基于移动终端的远程教育直播系统设计与实现毕业论文
2020-02-16 21:23:57
摘 要
随着互联网时代的飞速发展,互联网极大的影响着人们的生活,人们通过网络可以获取丰富的信息知识,大大扩展了人们的视野,丰富了人们的生活方式。网络的不断发展,使得网络直播技术也越来越成熟,各种网络直播平台层出不穷。但是大多数平台的内容是以娱乐为主,其他以教育为主的平台也以视频资源为主,很少有以直播教育为主的平台。
就上述问题,本文设计并实现一个基于移动终端的远程教育直播系统,该系统不仅提供以直播为主的教学方式,还支持通过摄像机将教学内容录制下来,利用网络上传至服务器,学生可以不受时间与空间的限制进行在线学习。此系统由学生端、教师端和管理端三个模块组成,还提供互动、评论、收藏、搜索和历史记录等功能。
本系统综合运用Java、Android、Springboot开发技术实现了基于C/S模型的客户端/服务器程序,后台使用Mysql数据库来进行数据存储。此系统的实现,满足基本的远程教育直播平台的需求,不仅打破了当前直播平台以娱乐为主的现状,提供了一个学习交流的平台。
关键词:Android;RTMP 协议;MVP框架;直播;Springboot
Abstract
With the rapid development of the Internet era, the Internet has greatly affected people's lives. People can obtain rich information knowledge through the network, which greatly expands people's horizons and enriches people's lifestyles. The continuous development of the network has made the webcasting technology more and more mature, and various webcasting platforms have emerged one after another. However, the content of most platforms is mainly entertainment. Other education-based platforms are mainly video resources, and there are few platforms based on education live broadcast.
In view of the above problems, this thesis designs and implements a remote education live broadcast system based on mobile terminal. The system not only provides live-based teaching, but also records the teaching content through the camera and uploads it to the server through the network. Time and space constraints for online learning. The system consists of three modules: the member, the teacher and the management. It also provides functions such as interaction, comment, collection, search and history.
The system applies Java, Android, and Springboot development technology to implement a client/server program based on C/S model, and applies Mysql database for data storage in the background. The realization of this system meets the needs of the basic distance education live broadcast platform, which not only breaks the current live broadcast platform based on entertainment, but also provides a platform for learning and communication.
Key words:Android;RTMP agreement;MVP framework;live broadcast;Springboot
目录
第一章 绪论 1
1.1 背景及意义 1
1.2 国内外现状分析 1
1.2.1 国外网络教育发展现状 1
1.2.2 国内网络教育发展现状 2
1.3 任务说明 2
第二章 系统需求与分析 3
2.1功能需求分析 3
2.2 用例分析 4
2.2.1用例描述 4
2.3 本章小结 6
第三章 系统总体设计 7
3.1功能模块设计 7
3.2 数据库设计 9
3.3 界面设计 11
3.4 架构设计 17
3.4.1 安卓App架构 17
3.4.2 直播架构 19
3.5 本章小结 19
第四章 系统实现 20
4.1 技术简介 20
4.1.1 RTMP协议 20
4.1.2 SRS 20
4.1.3 Retrofit网络加载框架 21
4.1.4 Springboot 21
4.1.5 MyBatis 21
4.1.6 Thymeleaf模板引擎 22
4.2 原理概述 22
4.3 重点和难点分析及解决方案 22
4.3.1 Thymeleaf模板引擎实现教师端与管理端 22
4.3.2 客户端与服务器的通信接口及传输数据格式 23
4.3.3 Android应用程序开发中的问题 24
4.3.4 后台数据库语句 25
4.4 编码与调试 26
4.4.1 Tablayout ViewPager Fragment的底部导航栏 26
4.4.2 服务器端的功能模块 26
4.4.3 登录注册功能及其验证方式 28
4.4.4 通过RecyclerView进行列表展示 29
4.4.5 DrawerLayout NavigationView的侧滑菜单栏 29
4.4.6 使用Retrofit进行网络请求模块 30
4.4.7 观看记录及学习时长模块 32
4.4.8 Activity界面之间的数据传递 33
4.4.9 邮箱验证码登录模块 34
4.4.10 直播及视频的播放模块 35
4.5 本章小结 36
第五章 结束语 37
5.1 总结 37
5.2 展望 38
5.3 致谢 38
参考文献 39
绪论
1.1 背景及意义
互联网时代正在影响和改变着我们的生活,涉及到方方面面,其中这几年网络直播如日中天,网络直播技术越来越成熟,2016年被誉为“中国网络直播的元年”。各种网络直播平台不断地涌现出来,如斗鱼、虎牙、熊猫等等。但是大部分网络直播平台应用于娱乐休闲,仅有少部分平台应用于教育。网络直播的兴起使得远程教育直播成为可能,远程直播教育较于传统的实体课堂教育具有更大的优势,实体课堂教育受到时间和空间的限制,教育内容较为老旧,且资源分配不够均匀。反观远程直播教育,具有自由灵活,方便互动,具有录播可复习,资源公平共享等优点。
传统的远程教育大多采用录播视频的方式提供给学生学习,其存在着不少缺点。例如无法做到及时沟通,学生通过视频学习时产生的疑问只能在评论区进行提问或通过老师留下的联系方式进行答疑,这样的效率是十分低的;老师责任感也不强,大部分老师仅仅负责录制自己的视频,并不关心学生在学习过程中可能产生的问题,然而直播教育中可能随时得到学生的反馈,从而使老师更有责任感。
远程教育直播系统的实现致力于将传统实体教育导向网络远程直播教育,这一想法并非替代传统实体课堂教育,而是对传统教育中课堂的在线还原。
1.2 国内外现状分析
1.2.1 国外网络教育发展现状
美国的网络学校是由许多相关的教育部门或公司成立,各个网络学校之间相互连通,呈现出一个网状的结构;通过网络就能够查询到你想要的信息和资料,甚至你可以直接寻求到老师直接帮助。其覆盖面也是非常广阔的,不仅有针对基础教育和高等教育的,还有针对培训的,服务设施是非常的齐全。
“欧洲学习中心”的总部设立在英国,通过相关的政策,目的是使得大家可以在互联网上进行学习教育。不仅仅是基础教育,大部分的专业培训也可以在网络上进行。英国的开放大学是最早的实施远程教育的学校,其提供本科至硕士等教育,已经吸引了上万的学生进行学习,涵盖了几乎所有的学科。
1.2.2 国内网络教育发展现状
国内的万门大学是一个比较早的直播 录播形式在线教育平台,其提供终身的在线学习服务,致力于解决教育资源分配不均匀的问题。其名字虽然叫做万门大学,但它还提供包括中学课程等非大学课程。目前在万门大学的官网上已经有超过200门顶尖老师的课程,覆盖中学生大学生常见的课程需求。
国内的其他传统大学也已经开始试点远程教育了,例如清华大学在其自己的平台上开放了一百门左右的在线教育课程,提供给校内和网络远程教育,其目的主要还是针对校内学生。各类中小学的网络学校也慢慢涌现。
1.3 任务说明
本设计要求研究直播平台的实现技术,并开发一个远程教育直播系统,实现基于互联网的教育课程直播。远程教育直播系统旨在突破传统实体课堂教育的局限性,即时间与空间受限导致的资源分配不均匀问题,并且将教育内容三类:应试教育、技能教育、素质教育,提供一个资源公平共享的教育直播平台。
从用户角度出发,将本系统划分为三个主要模块,分别为:学生端、教师端和管理端。
学生端的主要功能可以划分为:登录注册、观看直播、观看视频、直播互动等。
学生端以Android App作为交互程序,其中直播列表查看还可以根据内容将直播划分为不同分类,是的学生可以根据分类观看自己喜欢的直播内容。在观看直播过程中,学生可以和教师进行答题互动,也可以通过聊天等方式和其他学生进行互动。学生如果没能及时赶上直播,还可以在视频板块观看到之前的直播内容。
教师端的主要功能可以划分为:登录注册、发起直播、上传视频、直播互动、直播预告等。
教师端以web页面为主,通过OBS软件向流媒体服务器进行推流,发起直播。直播前,教师需要进行直播预告,告知直播时间及直播内容等。在不方便直播的情况下,也可以先将视频录制好,然后吧视频上传至服务器,使得学生随时学习。在直播过程中,教师可以向学生进行提问和布置作业等。[1]
管理端的主要功能可以划分为:教师管理、教师管理、直播管理、视频管理。
管理端以web页面为主,教师管理主要是对教师账号信息进行维护,记录和显示教师的点播和直播数据。教师管理主要是管理教师的授课信息。直播管理主要对直播预告和直播分类进行管理。
系统需求与分析
基于移动终端的远程教育直播系统设计与实现主要有三个用户模块组成,分别是学生端、教师端和管理端。学会端主要进行视频于直播的观看,教师端主要进行视频上传和直播推送,管理端的主要功能是对视频和直播进行管理。此系统主要围绕视频与直播,实现一个低延迟的实时远程教育直播系统,并提供视频录播学习功能,以及其他一系列附加功能。
2.1功能需求分析
直播平台模块包括四大部分:教师和教师管理,教师讲课预告教师,视频点播收看,教师直播收看。教师直播多种形式:1.相机录制2.提供电脑屏幕播放功能3.教师可以使用PPT或者其他形式进行授课。
该系统的功能模块主要有管理端、教师端和学生端。
管理端:
(1)学生管理(在个人账户中进行学生个人信息的设置和管理维护,记录并显示学生点播、直播数据)
(2)教师管理(管理讲课教师的信息(姓名、讲课科目、讲课时间、评价等))
(3)直播管理(以教师缩略图 教师姓名 预告时间 预讲课内容简介 预计授课时间的形式进行直播预告、直播分类管理以及管理正在进行的教师直播列表)
教师端:
(1)教师登录注册
(2)发布直播预告:直播之前发布自己直播的预告信息,包括直播分类,直播内容、直播开始时间、直播预计持续时间和预告图片等等。
(3)发起直播:填入相应的直播信息,包括直播分类与直播内容来发起直播,这样学生就能看到教师的直播了。
(4)上传直播录像:教师在直播完成之后可以将自己的直播的录像上传到系统中。
学生端:
(1)学生登录注册
(2)查看直播预告:查看教师已经发布的预告信息。
(3)观看直播:通过分类去找到自己想要看的直播内容。在观看直播过程中,学生可以输入聊天内容与教师进行交流。可记录观看时间。
(4)观看录播:观看教师已经上传的录播视频。
2.2 用例分析
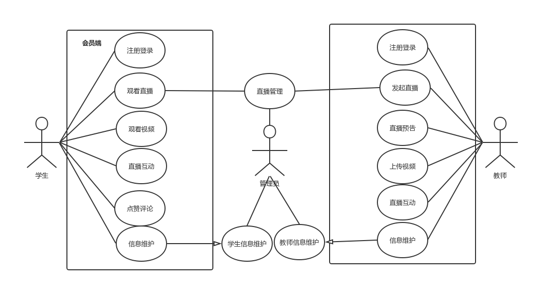
无论教师、教师,还是管理员均需要注册登录之后才能正常使用本系统,整个系统的运行主要由教师与教师组成,教师登录之后,通过发起直播向流媒体服务器进行推流操作,教师可以在安卓客户端看见该教师的直播间,点击进入直播间进行直播观看和聊天互动。教师也可以通过观看录播进行学习,管理员主要是可以对整个系统进行维护管理,包含对教师和教师的信息维护管理,对直播和视频的信息新增、修改等操作。此系统的系统用例图如图2.1:
图2.1 系统用例图
2.2.1用例描述
系统登录的用例描述如表2.1所示。
表2.1 登录用例描述
用例编号 | 1 |
用例名称 | 登录 |
简单描述 | 教师、教师或管理员登录系统以进行相关操作 |
参与者 | 教师/教师/管理员 |
前置条件 | 系统正常,教师、教师或、管理员拥有账号 |
主流 | 1、打开系统 2、教师、教师或管理分别对应不同客户端,输入账号密码 3、点击登录 |
后置条件 | 登录成功获取数据,登录失败弹出提示 |
教师端发起直播的用例描述如表2.2所示。
表2.2 直播发起用例描述
用例编号 | 2 |
用例名称 | 发起直播 |
简单描述 | 教师登录之后通过直播进行教学 |
参与者 | 教师 |
前置条件 | 系统正常,教师已经登录系统 |
主流 | 1、登录系统,开启“我的直播” 2、打开OBS推流软件 3、输入直播地址和所拥有的推流密码 4、点击开始推流,进行直播推流 |
后置条件 | 登录成功获取数据,登录失败弹出提示 |
教师端观看直播的用例描述如表2.3所示。
表2.3 直播观看用例描述
用例编号 | 3 |
用例名称 | 观看直播 |
简单描述 | 教师登录系统治好后选择直播进行观看 |
参与者 | 教师 |
前置条件 | 系统正常,教师已经登录系统 |
主流 | 1、登录系统,进入“首页”或通过分类选择 2、点击直播间卡片进入直播间 3、系统自动进行拉流播放 4、通过底部输入框进行聊天互动 |
后置条件 | 观看直播,进行互动 |
教师端进行直播预告的用例描述如表2.4所示。
表2.4 预告直播用例描述






