郧白大桥设计毕业论文
2020-04-12 15:41:07
武汉理工大学
陨白大桥设计
学院(系): 交通学院
专业班级: 道桥1402班
学生姓名: 楚江涛
指导教师: 汪国相老师
目录
一、基本信息
1.1 工程概况·····················································2
1.2 技术标准·····················································2
1.3 主要规范·····················································2
1.4 结构概述·····················································2
1.5 主要材料及材料能·············································2
- 桥型比选
 
2.1方案比选的意义及要求··········································3
2.2总体布置·······················································4
三、模型建立与分析
3.1 计算模型 ···················································9
3.2 主要钢筋布置图及材料用表·····································24
3.3 截面特性及有效宽度···········································25
3.4 荷载工况及荷载合·············································27
四、内力图
4.1 内力图 ·······················································28
五、验算复核
5.1正截面强度验算················································32
5.2裂缝宽度验算··················································43
一、基本信息
1.1 工程概况
1.本桥位于湖北西北部209国道主干线十堰郧县境内,道路设计等级为山区二级公路。设计水位为170m,枯水位为155.50m,线路在桥址范围内为直线,两边的引道标高均为182m。桥中线与河槽方向正交。
2.地质情况如下:
全断面为0.5m左右的覆盖层,其下为1~3m的强风化石灰岩和弱风化石灰岩,持力层强度≥1000MPa。
3.温度变化:均匀升温28℃,均匀降温28℃。
4.设计风速5m/s。
1.2 技术标准
1.计算行车速度:80km/h;
2.设计荷载:公路-II级,人群3.0KN/m2
3.桥宽:净7 2×1.00m;
4.高程:黄海高程系统
5.地震烈度:基本烈度VI度;
6.桥面横坡:双向2%
1.3 主要规范
1)《公路钢筋混凝土及预应力混凝土桥涵设计规范》(JTG D62-2004)
2)《公路桥涵设计通用规范》(JTG D60-2004)
3)《公路工程技术标准》(JTG B01-2003)
4)《公路桥梁抗震设计细则》(JTG/T B02-01-2008)
5)《公路桥涵地基与基础设计规范》(JTG D63-2007)
6)《城市桥梁设计规范》(CJJ11-2011)
1.4 结构概述
1.5 主要材料及材料性能
1)混凝土
表格 1 混凝土表格
强度等级  | 弹性模量(MPa)  | 容重  | 线膨胀系数  | ||||
C50  | 34500  | 25.00  | 0.000010  | 32.40  | 2.65  | 22.40  | 1. 83  | 
2)普通钢筋
表格 2 普通钢筋表格
普通钢筋  | 弹性模量(MPa)  | 容重  | |||
R235  | 210000  | 76.98  | 235  | 195  | 195  | 
HRB335  | 200000  | 76.98  | 335  | 280  | 280  | 
HRB400  | 200000  | 76.98  | 400  | 330  | 330  | 
KL400  | 200000  | 76.98  | 400  | 330  | 330  | 
二、桥型比选
2.1方案比选的意义及要求
方案比选是桥梁工程设计最基础的工作。唯有通过详细、科学地优选,方能提出合理
的设计方案。同样,只有在合理的设计方案基础上,才能实现桥梁的最优设计。
桥梁方案比选包括方案初选、比较和确定。方案应主要考虑安全、功能、经济、美观
以及与环境的协调,其中以安全和经济最为关键。随着现代化交通事业的迅速发展,对桥
梁功能要求也日益提高,尤其是桥下通航净空要求,在方案比选中占用举足轻重的地位。
至于桥梁美观,应视经济与环境条件而定。随着人们环保意识的提高,桥梁建设环境的协
调已成为设计原则之一。
本设计根据要求拟定3个初选方案,再进行进一步的经济技术比较,推荐最优方案。
2.1.1初选方案
1.跨径组合为40m 72m 40m 的三跨连续刚构桥;
2.跨径组合为38m 76m 38m 的三跨连续梁桥
3.跨径25m简支梁桥 110m的钢筋混凝土拱桥 20m简支梁桥
2.1.2比选方案一:预应力混凝土连续刚构桥
(1)桥型介绍
预应力混凝土刚构桥既保持了连续梁无伸缩缝、行车平顺的特点,又有T型刚构桥不设支座。施工方便的优点。且有很大的顺桥向抗弯刚度和横桥向抗扭刚度,它利用高墩的柔度来适应结构由预应力混凝土收缩、徐变和温度变化所引起的位移,能满足特大跨径桥梁的跨越和受力要求,同时在一定条件下具有用料省、施工简便、养护费用低等优点。连续刚构的另一个特点是抗震性能好,且墩梁固结又便于采用悬臂施工法,取消了连续梁在施工转换体系时所采用的墩上临时固结措施。
2.2总体布置
2.2.1纵断面布置
- 跨径拟定:总跨径拟定为152m,经验与研究表明,边,主跨跨径比会影响主梁的受力以及施工方式,我国国内三跨连续钢构的边,主跨之比大多都在0.55~0.58之间,该方案选用0.56,即初步拟定40m 72m 40m的跨径组合形式。

 

- 确定设计高程:线路纵断面已定,设计高程规定为紧接中央分隔带两侧的桥面高度,桥梁起始点桩号K1311 635,设计高程182m,终点桩号K1311 815,设计高程182m,单向纵坡为零,满足《桥梁设计通用规范》(JTG D60—2004)纵坡要求。
 
2.2.2横断面设计
依据设计资料,净7 2×1.00m,桥面布置为7m的双向车行道 2×1m的人行道。为便于排水,设置成坡度为2%的双向横坡。
2.2.3主梁上部结构
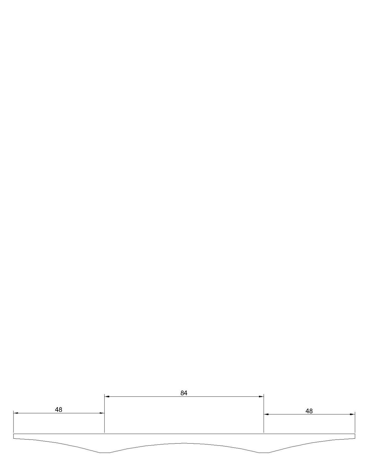
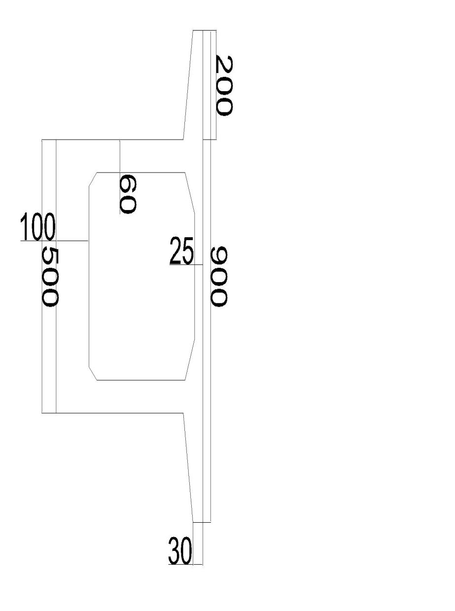
连续梁体为单箱单室。箱梁中支点截面高为4米,高跨比为1/18。跨中截面高度为1.4m,稍高于公路经验高跨比1/50—1/60,为偏安全设计。跨中直线长度Lc一般取2.0—3.0m,中支座处直线长度LC1为5m,边支座处直线长度Lc2为2m,均大于该处桥墩宽度。
箱梁顶板梁宽9m,底板宽度取5m,则悬臂长度为2m,顶板顺桥方向厚度不变取25cm,底板跨中厚度取30cm,根部厚度取100cm,腹板在跨中部分取40 cm,靠近桥跨L/4~3L/8时加宽为60cm,并在腹板上设置间距1~2m的直径10cm的通风孔,箱梁腹板与顶板交界处设置75×25cm的直线,过渡到根部50cm,预留预应力筋锚固位置,另外在箱梁桥台处拟定厚度1.5m的端横隔板,中间支点横隔板取和双壁墩相同厚度,并开设1×1m人洞。

以上是毕业论文大纲或资料介绍,该课题完整毕业论文、开题报告、任务书、程序设计、图纸设计等资料请添加微信获取,微信号:bysjorg。
相关图片展示:








        
            
