年产10吨更昔洛韦原料药的生产工艺车间设计毕业论文
2020-04-13 11:05:46
摘 要
更昔洛韦广泛应用于临床,主要用于治疗免疫缺陷巨细胞病毒患者感染和轮状病毒肠炎、婴儿巨细胞病毒肝炎、疱疹性口炎、疱疹性咽炎、儿童病毒性脑炎、眼带状疱疹、小儿水痘、风疹、毛细支气管炎、小儿流行性腮腺炎合并脑膜炎、小儿腺病毒肺炎、儿童传染性单核细胞增多症等疾病,更昔洛韦作为一种新进核苷类抗病毒药,在国内有着巨大的发展潜力,但是新型抗病毒药研究与市场开发进度的迟缓,使得临床用药的更新换代受到极大的限制。因此了解更昔洛韦合成的工艺研究进展,设计生产工艺流程,无论是对个人发展,亦或是整个行业发展的促进,都有积极性意义。
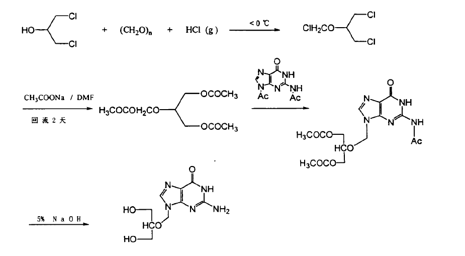
本设计参考了国内外近年来的文献报道,以2,9-二乙酰鸟嘌呤为原料,先后经过氯甲基化反应、中间体[(2-乙酰氧基-1-乙酰氧基甲基)-乙氧基]乙酸甲酯的合成反应、缩合反应,最后用甲胺水溶液处理制得纯度较高的产品。反应较温和,原料易得,未使用有毒催化剂,收率有一定保证,适合放大到工业生产。
在选定了更昔洛韦的合成路线之后,根据计算设计出详细的工艺流程,再根据工艺流程,进行机泵、设备、仪表等部件的选型,根据GMP要求及相关规范进行车间布置,管道排列,绘制相应的车间布置图。
关键词:更昔洛韦、抗病毒类药物、工艺流程、车间布置
Abstract
Ganciclovir is widely used in clinical treatment mainly for the treatment of immunodeficiency cytomegalovirus infection and rotavirus enteritis, infant cytomegalovirus hepatitis, herpetic stomatitis, herpetic angina, viral encephalitis in children, eyes Herpes zoster, pediatric chickenpox, rubella, bronchiolitis, pediatric mumps combined with meningitis, adenovirus pneumonia in children, childhood infectious mononucleosis and other diseases, ganciclovir as a new nucleoside Antiviral drugs have great potential for development in the country. However, new drug research and market development are slow, resulting in great restrictions on the replacement of clinical drugs. Therefore, it is of great significance to understand the research progress of ganciclovir's synthesis process and design the production process flow, both for individual development and for the promotion of the entire industry.
This design refers to domestic and foreign literature reports in recent years, through the 2,9-diacetyl guanine as raw material, and [(2-acetoxy-1-acetoxymethyl)-ethoxy] methyl acetate after the condensation reaction produces N2-acetyl-N9-[(1,3-diacetoxy)propan-2-yloxymethyl]guanine, which is then treated with a solution of methylamine to give a product of higher purity. With the advantages of easy access to raw materials, mild reaction and high yield, it is suitable for industrial production.
After selecting the synthetic route of ganciclovir, a detailed process flow was designed based on the calculation, and then the selection of components such as the pump, equipment, and instruments was performed according to the process flow. The workshop layout was plotted according to GMP requirements and related specifications. , Arrange the pipelines and draw the corresponding workshop layout.
Key words:Ganciclovir, antiviral drugs, process flow, workshop layout
目 录
摘 要 I
Abstract II
第一章 绪论 1
1.1 更昔洛韦概述 1
1.2 更昔洛韦产业的发展现状 1
1.2.1 抗病毒类药物的发展现状 1
1.2.2 生产现状 2
1.2.3 市场分析 2
1.3 更昔洛韦的药理、毒理作用 3
1.4 更昔洛韦的药动学特性 3
1.5 设计依据 3
1.5.1 设计任务依据 3
1.5.2 设计遵循的技术法规 3
1.5.3 设计指导思想 4
1.6 本设计的目的和意义 4
第二章 更昔洛韦合成路线的选择 5
2.1 以6-氯鸟嘌呤为原料合成 5
2.2 以单苄基更昔洛韦为原料合成 6
2.3 用先缩合、再环合的方式合成 6
2.4 用5-氨基-4-咪唑甲酰胺合成 6
2.5 以2,9-二乙酰鸟嘌呤为原料合成 7
2.6 工艺流程框图 9
第三章 物料衡算 10
3.1 生产总则 10
3.2 物料衡算 10
3.2.1 物料衡算的目的和意义 10
3.2.2 物料衡算的依据 10
3.2.3 物料衡算的基本理论 11
3.2.4 1,3-二氯-2-氯甲基丙烷(中间体3)合成工段物料衡算 11
3.2.5 3AC合成工段物料衡算 13
3.2.6 缩合工段物料衡算 15
3.2.7 水解工段物料衡算 16
第四章 能量衡算 18
4.1 能量衡算的目的 18
4.2 能量衡算的依据 18
4.3 热量衡算基础数据的计算和查取 19
4.4 1,3-二氯-2-氯甲基丙烷(中间体3)合成工段的能量衡算 19
4.4.1 Q1和Q4的求算 19
4.4.2 Q3的计算 20
4.4.3 Q2的计算 21
4.5 3AC合成工段能量衡算 21
4.5.1 Q1和Q4的求算 21
4.5.2 Q3的计算 23
4.5.3 Q2的计算 25
4.6 缩合工段能量衡算 25
4.6.1 Q1和Q4的求算 25
4.6.2 Q3的计算 26
4.6.3 Q2的计算 27
4.7 水解工段能量衡算 28
4.7.1 Q1和Q4的求算 28
4.7.2 Q3的计算 29
4.7.3 Q2的计算 30
第五章 主要设备选型 31
5.1 设备选型目的 31
5.2 设备选型的原则 31
5.3 设备选型的依据 32
5.4 主要贮罐的选型 32
5.4.1 甲醛贮罐 32
5.4.2 氯化氢贮罐 32
5.4.3 1,3-二氯-2-丙醇贮罐 33
5.4.4 二氯甲烷贮罐 33
5.4.5 无水乙酸钠贮罐 33
5.4.6 DMF贮罐 33
5.4.7 二乙酰鸟嘌呤贮罐 33
5.4.8 二恶烷贮罐 33
5.4.9 甲醇贮罐 34
5.4.10 40%甲胺水贮罐 34
5.4.11 60%乙醇贮罐 34
5.5 反应釜选型 34
5.5.1 1,3-二氯-2-氯甲基丙烷(中间体3)合成工段反应釜选型 34
5.5.2 3AC合成工段反应釜选型 35
5.5.3 缩合工段反应釜选型 35
5.5.4 水解工段反应釜选型 35
5.6 吸收设备选型 36
5.7 干燥设备选型 36
5.8 泵的选型 36
第六章 车间布置设计与管道设计 37
6.1 车间布置设计 37
6.1.1 车间布置设计的主要任务 37
6.1.2 车间布置设计的依据 37
6.1.3 车间布置设计的原则 38
6.2 管道设计 38
6.2.1 管道设计的主要任务 38
6.2.2 管道设计的原则 38
第七章 非工艺设计 40
7.1 车间安全生产守则 40
7.2 环境保护 40
7.2.1 环境保护的执行标准 40
7.2.2 废气的排放 40
7.2.3 废水的排放 40
7.2.4 噪声处理 41
7.3 防火防爆 41
7.4 采光与通风 42
设计总结 43
参考文献 44
附录一 工艺流程图 45
附录二 设备装配图 46
附录三 车间平面布置图 47
附录四 车间立面布置图 48
附录五 厂房平面布置图 49
致谢 50
第一章 绪论
1.1 更昔洛韦概述
1)名称
中文名称:更昔洛韦
以上是毕业论文大纲或资料介绍,该课题完整毕业论文、开题报告、任务书、程序设计、图纸设计等资料请添加微信获取,微信号:bysjorg。
相关图片展示:









