年产500吨非甾体抗炎药萘普生的工艺与车间设计毕业论文
2020-04-10 14:48:07
摘 要
非甾体抗炎药(NSAIDs)是一类不含有甾体结构的抗炎药,包括阿司匹林、对乙酰氨基酚、布洛芬、吲哚美辛、萘普生、双氯芬酸等。该类药物具有抗炎、抗风湿、止痛、退热和抗凝血等作用,其作用机制是通过抑制体内环氧化酶(COX)的活性,从而减少局部组织前列腺素(PGs)的生物合成。在临床上广泛用于骨关节炎、类风湿性关节炎、多种发热和各种疼痛症状的缓解。
萘普生(Naproxen)的化学名称为d-2-(6-甲氧基-α-萘基)丙酸,是一种良好的非甾体抗炎镇痛剂。萘普生的抗炎、镇痛作用均优于布洛芬、苯氧布洛芬,且具有副作用小,耐受性好的特点,同时对风湿性关节炎及类风湿性关节炎等具有较好的缓解作用。然而,目前国内萘普生的生产工艺存在一些不足,生产能力也有限。为了促进我国萘普生产业的发展,解决现有的生产技术问题,对萘普生的装置设计、工艺参数和生产过程进行进一步的研究具有十分重要的意义。
本设计的内容主要是根据国内外近年来的相关文献报道,对萘普生的生产工艺进行优化改进,在详细的分析和计算了萘普生的各个生产环节后,设计出了详细的工艺流程,根据工艺流程,进行主要设备的选型,绘制了车间布置图以及主要设备的装配图等图纸。本设计的目标是完成年产500吨萘普生的生产车间工艺设计,并能够利用本设计指导年产500吨萘普生的工业生产。旨在利用本设计改进目前国内落后的萘普生生产模式,提高生产厂家的竞争力和生产能力,促进我国萘普生产业的可持续发展。
关键词:非甾体抗炎药;萘普生;工艺流程;车间设计
Abstract
Non-steroidal anti-inflammatory drugs (NSAIDs) are a class of anti-inflammatory drugs that do not contain steroid structures, including aspirin, acetaminophen, ibuprofen, indomethacin, naproxen, diclofenac, etc. These drugs have anti-inflammatory, anti-rheumatic, analgesic, antipyretic and anticoagulant, acting by inhibition activity of cyclooxygenase(COX) to reduce the biosynthesis of prostaglandin(PGs) in local tissue and are widely used clinically for the relief of osteoarthritis, rheumatoid arthritis, multiple fevers and various pain symptoms.
The chemical name of Naproxen is d-2-(6-methoxy-α-naphthyl) propionic acid, which is a good non-steroidal anti-inflammatory analgesic. Its anti-inflammatory and analgesic effects are better than ibuprofen and fenoprofen. Featuring less side effects and well tolerated. It has a good alleviation effect on rheumatoid arthritis and rheumatoid arthritis. However, current domestic production of naproxen has some shortcomings, with limited production capacity. In order to promote the development of the industrialization of naproxen in our country, it seems essential to further study on the device design, process parameters and manufacturing processes of naproxen to improve the process conditions and solve the existing technical problems.
This design is mainly to optimize the manufacturing processes of naproxen according to the domestic and foreign literature reports in recent years. After detailed analysis and calculation of various aspects of naproxen production, a detailed process flow was designed. Then, the selection of the main equipment was performed according to the process flow. Workshop layout and assembly drawings of major equipment. This design is aimed to complete the process design of workshop and to guide its industrial production of annual output of 500 tons of naproxen. The purpose is to use this design to improve the current lagging naproxen production model, increase the competitiveness of manufacturers and production capacity, and enable the sustainable development of naproxen production industry in China.
Key words: NSAIDs; naproxen; process flow; workshop design
目 录
摘 要 I
Abstract II
第一章 绪论 1
1.1 萘普生概述 1
1.2 非甾体抗炎药概述 1
1.3 萘普生的药理作用 2
1.4 萘普生产业的发展情况 3
1.4.1 发展现状 3
1.4.2 市场分析 3
1.5 设计依据 4
1.6 本设计的目的和意义 4
第二章 工艺流程设计 5
2.1 萘普生的合成方法 5
2.1.1消旋萘普生的合成 6
2.1.2不对称催化合成S-( )-萘普生 8
2.1.3其他反应 13
2.2 工艺流程简述 15
2.3 工艺流程框图 17
第三章 物料衡算与能量衡算 19
3.1 生产总则 19
3.2 物料衡算 19
3.2.1 物料衡算目的 19
3.2.2 物料衡算依据 19
3.2.3 主要原料衡算及物性参数 20
3.2.4 缩酮化反应工段 21
3.2.5 不对称溴化反应工段 21
3.2.6 水解反应工段 22
3.2.7 脱溴反应工段 22
3.3 物料平衡表 23
第四章 能量衡算 24
4.1 设备的热量平衡方程式 24
4.2 热量衡算基础数据 25
4.3 能量衡算 26
4.3.1 缩酮化反应釜的能量衡算 26
4.3.2 不对称溴化反应釜的能量衡算 27
4.3.3 水解反应釜的能量衡算 28
第五章 设备选型与车间布置 29
5.1 设备选型原则 29
5.2 主要设备的选型 29
5.2.1 反应釜的计算与选型 29
5.2.2 泵的选型 30
5.3 车间布置设计的规范与内容 31
5.4车间布置 31
5.5设备布置 32
5.6管道布置 33
第六章 非工艺设计 34
6.1 车间安全生产守则 34
6.2 环境卫生 34
6.3 定岗与定员 34
6.4 采光与照明 34
6.5 电气 34
6.6 环境保护 35
总 结 36
参考文献 37
致 谢 39
第一章 绪论
1.1 萘普生概述
1)名称
中文名称:萘普生
中文别名:消痛灵;甲氧萘丙酸
英文名称:Naproxen
化学名称:(S)-( )-2-(6-甲氧基-2-萘基)丙酸
CAS:22204-53-1
2)化学结构式、分子式及分子量
化学结构式:

分子式:C14H14O3
分子量:230.26
3)理化性质
状态:白色结晶性粉末
气味:无臭或几乎无臭
溶解性:溶解(甲醇、乙醇和三氯甲烷);略溶(乙醚);几乎不溶(水)
比旋度: 63° ~ 66°(本品为S构型)
1.2 非甾体抗炎药概述
非甾体抗炎药(Nonsteroidal Anti-inflammatory Drugs,以下简称NSAIDs)是一类具有解热、镇痛作用,绝大多数还兼有抗炎和抗风湿作用的药物。据统计,NSAIDs在全球有五亿人使用,在我国的销量仅次于抗生素,居第二位。
按照化学结构,NSAIDs可分为水杨酸类(阿司匹林)、苯胺类(扑热息痛)、吡唑酮类(安乃近)、吲哚乙酸类(吲哚美辛)、邻氨基苯甲酸类(双氯芬酸)和芳基烷酸类(布洛芬、萘普生)。临床上,NSAIDs主要用于治疗骨关节炎、类风湿性关节炎、牙痛、痛经和术后疼痛等疾病[1]。研究表明,NSAIDs对阿兹海默症、肿瘤和心脑血管疾病都具有一定的疗效[2]。
前列腺素(prostaglandins,以下简称PGs)是促进炎症,疼痛和发烧的化学物质,而环氧合酶(cyclooxygenase,以下简称COX)是催化花生四烯酸转化为PGs的关键酶。人体内的COX至少有两种同工酶:存在于胃肠组织和肾脏肌肉中的固有型(COX-1)和只有在炎症情况下才会表达的诱生型(COX-2)。这两种酶都能产生PGs,但只有COX-1产生能够激活血小板并保护胃和肠内层的PGs。
NSAIDs通过抑制COX的活性从而减少PGs的产生而起作用,使得炎症、疼痛和发热症状减少。PGs还通过活化血小板促进血液凝结,保护胃和肠的内层免受酸的破坏作用,并促进肾脏的正常功能。由于保护胃部并促进血液凝固的PGs也减少,因此具有阻断COX-1和COX-2作用的NSAIDs可引起胃和肠溃疡,并增加出血风险。长期服用NSAIDs可能将会导致患者的前列腺功能发生障碍,更甚者会引起严重的肠胃刺激副作用。研究中通过对患者的胃镜观察发现,服用NSAIDs的患者会出现肠胃损伤,更严重者会出现胃溃疡和胃糜烂的副作用。另外,使用NSAIDs还会引起肝脏不良反应和肾脏不良反应[3]。
1.3 萘普生的药理作用
萘普生是一种典型的非甾体抗炎药,具有解毒、解热、镇痛、消炎的作用,在治疗疼痛状态和痛经方面被证明是有效的,并已被广泛应用。
萘普生的作用机制与其他NSAIDs类似,主要通过抑制COX的活性从而使PGs的合成减少,使得炎症、疼痛和发热症状减少。同时对血小板的黏附和聚集反应也有一定的抑制作用,但此作用可能诱发出血症状。常用于缓解头痛、肌肉酸痛、肌腱炎、牙痛和痛经等各种疾病引起的疼痛。它还可以减轻由关节炎、痛风发作引起的疼痛、肿胀和关节僵硬以及发热。
萘普生毒性低,对胃肠道和神经系统的不良反应相对较少。副作用是有潜在致命的可能性。高剂量食用可能会增加心脏病、心血管、心肌梗塞和中风的风险以及胃和肠道不良反应的风险。对NSAIDs过敏的人在服用此类药物时可能会出现呼吸困难。患有哮喘、心血管疾病的人在经历对NSAIDs严重过敏反应时具有更高的风险。
1.4 萘普生产业的发展情况
1.4.1 发展现状
20世纪60年代,第一个芳基丙酸类消炎镇痛药,被誉为“超级阿司匹林”的布洛芬(Ibuprofen)开发成功,随后进入市场,标志着芳基丙酸类药物的研究进入了一个新时代。此类药物因作用强、毒副作用小而广受欢迎。同时对于非甾体消炎镇痛药的研究进展加快,品种层出不穷,先后开发了萘普生(Naproxen)、酮基布洛芬(Ketoprofen)、氟比洛芬(Flurbiprofen)、洛索洛芬(Loxoprofen)、扎托洛芬(Zaltoprofen)等。截止目前,该类药物已上市品种有30多个。
萘普生由美国Syntex公司开发成功,1968年获得美国专利,1972年正式生产并在墨西哥出售。1976年萘普生以Naprosyn为名在美国作为处方药销售,1994年美国FDA批准萘普生钠作为OTC上市,商品名为Aleve。2008年,在英国通过了含250 mg萘普生的片剂作为OTC以Feminax Ultra之名销售。随即萘普生相继被多个国家批准作为非处方药销售,市场上陆续出现各种剂型的产品,进而与阿司匹林、扑热息痛、布洛芬一起成为世界四大消炎镇痛药。我国于1980年开始生产萘普生,然而无论是技术、市场还是生产质量与国外相比,都有不小差距。萘普生在国内镇痛药的市场份额甚至不到1%。近年来,科技工作者积极借鉴国外先进技术,尤其是生产工艺方面,做了诸多研究改进,突破了许多技术难关,技术水平取得显著提高。未来仍需加强与科研机构的合作,更新技术,加强市场应变能力。
1.4.2 市场分析
NSAIDs是世界医药市场上销售额领先的药物之一。其中,萘普生和布洛芬占据着近一半的市场份额。在美国的非甾体抗炎药市场中,萘普生占据20%的市场份额,仅次于布洛芬。萘普生在美国的销售额比布洛芬还要高,是老人和妇女尤其喜欢使用的镇痛药品。国际市场上萘普生缓释制剂的市场发展势头较猛,强过普通制剂。
萘普生在我国的销售量和销售额都较小,生产规模也较小。近年来,我国市场上的萘普生原料药年消耗量和萘普生片剂的年产量相比扑热息痛和阿司匹林差距非常大。
萘普生在国内解热镇痛药市场上的占有率很低,主要是因为现阶段萘普生在我国主要用于抗风湿治疗,而在解热镇痛等方面的应用很少。同时生产和销售萘普生的企业在制剂开发、产品宣传、市场开拓等方面远远不足,导致市场、医师、患者没有充分认识它。近年来,萘普生在我国市场的销售额开始有所上升,缓释制剂产品增长较快。对于发展前景,一方面要对原料药生产工艺改进升级,另一方面要对已上市的进行剂型改造,开发新的药物释放系统,实现靶向治疗。
1.5 设计依据
1)设计任务依据
武汉理工大学本科生毕业设计任务书;
2)设计遵循的技术法规
1.《化工装置设备布置设计规定》HG/T 20546—2009;
2.化工工艺设计手册;
3.《化工建设项目噪声控制设计规定》HG 20503—1992;
4.化工装置实用工艺设计;
5.《化工装置基础设计深度规定》HG/T 20689—2007;
6.《换热器选型导则》SGCE 0103—2006;
7.《石油化工设计能耗计算标准》GB/T 50441—2007;
8.《工业企业总平面设计规范》GB 50187—2012;
1.6 本设计的目的和意义
萘普生在国内的需求量很大,发展前景也是十分良好,但是目前国内萘普生的生产工艺存在缺陷,产能有限,为了解决这个问题,促进我国萘普生产业的发展,有必要对工业生产萘普生的装置设计、工艺参数和生产过程进行进一步的研究改进。
本设计根据国内外近年来的文献资料,对萘普生的生产工艺进行改进,对萘普生的生产工艺参数和生产设备选型进行设计计算。本设计的目的是完成年产500吨萘普生的生产车间工艺设计,并能够利用本设计指导年产500吨萘普生的工业生产。
本设计对萘普生工业生产的各个环节进行了详细地分析和计算,设计详细的工艺流程,再进行主要设备的选型,并绘制车间布置图以及主要设备装配图。旨在利用本设计改进目前萘普生生产企业落后的生产方式,提高企业的生产能力和竞争力,促进我国萘普生产业的良性发展。
第二章 工艺流程设计
2.1 萘普生的合成方法
萘普生具有两种对映异构体,其中S-异构体的疗效是R-异构体的28倍,因此S-异构体是目标产物。在S-萘普生的合成报道中,主要有两种方法,一种是先合成消旋的萘普生,再通过拆分获得;另一方法是用手性试剂诱导反应,不经过拆分直接得到光学纯的S-萘普生,例如RajanBabu等[4]采用不对称氰化水解法直接得到S-萘普生。不对称催化合成的方法主要有:不对称催化氢化反应法、不对称氢氰化反应法、不对称双羟基化反应法、不对称交叉偶联反应法及其他方法。
2.1.1消旋萘普生的合成
2.1.1.1路线一
胡艾希等[5]用廉价的卤化铜作卤化剂高选择性的卤化6-甲氧基-2-丙酰基萘,得到高收率的羰基α-卤化物,与新戊二醇发生缩酮化得到2-卤乙基-2-(6-甲氧基-2-萘基)-4-甲基-1,3-二氧杂环戊烷,在催化剂作用下发生重排反应即可得到消旋的萘普生。路线如图2.1。
2.1.1.2线路二
郭峰等[6]用1-溴-2-甲氧基萘和对甲基苯磺酰乳酸乙酯在无水氯化铝催化作用下发生Fniedel-Crafts反应,然后采用分步脱溴的方法,避免了使用价格昂贵的钯等催化剂,同时简化操作,最后得到消旋萘普生。路线如图2.2。
2.1.1.3线路三
刘丽梅等[7]以6-甲氧基-2-萘乙酮为原料,在氢氧化钾的作用下,与硝基甲烷发生亲核加成,脱氢烯比后,用铁粉还原,再用浓硝酸氧化脱水即得消旋萘普生。路线如图2.3。
2.1.1.4路线四
王继东等[8]以β-萘甲醚为原料,分别经过酰化、电还原、催化氢化三步合成了消旋萘普生。路线见图2.4。

2.1.2不对称催化合成S-( )-萘普生
2.1.2.1不对称催化氢化法
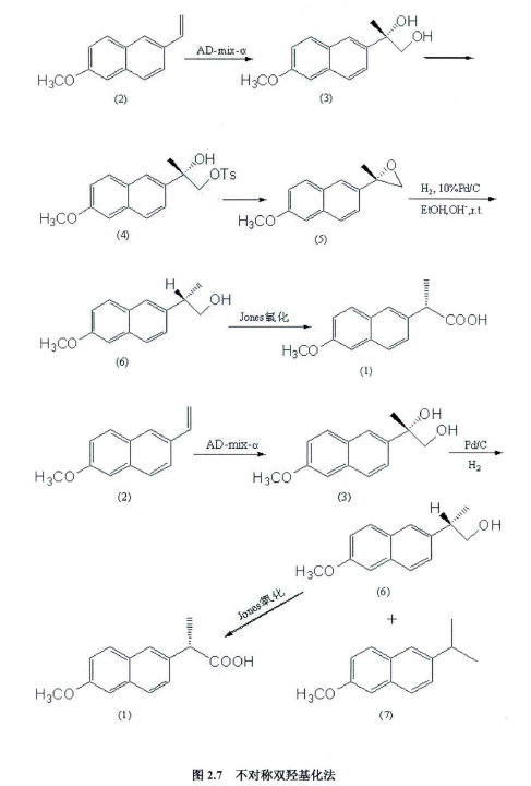
此方法主要采用手性膦配体-钌配合物作为均相催化剂。Kitamura等[9]将手性膦配体一钌配合物用于S-( )-萘普生的催化不对称合成,效果良好,收率为92%,对映选择性为97%,但是需要13.7-15.2MPa的氢气压力,且催化剂的分离和循环使用存在问题。赵培庆等[10]以[RuCl2(S)-BIPHEN]2·(NEt3)为不对称催化剂,以三乙胺为助催化剂,反应在甲醇中进行, -5℃下反应16小时,收率为91%,对映选择性为95%。Qiu等[11]合成新的手性膦配体(R)-[5,5',6,6'-双(2R,4R-戊二氧基)]-(2,2')-双(二苯基膦)-(1,1')-联苯(3),并制成[RuCl(P-cymene)(3)]Cl作为不对称催化剂,在甲醇溶剂中,0℃条件下,催化氢化2-(6-甲氧基-2-萘基)丙烯酸(2),收率为100%,对映选择性为97%,路线见图2.5。
以上是毕业论文大纲或资料介绍,该课题完整毕业论文、开题报告、任务书、程序设计、图纸设计等资料请添加微信获取,微信号:bysjorg。
相关图片展示:









