年产1500万支酮洛芬乳膏生产车间设计毕业论文
2020-02-19 13:39:13
摘 要
酮洛芬是继布洛芬后研制出的疗效良好、毒副作用较小的镇痛消炎药,临床上常用于关节炎等各类炎症和术后镇痛,市场需求量大。本设计旨在对年产1500万支酮洛芬乳膏生产车间进行设计,设计内容包括确定规格和处方、选定工艺流程、物料和能量衡算、设备选型、厂房布置、空调净化系统、设备布置、车间管道布置等。通过查阅相关制剂设计书籍和GMP要求,本设计在充分运用国内现有技术的同时做了绿色环保的创新,比如运用真空乳化锅将油相制备、水相制备、乳化、均化四个重要乳膏制剂生产工序结合在一个设备中进行,减少了中间输送设备的消耗和人员的浪费。厂房为单层长方形结构,车间布置合理,厂房建筑材料、装修材料的选择严格遵照国家防火规范,保障药品的质量和操作人员的安全。
关键词:酮洛芬乳膏;工艺设计;车间布置;洁净区
Abstract
Ketoprofen is an analgesic and anti-inflammatory drug developed after ibuprofen with good curative effect and less toxic side effects. It is commonly used in various types of inflammation and postoperative analgesia in arthritis, and the market demand is large. This design is designed to design an annual production capacity of 15 million ketoprofen cream production workshops, including specifications and prescriptions, selected process flow, material and energy balance, equipment selection, plant layout, air conditioning purification system, Equipment layout, workshop piping layout, etc. By consulting relevant formulation design books and GMP requirements, this design has made green and environmental innovations while making full use of existing domestic technologies, such as the preparation of oil phase, water phase preparation, emulsification and homogenization using vacuum emulsification pots. The paste preparation process is combined in one device, reducing the consumption of intermediate transfer equipment and waste of personnel. The factory building has a single-layer rectangular structure, and the workshop layout is reasonable. The selection of building materials and decoration materials strictly follows the national fire protection regulations to ensure the quality of the drugs and the safety of the operators.
Key words: ketoprofen cream; process design; workshop layout; clean area
目 录
第1章. 绪论 1
1.1. 设计背景及意义 1
1.1.1. 设计背景 1
1.1.2. 设计意义 2
1.2. 设计依据 2
第2章. 工艺流程设计 3
2.1. 工艺设计参数 3
2.1.1. 产品方案 3
2.1.2. 生产计划 3
2.2. 生产工艺设计 3
2.2.1. 基质预处理 3
2.2.2. 乳化 3
2.2.3. 粉碎 3
2.2.4. 均化 4
2.2.5. 灌装、封口、包装 4
2.2.6. 装箱、入库 4
2.3. 工艺流程示意图 4
第3章. 物料衡算 1
3.1. 初步物料衡算 1
3.2. 物料衡算 1
3.2.1. 原辅料衡算 1
3.2.2. 包装材料的衡算 2
第4章. 能量衡算 7
4.1. 能量衡算的基础 7
4.2. 能量衡算的方法 7
4.3. 热量衡算 7
4.3.1. 基质预处理中的衡算 8
4.3.2. 乳化过程: 10
4.3.3. 均化过程: 10
第5章. 设备的设计和选型 11
5.1. 单元操作设备选型 11
5.1.1. 研磨 11
5.1.2. 油相、水相、乳化 12
5.2. 罐装 12
5.2.1. 设备的设计 12
5.3. 包装 13
5.3.1. 装盒机 13
5.3.2. 收缩膜机 13
5.4. 主要工艺设备 14
第6章. 车间的平面布置设计 15
6.1. 车间的整体布置 15
6.1.1. 厂房型 15
6.2. 车间平面布置 15
6.3. 车间平面布置图(附图Ⅰ) 16
第7章. 空调净化系统设计 17
7.1. 空气净化的要求 17
7.2. 空气净化系统设计 17
7.2.1. 设计参数 17
7.2.2. 设计方案 18
7.2.3. 空气过滤器 19
7.2.4. 洁净区风量平衡计算 19
7.3. 空气净化系统 (附图Ⅱ) 19
第8章. 环境保护及三废处理 20
8.1. 废水的处理 20
8.2. 废气的处理 20
8.3. 废渣的处理 20
第9章. 车间安全防范和人员保护 22
9.1. 防火防爆 22
9.1.1. 洁净厂房的特点 22
9.1.2. 防火防爆措施 22
9.2. 静电的消除 23
9.3. 车间卫生 24
9.3.1. 消声与减振 24
参考文献 25
致谢 27
绪论
设计背景及意义
设计背景
酮洛芬是被法国化学家研制出的苯丙酸类非甾体抗炎药,也叫酮基布洛芬[1],与人们常用的非甾体抗炎药物如布洛芬相比较,酮洛芬的疗效更加好、使用剂量较小、耐受性比较好、毒性低和不良反应小等优点。因此是临床上治疗中老年人常常患有的各类关节炎症的理想药物,且作为中度镇痛药广泛用于治疗和减轻日常生活中常见的病症带来的痛苦,如痛经、牙痛、手术后疼痛等[2-4]。随着中国人口老龄化日剧严重,越来越多的老年人经受老年疾病的伤害,人们也愈加关注相关药物的发展,特别是几乎每个老年人都患有的各类关节炎症。由于患病群体庞大、发作周期较短,镇痛消炎药需求量大,因此酮洛芬的镇痛消炎药的研发和生产十分重要。
人身体内会导致炎症发生的前列腺素和白三烯可以被酮洛芬抑制其合成,且酮洛芬还具有稳固溶酶体膜活性的作用,因此有良好的解热、镇痛和抗炎作用,并加强其外周止痛效果[5]。但是由于药物的毒副作用多体现在肠、胃等内部器官上,会导致肠胃不适,头痛,耳鸣等不良反应[6]。导致口服制剂的不良反应较多,因此新制剂的研究、开发、生产是很有意义和十分必要的,也是我们制药行业人员的义务。由于酮洛芬常用于局部炎症,乳膏剂这种可以直接涂抹于炎症部位的剂型是酮洛芬制剂的优先选择,将酮洛芬制备成乳膏剂可有效地提高其生物利用率。并且这种局部用药剂型可以减少药物扩散时间,达到起效快的作用;直接透过皮肤,由毛细血管输送到作用部位,可以避免肠胃不适、轻微消化不良等不良反应。
乳膏剂是一种均匀的半固体外用制剂软膏剂中较为常用的一种,作用药物溶解或均匀分散在油相和水相基质内部[7]。基质的选择会帮助药物更快的经皮吸收从而起效较快。针对酮洛芬的不溶性可以选择水包油型乳膏基质,水包油型的乳膏基质不会被创面渗出物、分泌物隔离出来,反而可以很好的混合在一起,可以快速的通过创面异物到达作用部位[8]; 加入的药物释放速度可以达到很快,穿透皮肤也较快,口服用药带来的的肝首过效应及胃肠灭活作用也可以被有效避免;且患者可根据自身的时间安排自主用药,提高了临床用药的依从性,达到方便用药、局部用药、起效快、对胃肠道刺激小等优点。
酮洛芬乳膏应质地细腻,药物分布均匀,涂抹时无颗粒感;粘稠度适宜,易于涂布,且可以长时间紧贴、粘附、辅展于皮肤表面,且不沾染衣物;受基质的影响酮洛芬的释放、穿透能力比较强,起效快;对人体正常皮肤无强烈不良刺激性、过敏性,特别是可以避免胃肠道的不良反应,还可以避免长期用药导致的肠胃衰竭;酮洛芬乳膏剂的生产工艺简单,使用、携带、贮存较为方便[9-10]:
设计意义
酮洛芬乳膏剂为各类炎症及中度疼痛的理想药物,但国内对其的研究还不算很多,还有很多研究的空间,其中酮洛芬新剂型的研究是很有价值的,因为酮洛芬的消炎作用比布洛芬好,副作用也比较少,镇痛消炎药的消耗量是非常可观的,而酮洛芬乳膏剂有起效快、使用方便、副作用小等显著优点,因此新剂型的设计不仅有良好的发展前景,还可以为许多的病人提供更好的药物选择。
设计依据
根据任务书的要求进行设计,还有《工业药剂学》里乳膏剂的相关知识和有关规定,选择合适的辅料和添加剂。酮洛芬乳膏剂基质是根据酮洛芬原料药不易溶于水相和油相的性质来选择的,根据酮洛芬乳膏剂的疗效和产品的稳定性。查询相关的书籍从常用的油脂性基质中选择能够有效配合酮洛芬疗效的蓖麻油和硬脂酸[11];其中水溶性基质选择甘油,既可以作为水溶性基质和水一起制备水相,又可以作为润湿剂和防腐剂;乳化剂则选择单硬脂酸甘油酯。根据GMP的规定,乳膏剂中的固体颗粒粒度大小≤180μm,原料药酮洛芬购入时结晶型粉末,不能达到粒度要求,因此酮洛芬粉末在加入乳状基质进行均化前,必须预先粉碎研磨成细粉[12]。
依据药品管理要求,乳膏剂中还需要添加保湿剂、抑菌剂、增稠剂、稀释剂、抗氧剂及透皮促进剂等添加剂。因此还加入羟苯乙酯、三乙醇胺、氮酮等添加剂[14-15]。
工艺流程设计
工艺设计参数
产品方案
参照中国药典对酮洛芬搽剂的规格,选定酮洛芬乳膏的规格见表2.1:
表2.1 产品参数
产品名称 | 产品性状 | 产品规格 | 产品包装 |
酮洛芬乳膏剂 | 白色乳膏状 | 10g/0.5g 5 支 | 铝塑复合软管(内包) |
生产计划
1.年产量:1500 万支酮洛芬乳膏剂;
2.工作日:300 天;
3.每天工作时间:8 小时。
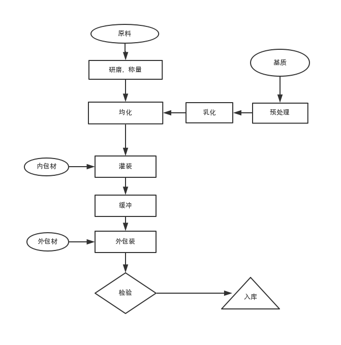
生产工艺设计
基质预处理
油相基质预处理:将处方中需要的油相基质加入到油相制备锅中,并且控制油锅温度在70℃左右,待基质熔化到可以搅拌时时,开动搅拌器至其完全熔化,;
水相基质预处理:将水相基质(甘油,三乙醇胺,羟苯乙酯)和处方量的蒸馏水加入水相制备锅中,加热搅拌,温度控制在70℃,使溶解完全,在带搅拌器的套管加热器中进行。
乳化
维持油相、水相的温度在70℃左右,然后使用真空泵将油相、水相通过带过滤网的管道压入乳化锅中,同时启动搅拌器和加热装置,待基质乳化完全后,再使用冷却水降温。乳膏剂需具有适宜的粘稠度,在乳化过程保持适合搅拌速度和方向的一致。
粉碎
酮洛芬原料药可以选择从质量得到认证,价格适宜的原料药厂家直接购入。因为原料药是加入直接加入到基质中,需将酮洛芬原料药研磨成细粉后,称重备用。
均化
将研磨后的酮洛芬原料药在搅拌下加入到降温后的乳液中均匀混合,待均化完全后停止搅拌,让乳膏在真空容器静置24小时后,称重,送至灌装工序。
灌装、封口、包装
制得的乳膏可用手工或机器进行灌装。大量生产选用乳膏自动灌装、扎尾、装盒联动机进行包装。
装箱、入库
将包装好的乳膏剂按照规格装箱,再分别按照三期入库等待检查。
工艺流程示意图

图2.1乳膏制备工艺流程图
物料衡算
初步物料衡算
每小时生产能力计算:根据设计任务,酮洛芬乳膏的年生产能力为1500 万支/年;年工作时间300 天。每天工作时间按8 小时计算(上午4 小时,下午4 小时),一年总工作时间=300*8=2400 小时;每小时生产能力为6250 支/时,每天生产能力为5万支/天。
物料衡算
原辅料衡算
根据质量守恒定律:ΣG进=ΣG出 ΣG损,进行物料衡算。一年生产300天,产量5万支/天。
酮洛芬乳膏:规格为10 g/支,10 g/0.5 g
处方为(10 g):
表3.1 酮洛芬乳膏处方
原辅料 | 用量 |
酮洛芬 | 0.5 g |
单硬脂酸甘油酯 | 0.4 g |
甘油 | 1 g |
硬脂酸 | 2 g |
三乙醇胺 | 0.1 g |
蓖麻油 | 3 g |
氮酮 | 0.3 g |
羟苯乙酯 | 0.02 g |
纯化水 | 2.68 g |
各工序损耗如图3.1:
最后得到的成品中的原辅料:(ΣG出)
酮洛芬:1500×10000×0.5÷1000=7500 kg
单硬脂酸甘油酯:1500×10000×0.4÷1000=6000 kg
甘油:1500×10000×1÷1000=15000 kg
硬脂酸:1500×10000×2÷1000=30000 kg
三乙醇胺:1500×10000×0.1÷1000=1500 kg
蓖麻油:1500×10000×3÷1000=45000 kg
氮酮:1500×10000×0.3÷1000=4500 kg
羟苯乙酯:1500×10000×0.02÷1000=300 kg
纯化水:1500×10000×2.68÷1000=40200 kg
图3.1各工序的损耗率
根据各工序的损耗量,可计算原辅料的最先投入量(ΣG进):
酮洛芬:7500 kg÷(100%-0.1%)÷(100%-0.1%)÷(100%-0.1%)=7522.5 kg
单硬脂酸甘油酯:6000kg÷99.6%÷99.9%÷99.9%÷99.9%=6042.5 kg
甘油:15000kg÷99.6%÷99.9%÷99.9%÷99.9%=15106 kg
硬脂酸:30000kg÷99.6%÷99.9%÷99.9%÷99.9%=30211 kg
三乙醇胺:1500kg÷99.6%÷99.9%÷99.9%÷99.9%=1510.5 kg
蓖麻油:45000kg÷99.6%÷99.9%÷99.9%÷99.9%=45316.5 kg
氮酮:4500kg÷99.6%÷99.9%÷99.9%÷99.9%=4532 kg
羟苯乙酯:300kg÷99.6%÷99.9%÷99.9%÷99.9%=302.5 kg
纯化水:40200kg÷99.6%÷99.9%÷99.9%÷99.9%=40483 kg
年产1500支酮洛芬乳膏剂物料平衡如表3.2:
包装材料的衡算
包装的规格:每盒一管,每箱200 盒。
包装材料的损耗百分比:
内包装材料:铝塑复合软管为1%
外包装材料:纸盒为1%
说明书1%
纸箱0.5%
内包装材料:铝塑复合软管:15000000 支
损耗:15000000×1%=150000 支
总计:15000000 150000=15150000 支
表3.2 酮洛芬乳膏物料平衡
物料名称 | 质量/kg | 物料名称 | 质量/kg |
酮洛芬 | 7522.5 | 酮洛芬乳膏 | 150000 |
单硬脂酸甘油酯 | 6042.5 | ||
甘油 | 15106 | ||
硬脂酸 | 30211 | ||
三乙醇胺 | 1510.5 | 损失 | 1026.5 |
蓖麻油 | 45316.5 | ||
氮酮 | 4532 | ||
羟苯乙酯 | 302.5 | ||
纯化水 | 40483 | ||
总计 | 151026.5 | 总计 | 151026.5 |
外包装材料:纸盒:15000000 个
损耗:15000000×1%=150000 个 总计:15000000 150000=15150000 个


