Nb3O7F纳米片阵列的制备及其表面包覆改性研究毕业论文
2021-11-28 21:27:46
论文总字数:23711字
摘 要
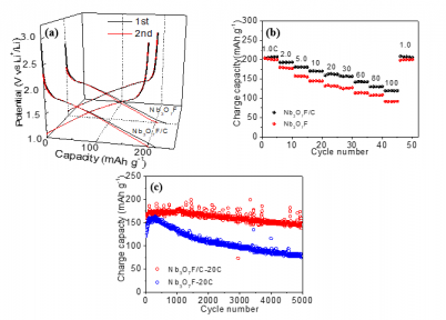
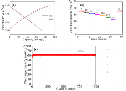
锂离子电容器作为一种新兴的电化学储能器件,在能量的存储及转化领域具有较大的应用潜力。其一侧电极采用电容型材料,通过双电层机理来储存能量,另一极采用电池型材料,通过氧化还原反应机理来储存能量。由于两极反应机理的不同,导致两电极的动力学速率不匹配。因此,需要寻找一种合适的能与电容极正极动力学速率相匹配的嵌锂负极材料。本论文通过水热法和后续的碳包覆成功处理了在碳布上直接生长的Nb3O7F/C纳米片阵列材料。我们采用SEM、XRD和XPS等测试方法对材料的形貌和微观结构进行了表征,并测试了电化学性能。实验结果表明,该材料具有优异的电化学性能,在60、80、100 C的充放电倍率下,其放电容量保持率可达69%、63%和58%。该材料还表现出良好的循环稳定性能,在20 C的高充放电倍率下,循环5000圈后有将近90%的容量保持率。基于该材料和活性炭正极组装的锂离子电容器,能够表现出较好的电化学性能,在10 C的充放电倍率下循环2000圈后,还有95%的容量保持率。此外,该材料还继承了碳布的柔性,具备很好的机械柔性,可以用于组装柔性锂离子电容器。
关键词:锂离子电容器;负极材料;柔性;纳米阵列;铌氧氟化合物
Abstract
As an important electrochemical energy storage device, lithium-ion capacitor has great potential in energy storage and conversion. One electrode is made of capacitive material, which stores energy through the mechanism of double electric layer, and the other is made of battery material, which stores energy through the mechanism of oxidation-reduction reaction. Due to the different reaction mechanism between the two electrodes, the kinetic rates of the two electrodes do not match. Therefore, it is necessary to find a suitable cathode material which can match the kinetic rate of the electrode. In this paper, Nb3O7F/C nano array materials grown directly on carbon cloth were successfully treated by hydrothermal method and subsequent carbon coating. The morphology and microstructure of the materials were characterized by SEM, XRD and XPS, and the electrochemical properties were tested. The experimental results show that the material has excellent electrochemical performance, and its discharge capacity retention rate can reach 69%, 63% and 58% at 60, 80 and 100 C charge discharge ratio. The material also shows good cycle stability. At a high charge discharge ratio of 20 C, the capacity retention rate is nearly 90% after 5000 cycles. The lithium-ion capacitor based on the material and the active carbon anode can show good electrochemical performance. After 2000 cycles under the charge discharge ratio of 10 C, there is still 95% capacity retention rate. In addition, the material inherits the flexibility of carbon cloth and has good mechanical flexibility. It can be used to assemble flexible lithium-ion capacitors.
Keywords:Li-ion capacitor; anode material; flexibility; nano array; Nb3O7F compound
目 录
第1章 绪论 1
1.1 引言 1
1.2 锂离子电容器的介绍 1
1.2.1 锂离子电容器的起源 1
1.2.2 锂离子电容器的构造和工作原理 1
1.2.3 锂离子电容器相关电极材料介绍 2
1.3 过渡金属氧氟化物材料介绍 6
1.4 纳米阵列电极 7
1.5 本论文主要的研究目的、内容和特点 7
1.5.1 本论文的研究目的 7
1.5.2 本论文的研究内容 7
1.5.3 本论文的特点 7
第2章 Nb3O7F纳米片阵列电极材料的制备以及电化学性能研究 9
2.1 引言 9
2.2 实验部分 9
2.2.1 化学试剂 9
2.2.2 材料合成 9
2.2.3 材料表征 10
2.2.4 电化学测试 10
2.3 结果与讨论 10
2.3.1 物相与微观形貌分析 10
2.3.2 电化学性能测试 12
2.3.3 锂离子电容器性能 14
第3章 总结与展望 17
参考文献 18
致谢 21
第1章 绪论
1.1 引言
科技的快速发展所带来的资源短缺问题,以及近年来电动汽车的推广,使得人们发现现有的能量存储体系已经无法满足人们的需求。为了应对这些问题,对可再生资源和以及可靠的能源存储和转换装置的需求不断增长,发展清洁能源,寻找新的电化学储能器件也就成了众多研究者的关注热点[1-4]。
而近些年来,随着科技的发展,锂离子电池和超级电容器开始广泛应用于生活中各个方面。锂离子电池是一种应用广泛的二次电池,通过锂离子在正负极材料之间进行反复嵌入和脱嵌,发生可逆的法拉第氧化还原反应来实现能量的存储和释放,具有较高的能量密度。但实际应用过程中,锂离子电池的充放电速率会受到体系中离子和电子迁移速率的影响,导致锂离子电池的功率密度低于一般的储能器件。此外,锂离子在电极材料内反复的嵌入和脱出会导致材料结构发生改变,使得锂离子电池的安全性能下降,循环寿命降低[5, 6]。超级电容器作为电化学储能器件,通过锂离子在电极表面发生快速地吸附和脱附,形成双电层来实现能量的存储和释放,因此超级电容器可以进行快速地充放电,从而达到较高的功率密度。由于电极上发生的不是氧化还原反应,所以超级电容器的能量密度相对锂离子电池来说较低[7]。研究者们为了找到能够完美解决问题的方法,提出了一种新的概念——锂离子混合电容器。锂离子电容器综合了锂离子电池和超级电容器的优点,既具有较高的功率密度,又具有较高的能量密度,同时还具备较长的循环寿命[8]。
1.2 锂离子电容器的介绍
1.2.1 锂离子电容器的起源
早在1995年的时候,就有学者在报道上提出了混合型电容器的概念。随后,2001年,外国学者报道了一种新的,能量密度接近铅酸电池,同时其功率密度要远高于锂离子电池的混合型电容器[9]。这种电容器以活性炭为正极,钛酸锂为负极。这就是锂离子电容器的最早的起源。
1.2.2 锂离子电容器的构造和工作原理
锂离子电容器构造比较简单,其一侧电极采用电池型电极并通过氧化还原反应来储存和转化能量,另一侧采用电容型电极并通过双电层来储存能量[10]。作为锂离子电池和超级电容器的结合体,它同时具备两者的特点[11]:ⅰ)具有更大的容量和更高的能量密度。ⅱ)因其电容电极存在的快速吸附-解吸过程,从而具有更高的功率密度。ⅲ)和其他电容器相比,低自放电和较高的安全性以及更长的使用寿命。
锂离子电容器根据两侧电极使用材料的不同有以下几种比较典型的充放电机制[12]:
一种是正极为电容型材料,负极为电池型材料的锂离子电容器,其工作原理如图1-1a所示。充电时,电解液中的阴离子向正极移动,在正极材料表面发生吸附,产生双电层。而溶液中的阳离子则向电容器的负极移动,并在负极材料上发生嵌入反应。
另一种是正极为电池型材料,负极为电容器型材料的锂离子电容器,夏永姚老师等[13]在文献中报道的就是这种类型的电容器,其工作原理如图1-1b所示。充电时,正极材料中的锂离子脱出,进入到电解质溶液中。同时,电解质溶液中的锂离子向负极移动,在负极材料表面发生吸附反应。

图1-1 锂离子电容器的几种机制示意图[14]
1.2.3 锂离子电容器相关电极材料介绍
锂离子电容器由于其特殊性,其电极材料既包括了电容型材料,又包括了电池型材料。而这两种材料哪种做正极,哪种做负极,则取决于材料本身的特性以及对电容器的要求。
1.2.3.1 电容型活性材料
现有的锂离子电容器体系中,绝大多数的研究者都把多孔碳系材料作为电容型活性材料,主要是这类材料具有高比表面积和高孔隙率的特点,而且获取也比较容易,价格比较低廉。多孔碳系材料用作电容器的正极和负极都可以,使用起来比较灵活[15]。这一类材料具有比表面积大、孔隙率大、膨胀系数小以及易于实现工业化生产等优点,但比容量不是很高,使整个混合体系的能量密度都受到了限制。因此有不少研究者一直在寻找提高多孔碳系材料比容量的方法。目前比较公认的方法是扩大多孔碳系材料的比表面积或改善多孔碳系材料的孔洞结构。Kim等[16]报道了一种多孔碳纳米纤维材料,他们通过改变聚丙烯晴与二氧化硅纳米颗粒的比重来控制材料的孔特征,从而得到具有高能量存储的多孔碳纳米纤维材料。这种材料具有出色的比电容(在0.5 mA cm -2的电流下为13 mF cm -2)、良好的速率保持能力(98%的小电流电容保持率)和至少5000次充放电的循环稳定性,作为电极材料是不错的选择。Wu等[17]在他们的报道中,以聚丙烯酰胺凝胶的前驱体为原材料,通过冷冻干燥、碳化和KOH活化工艺处理后,成功地制备了氮掺杂的多孔碳材料。这种材料表现出卓越的性能,具有高效而稳定的导电网络。此外,这种材料还具有出色的比电容(在1 A g-1的电流下为302.1 F g-1)、良好的速率特性(78%的小电流电容保持率)和循环特性。为了进一步探究该材料的电化学性能,该课题组将该材料组装成电化学储能器件,并测试了电化学性能。实验结果表明,在功率密度为450 W kg-1的情况下,氮掺杂多孔碳的能量密度有23.27 Wh kg-1。
1.2.3.2 电池型材料
请支付后下载全文,论文总字数:23711字
相关图片展示:





您可能感兴趣的文章
- BN嵌入型四苯并五苯:一种工具高稳定性的并五苯衍生物外文翻译资料
- MoS2和石墨烯作为助催化剂在增强的可见光光催化H2生产活性的多臂CdS纳米棒的作用外文翻译资料
- 通过在BiVO4的不同晶面上进行双助剂的合理组装制备高效率的光催化剂外文翻译资料
- 非编码RNA的固相合成研究外文翻译资料
- 氢化驱动的导电Na2Ti3O7纳米阵列作为钠离子电池阳极外文翻译资料
- 高能量及功率密度的可充电锌-二氧化锰电池外文翻译资料
- 利用导电聚合物纳米线阵列来增强电化学性能外文翻译资料
- 自支撑Na2Ti3O7纳米阵列/石墨烯泡沫和石墨烯泡沫准固态钠离子电容器电极外文翻译资料
- 基于碳纳米管金纳米粒子辣根过氧化物酶构建的过氧化氢生物传感器毕业论文
- 新型联二吡啶Pt(II)炔配合物的设计、合成及光物理性质研究毕业论文


