成功,进一步引爆了整个电商行业,使越来越多的传统行业加入其中。电子商务以其方便、不受地域限制、成本低的特点,受到了广大消费群体和企业的欢迎。
本系统的主要工作是一个电商系统的设计与实现。整个电商系统采用B2B2C的模式,系统分为三种角色:运营商、商家和用户。运营商可以审核商家、审核商品以及对商品进行管理。商家可以添加商品,处理订单以及查看销售数据。用户可以浏览商品、搜索商品、将商品加入购物车、下单以及在用户中心对自己的信息等进行修改。本系统最大的特点是采用分布式架构,网站后端采用分布式框架Dubbox,以Zookeeper为注册中心,再加上当下比较流行的Spring 、SpringMVC、Mybatis三个框架,前端采用angularJS和Bootstrap来完成。为了使系统更贴近实际需求,使用网页静态化技术FreeMarker来生成商品详情页,在用户登录页面,采用阿里云的短信服务结合Spring Boot开发了一个发送验证码的微服务。在搜索页,使用solr配置中文分析器IK Analyzer来完成整个搜索功能。
本文第一章为绪论部分,介绍了研究的背景、目的意义以及研究内容,后续各章从需求分析、总体设计、详细设计、系统测试与运行等方面,对系统的设计和实现过程进行了的详细的阐述。
关键字:电商系统;Spring框架;SpringMVC框架;Mybatis框架;Dubbox框架
Abstract
In recent years, with the continuous popularization of online shopping, e-commerce has become an increasingly important marketing tool. At the same time, the great success of “Tmall Double 11” has further detonated the entire e-commerce industry, making more and more traditional industry join them. E-commerce is popular with consumers and enterprises because of its convenience, geographical restrictions and low cost.
The main work of this system is the design and implementation of an e-commerce system. The entire e-commerce system adopts the B2B2C mode, which divided into three roles: operators, merchants, and users. Operators can review merchants, review merchandise, and manage merchandise. Merchants can add items, process orders, and view sales data. Users can browse products, search for items, add items to their shopping carts, place orders, and modify their information in the user center. The biggest feature of this system is the distributed architecture, which adopts the distributed framework Dubbox, with Zookeeper as the registration center, plus the more popular Spring, SpringMVC and Mybatis frameworks. The front end is done with angularJS and Bootstrap. In order to make the system closer to the actual needs, the webpage staticization technology FreeMarker is used to generate the product detail page. On the user login page, Alibaba Cloud's short message service is combined with Spring Boot to develop a microservice that sends a verification code. On the search page, use solr to configure the Chinese analyzer IK Analyzer to complete the entire search function.
The first chapter of this paper is the introduction part, which introduces the background, purpose and research content of the research. The subsequent chapters have carried out the design and implementation process of the system from the aspects of demand analysis, overall design, detailed design, system testing and operation.
Keywords: E-commerce system;Spring;SpringMVC;Mybatis;Dubbox
目 录
第1章 绪论 1
1.1 研究背景 1
1.2 研究目的及意义 1
1.3 研究内容 2
1.4 本文结构安排 2
1.5 本章小结 3
第2章 需求分析 4
2.1 系统可行性分析 4
2.1.1 技术可行性分析 4
2.1.2 经济可行性分析 4
2.1.3 法律可行性分析 4
2.2 系统需求分析 5
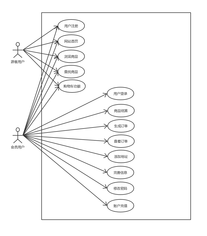
2.2.1 系统功能性需求分析 5
2.2.2 系统非功能性需求分析 9
2.3 相关技术介绍 9
2.3.1 Spring框架 9
2.3.2 SpringMVC框架 9
2.3.3 Mybatis框架 10
2.3.4 Dubbox框架 10
2.4 本章小结 10
第3章 总体设计 11
3.1 系统总体构成 11
3.2 子系统设计 12
3.2.1 运营商后台子系统总体设计 12
3.2.2 商家后台子系统总体设计 12
3.2.3 网站前台子系统总体设计 13
3.3 本章小结 13
第4章 系统详细设计 14
4.1 运营商后台详细设计 14
4.1.1 商品管理功能详细设计 14
4.1.2 广告管理功能详细设计 16
4.2 商家后台详细设计 17
4.2.1 订单管理功能详细设计 17
4.2.2 商品管理详细设计 18
4.2.3 销量管理功能详细设计 19
4.3 网站前台详细设计 19
4.3.1 网站首页详细设计 19
4.3.2 搜索页详细设计 19
4.3.3 购物车模块详细设计 20
4.3.4 用户中心详细设计 21
4.4 数据库设计 23
4.4.1 实体关系设计 23
4.4.2 数据库表结构设计 24
第5章 系统测试与运行 30
5.1 运营商后台测试与运行 30
5.1.1 商家管理测试与运行 30
5.1.2 商品管理测试与运行 31
5.2 商家后台测试与运行 31
5.3 网站前台测试与运行 33
5.3.1 注册登录测试与运行 33
5.3.2 搜索页测试与运行 34
5.4 本章小结 34
第6章 总结和展望 35
6.1 总结 35
6.2 展望 35
参考文献 36
致谢 37
第1章 绪论
1.1 研究背景
电子商务最早出现在美国,它的研究和发展经历和很长时间,最早可以追溯到19世纪前叶,电报的出现就引发了人们对其在商务领域应用的讨论[1]。到20世纪中中叶,电子计算机出现,电子商务开始形成[1-4]。至今,美国一直是世界上最大的电子商务市场之一,2018美国电子商务市场收入达5045.82亿美元,同比增长12.9%。我国的电子商务进过近20年的发展,依次经历了萌芽、快速发展和高速上升时期[5]。从20世纪末阿里巴巴、京东等网站的出现,电子商务开始萌芽,到21世纪初,国外电商企业如亚马逊等入驻中国,同时苏宁易购、当当网等国内电商平台开始涌现,国内电子商务进入高速上升时期,再到今天“天猫双11“、”京东618“等购物节的盛况,越来越多的人参与到网购中来,也由此推动了电商平台的升级和发展,人们的生活方式也出现了天翻地覆的变化[6-8]。我国的电子商务虽然起步较晚,但经过这20年的发展,已经成为全球最大的电子商务市场。根据顶级数据网站Statista所发布的调查统计显示,中国是全球最大的电子商务市场,2018年收入6360.87亿美元。美国紧随其后(5045.82亿美元)。英国、日本和德国也是全球五大电子商务市场之一,但是收入水平远不如中国和美国。
移动互联网时代下,消费者网上购物的意识已大范围普及,也带动了商业模式的巨大转型[9-10]。人们可以足不出户购买到几乎任何所需品,而京东配送、天猫超市的出现,使用户从下单到收货的时间大大缩短,在物流较发达地区,当天下单,当天基本可以送达,最晚隔天能够送达。由此,传统公司依靠实体店的销售模式受到了巨大的冲击,它们需要依托互联网强大的用户群体带动新一轮的消费,从而促进企业发展[2]。但是,随着业务的发展,购物网站的访问量逐渐攀升,传统的采用垂直架构设计模式的电商系统在网络流量、负载均衡、数据库连接等都面临着巨大的压力,无法满足实际需求。
1.2 研究目的及意义
目前,相较于网店,实体商店费用较大,首先店铺地理位置对客流量有直接影响,而好的地理位置意味着更高的租房成本;其次实体店的人力费用、管理费用等都使得实体店的费用远高与网店。随着电子商务的日渐成熟,除了年轻人,有不少老年人也加入了电子购物的大军,使得实体店的客流量大幅降低。另一方面,电子商务也带动了物流的快速发展,使得运输条件极大提高,从用户拍下商品到收货的时间大大缩短,使得越来越多的人愿意网上购物。因此,越来越多的公司和创业者都开始研发电子商务平台。
然而,中小企业实施电子商务也存在着一些困难,中小企业受限于自身经营规模和管理能力等因素的限制,在开展电子商务的过程中会遇到各种各样的问题。本课题旨在设计一个网上购物系统,充分考虑到传统垂直架构的局限性,采用当下较为流行的技术,设计并实现一套采用分布式服务框架的B2B2C电商系统,为商家在电子商务的扩展和营销中提供技术参考。
1.3 研究内容
本课题的要求是设计一个基于B/S结构的电子购物系统,整个系统分为前台和后台两部分,其中后台又可进一步分为运营商后台和商家后台。整个网站后端框架采用Spring 、SpringMVC、Mybatis 在加上Dubbox来完成,前端采用angularJS和Bootstrap框架来开发网页[11-13]。
运营商后台是由网站的运营方对商城进行管理的界面,其主要功能包括商家管理,商品管理,广告管理等工作。商家管理主要是对商家的审核与禁用,商品管理包括品牌管理、规格管理、模板管理、分类管理、商品审核,广告管理主要是商城首页中广告展示的管理。
商家后台主要是对商品增加,增加商品这一功能比较复杂,包括商品三级分类的选择,富文本编辑器的使用,商品图片的上传、商品规格的选择等,考虑到图片数量会非常之多且大小有限,需要考虑搭建一个图片服务器来保存图片。
网站前台涉及许多方面。首先网站的主页中,对于广告的展示,主页是整个系统给用户的第一印象,且访问量较大,如果首页加载慢,会极大影响用户体验,所以要使用相关技术加快图片加载速度,如使用缓存等[14]。对于搜索页面,搜索操作极其耗费资源,整个商城用会有非常多的商品,直接到数据中搜索不太现实,因此要考虑将搜索的压力转移到一个外部服务器上,而不是直接在数据库中查找。对于商品详情页,可以使用网页静态化技术来生成,以减轻数据库访问压力。对于购物车操作,需要设计购物车的存储结构和存储方式,从而确定购物车的存储介质。对于登录的安全控制,要考虑到分布式系统的登录问题,不能让用户重复登录,即如何使用户登录后的信息在不同的服务器上都可以获取到,这是分布式系统特别需要考虑的问题。在用户注册页面,对与用户输入的手机号,要通过短信验证码的方式进行验证。
整个商城系统分为许多模块,且有些模块的功能比较复杂,,模块间相互调用,本文将详细介绍整个商城的设计以及实现。
以上是毕业论文大纲或资料介绍,该课题完整毕业论文、开题报告、任务书、程序设计、图纸设计等资料请添加微信获取,微信号:bysjorg。
相关图片展示:








        
            
