Nb2O5纳米线阵列的制备及其电化学嵌锂研究毕业论文
2021-11-28 21:27:57
论文总字数:19563字
摘 要
由于Nb2O5嵌锂负极材料具有相对较高的比容量和较优异的循环稳定性,柔性Nb2O5电极材料的制备以及基于该材料的柔性锂离子电容器的研究对于快速储能应用是非常有意义的。相关研究不仅能丰富Nb2O5材料的电化学应用,还有助于开发新型的高性能柔性电化学储能装置。
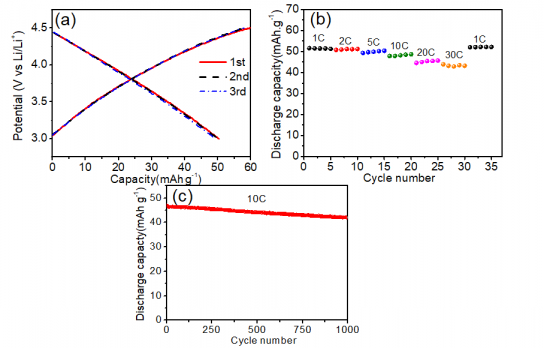
本文通过简单的溶剂热方法以及后续的退火处理,在碳布表面直接生长出较有序的T-Nb2O5纳米线阵列。通过调控材料的退火温度,我们可以有效控制纳米线的结晶程度,以得到性能最优的锂离子混合电容器负极材料。恒流充放电实验结果表明,该材料表现出优异的高倍率和循环稳定性。退火温度为650℃的材料(Nb2O5-650)电化学性能最好,在电流密度分别为2 C、5 C、10 C、20 C、30 C和50 C时的容量保持率分别可以到达98%、93%、87%、78%、72%和67% (相对于1C)。此外,该材料还表现出较好的循环性能,循环1000圈后的容量保持率为95.5%(相对于首圈)。将Nb2O5-650材料作负极,与活性炭正极按一定的比例组装成锂离子混合电容器,其电化学性能也比较优秀,在电流密度分别为5 C、10 C、20 C、30 C、40 C和50 C下容量保持率分别为95.3%、90.7%、83.6%、79.1%、74.5%和72.1%。该锂离子混合电容器在10 C下的循环性能测试中,容量保持率可达91%以上,循环性能较为稳定。上述研究结果表明,由于T-Nb2O5材料具有独特的纳米阵列结构,该电极具有高倍率性能。与此同时,T-Nb2O5纳米线阵列还具有很好的柔性。
关键词:锂离子混合电容器;Nb2O5;负极材料;柔性
Abstract
Nb2O5 materials have a relatively high specific capacity and excellent cycle stability, the synthesis of flexible Nb2O5 electrodes and the research of flexible lithium-ion capacitors based on Nb2O5 electrode materials are of great value in high-rate energy storage. These research can not only enrich the electrochemical application of Nb2O5, but also may play an important role in developing new types of high-performance flexible electrochemical energy storage devices.
In this paper, a simple solvothermal method and subsequent annealing treatment are used to grow ordered T-Nb2O5 nanowire array directly on the surface of the carbon cloth. After post-annealing at high temperatures, we can obtain the electrode material with effectively controlled crystallinity, which show optimized charge/discharge performances. The constant current charge/discharge results show that the nanowire array materials exhibit excellent high rate and long cycle stability. Among them, the Nb2O5-650 material with annealing temperature of 650℃ shows the best electrochemical performances. The capacity retention at current densities of 5 C, 10 C, 20 C, 30 C, 40 C and 50 C can reach 98%, 93%, 87%, 78%, 72% and 67% (relative to 1C), respectively. It also shows good cycle performance, and the capacity retention after 1000 cycles is about 95.5% (relative to 1C). With Nb2O5-650 material as the negative electrode material and activated carbon as the positive electrode material (in a certain ratio), a lithium-ion hybrid capacitor is assembled and it delivers excellent electrochemical performances. The capacity retention at current densities of 5 C, 10 C, 20 C, 30 C, 40 C, and 50 C is 95.3%, 90.7%, 83.7%, 79.1%, 74.4% and 72.1% (relative to 2 C), respectively. When cycling at 10 C, the capacity retention of the lithium-ion hybrid capacitor can reach 91.9%, indicating that the cycle performance is relatively stable. The above results imply that T-Nb2O5 materials can exhibit excellent electrochemical performances such as greatly improved high rate performance, for their peculiar nanoarray structure. The T-Nb2O5 nanowire array materials also show good flexibility.
Key Words:lithium-ion hybrid capacitor; Nb2O5; negative material;flexible
目 录
第1章 绪论 1
1.1 引言 1
1.2 锂离子混合型电容器 1
1.2.1 锂离子混合型电容器研发历史 1
1.2.2 混合电容器的结构及工作原理 2
1.2.3 混合电容器的分类 3
1.2.4 锂离子混合电容器的优点和挑战 3
1.3 电极材料 4
1.3.1 金属氧化物负极材料 4
1.3.2 电极材料Nb2O5 的研究进展 5
1.4 阵列电极材料在柔性锂离子电容器中的应用 6
1.5 本课题的研究内容 6
第2章 实验设计与结果讨论 7
2.1 实验设计 7
2.1.1 实验设备 7
2.1.2 实验试剂及实验材料 7
2.1.3 负极材料的制备 8
2.1.4 半电池的制备 8
2.1.5 锂离子混合电容器的组装 8
2.1.6 材料表征 8
2.1.7 电化学性能测试 9
2.2 实验结果分析 9
2.2.1 样品表征测试分析 9
2.2.2 退火温度对材料的电化学性能的影响 11
2.2.3 与活性炭正极组装的锂离子电容器及其电化学性能 13
第3章 结论与展望 15
3.1 结论 15
3.2 展望 15
参考文献 16
致谢 18
绪 论
引言
近年来,锂离子电池(LIB)和超级电容器(SCs)被广泛用于各种应用,例如移动通信、电动车辆、其他电子设备等[1]。锂离子电池由于电极发生氧化还原反应完成充放电,故能量密度较高,但不足的是导致功率密度较低和循环稳定性较差。与锂离子电池相比,超级电容器通过离子吸附和解吸完成充放电而显示出高功率密度和超循环稳定性,但低能量密度限制了它们的广泛应用[2-3]。然而随着人们对电子设备的要求越来越高,锂离子电池和超级电容器已不能满足高能量密度和功率密度电子设备需求的不断增长。将电池电极与电容电极相结合,构建锂离子混合电容器(LIC)是满足未来储能器件的要求的有效办法[2]。然而,由于LIC中的电容电极通过离子吸附/解吸来储存/释放电荷,可以表现出非常高的电荷传导性能; 而锂离子电池电极通过锂离子嵌入存储能量,因此速率性能可能受到固相中缓慢的锂离子扩散的而被限制[4]。为了解决LIC中的动力学不平衡问题,许多研究工作致力于开发具有超高倍率和长循环寿命的锂离子电容器负极材料。这些负极材料依据储锂机理的差异又可以分为几类:合金型、转化型、嵌入型,其中嵌入型的负极材料可以保证锂离子在具有电化学活性的材料晶格中的嵌入和脱嵌过程对材料结构造成较小的破坏而被广泛应用,其中,过渡金属氧化物由于成本低、容量大、易制备等优点是嵌入型材料中较为常用的 [5]。
锂离子混合型电容器
锂离子混合型电容器研发历史
2001年,G.G.Amatucci[6]最先报告了一种由Li4Ti5O12嵌锂材料负极,双电层电容特性的活性炭正极组装的的混合电容器,其能量密度达到了20 W h/kg。2005年,LICs 的概念首次被公开使用,日本富士重工[8]将一种锂电池材料作为电极的 LICs 公布于众。该器件是以预嵌锂后的多并苯为电池级材料,负极的比容量相比于对称的双电层电容器,提升了约30倍。而与活性炭组成的LICs,比容量也增大了2倍。该LICs的能量密度是碳基电容器的4倍多,达到了13 W h/ kg,主要是因为电位窗口提高到了3.8 V(双层电容器电位窗口为2.5 V)。2007年富士重工又报道了其他类型的可选择作为LICs电池极的材料。此类LICs以含锂盐电解液为电解质,以具有双电层电容特性的活性炭为负极[7]。这种LICs的能量密度能接近铅蓄电池的水平,功率密度能接近双电层的水平,并且具有稳定的循环性能,循环20000次后容量保持率能达到80%。之后,富士重工还发现可以用钒氧化物作为LICs的电池极材料。2009年,东京农工大学[9]以钛酸锂和碳纳米纤维的复合材料作负极材料,研发出了一种新型的LICs。这种新型的LICs的能量密度相较于双电层电容器提升了近3倍。2011年,Zhamu A等[10]人研发的新型LICs以石墨烯作为电极材料。该器件将一层金属锂涂覆在负极一端的表面,这样不仅有利于避免繁琐的预嵌锂过程,还可以在放电过程中作为锂源提供锂离子,加快离子在电极表面的迁移速率,有效缓解了固态扩散带来的动力学控制问题。这种新型LICs能量密度可达100 W h/ kg,功率密度可达2000 W/kg,为之后关于LICs的研究提供了参考。
由于LICs具有较优异的性能和广泛的应用前景,近年来成为了电储能器件研究领域的热门,发展非常迅猛。锂离子混合超级电容器有希望在新型电动汽车、各类电气设备、军事和航空航天设施等高能量大功率型的电子产品领域大放异彩。
混合电容器的结构及工作原理
混合电容器正极一般选用具有高比面积的电容器型材料,例如活性炭、碳纳米管和碳纤维等。这一极是通过离子在电极材料表面进行物理吸/脱附来储存/释放能量。而负极是电池型材料,通常选用层状锂金属氧化物或锂嵌入材料,发生氧化还原反应或与锂离子进行可逆的嵌入/脱出来储存/释放能量。由于体相嵌入和脱出机理的锂离子电池具有高的能量密度,表面物理吸附和脱吸机理的双电层电容器拥有较高的功率密度,而混合电容器性能优于它们的原因就在于同时具有它们的储能机制,利用了二者的优势,故同时具有较高的能量密度的较高的功率密度。结构示意图如图1-1。
请支付后下载全文,论文总字数:19563字
相关图片展示:





您可能感兴趣的文章
- BN嵌入型四苯并五苯:一种工具高稳定性的并五苯衍生物外文翻译资料
 - MoS2和石墨烯作为助催化剂在增强的可见光光催化H2生产活性的多臂CdS纳米棒的作用外文翻译资料
 - 通过在BiVO4的不同晶面上进行双助剂的合理组装制备高效率的光催化剂外文翻译资料
 - 非编码RNA的固相合成研究外文翻译资料
 - 氢化驱动的导电Na2Ti3O7纳米阵列作为钠离子电池阳极外文翻译资料
 - 高能量及功率密度的可充电锌-二氧化锰电池外文翻译资料
 - 利用导电聚合物纳米线阵列来增强电化学性能外文翻译资料
 - 自支撑Na2Ti3O7纳米阵列/石墨烯泡沫和石墨烯泡沫准固态钠离子电容器电极外文翻译资料
 - 基于碳纳米管金纳米粒子辣根过氧化物酶构建的过氧化氢生物传感器毕业论文
 - 新型联二吡啶Pt(II)炔配合物的设计、合成及光物理性质研究毕业论文
 

        
            
