石墨化氮和吡啶氮对氧还原反应催化性能的理论计算研究毕业论文
2020-07-11 17:58:44
摘 要
石墨烯氮掺杂及其催化活性是当前纳米科技领域的研究热点之一。本论文在密度泛函理论的基础上,从原子分子层面上研究了不同类型氮掺杂石墨烯的微观结构、电子结构、电荷分布、电子能态,并进一步研究了对于HER催化反应活性的影响。单一石墨型氮掺杂为n型掺杂,单一吡啶型氮掺杂为p型掺杂,二者的共掺杂使得氮掺杂石墨烯表现出不同于单一氮掺杂的独特电子结构、能带性质及其催化性能。通过二者的协同相互作用可进一步调控其对于H原子的吸附,提高对于HER催化反应的活性。本论文研究了石墨型氮和吡啶型氮共掺杂时二者之间的相互作用及对H原子吸附的影响,并通过电子结构分析、能带结构分析和分波态密度分析对于实验结果提供了一定的理论解释。
关键词:氮掺杂 石墨烯 吸附 密度泛函理论
First principles study of oxygen reduction reaction on graphite N-doped graphene and pyridine N-doped graphene
Abstract
N-doped graphene and its catalytic activity has emerged as one of the most active research fields in nanotechnology. Based on the density functional theory, this paper studied the microstructure, electronic structure, charge distribution and electron energy state of different types of N-doped graphene on the atomic and molecular level. Moreover, we also discussed the catalytic activity for hydrogen evolution reaction (HER). The single graphitic N-doped graphene belongs to n-type doping, and the single pyridine N-doped graphene belongs to p-type doping. The co-doping of the graphite N- and pyridine N- makes the N-doped graphene exhibit a unique electronic structure, band properties and catalytic properties which different from single nitrogen doping. Moreover, the H atom adsorption can be controlled to increase the activity for hydrogen evolution reaction (HER). In this paper, the interaction between graphite N- and pyridine N- and its effect on the adsorption of H atom were studied. Through the electronic structure, band structure and the partial density of states (PDOS), we can provide theoretical explanation for experimental results.
Keywords: N-doped; graphene; adsorption; density functional theory
目录
摘要 I
Abstract II
第一章 绪论 1
1.1 引言 1
1.2 氮掺杂石墨烯的电子性质 2
1.3 氮掺杂石墨烯的制备 3
1.3.1 直接制备法 3
1.3.2 后合成法 4
1.3.3 其他方法 4
1.4 本论文的研究背景及内容 4
第二章 第一性原理计算方法和理论基础 5
2.1 引言 5
2.2 Hohenberg-Kohn理论 5
2.3 Kohn-Sham方程 5
2.4 局域密度近似(LDA)和广义梯度近似(GGA) 6
2.5 VASP软件相关介绍 7
第三章 计算模型和方法 8
3.1 VASP计算参数设置 8
3.2 相关能量的计算方法 8
第四章 结果与讨论 9
4.1 结构参数 9
4.2 电荷分布 10
4.3 能带结构 11
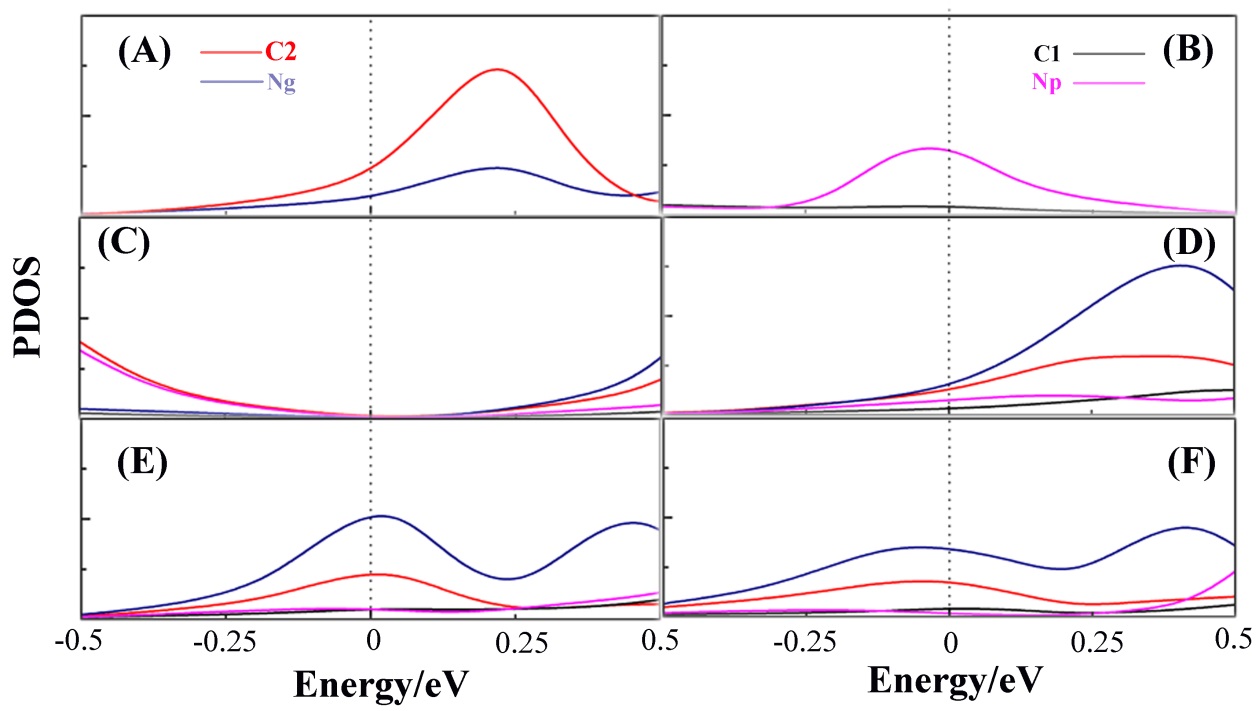
4.4 态密度分析 12
4.5 H原子的吸附 13
4.6 HER催化反应活性 14
第五章 结论与展望 16
5.1 结论 16
5.2 展望 16
参考文献 17
致谢 20
第一章 绪论
- 引言
2004年最先制备的石墨烯[1]是一种零带隙半导体[2],具有金属导电性,阻碍了其在电子领域的进一步应用。近来,为了拓宽石墨烯的应用范围,研究者们进行了一系列石墨烯改性的研究工作。
石墨烯的改性可以通过改变一维纳米带和零维量子点的形态来实现。前者由于改变其曲折边缘和宽度可以显示出半导体行为,而杂原子掺杂与复杂形貌修饰则更加简单有效。杂原子掺杂,具体来讲,就是将杂原子(例如N,B,S或P)掺杂进石墨烯碳晶格,进而达到有效调整原始石墨烯性质的作用。在各种杂原子掺杂中,氮掺杂被认为是最有成效的,究其原因是(1)由于N的高吸电子能力,掺杂N原子会在邻近的C原子上引入缺陷[3];(2)N原子与C原子尺寸相似,并且有五个可用的价电子与C原子形成强的价键[4];(3)N原子与石墨烯的C原子共价键合,结构更稳定。
氮掺杂可以有效地改变石墨烯的半导体性质、表面反应性、磁性、生物相容性、电子性质和能带结构等。据文献报道,石墨烯在氮掺杂后产生磁性是掺杂的N原子产生的磁矩所致[5]。石墨烯掺杂氮还可以与细胞表面蛋白进行非特异性结合,使其具有良好的细胞相容性和血液相容性。基于此,使得氮掺杂石墨烯在诸如氧还原反应(ORR),析氧反应(OER),析氢反应(HER)[6],各种电池的电极材料,超级电容器,燃料电池,染料敏化太阳能电池,传感器,生物测定,有机溶剂气体的吸附,场效应晶体管和场发射器等方面得到广泛应用。
在N原子掺杂改性后,NG可以作为贵金属,金属,氮化物、金属氧化物和聚合物等的衬底材料,并显著增强功能材料的内在性能。原因可能是因为氮原子掺杂使石墨烯展现n型半导体行为,同时可以为其他化学基团提供有利的结合位点[7]。
相关图片展示:







您可能感兴趣的文章
- BN嵌入型四苯并五苯:一种工具高稳定性的并五苯衍生物外文翻译资料
- MoS2和石墨烯作为助催化剂在增强的可见光光催化H2生产活性的多臂CdS纳米棒的作用外文翻译资料
- 通过在BiVO4的不同晶面上进行双助剂的合理组装制备高效率的光催化剂外文翻译资料
- 非编码RNA的固相合成研究外文翻译资料
- 氢化驱动的导电Na2Ti3O7纳米阵列作为钠离子电池阳极外文翻译资料
- 高能量及功率密度的可充电锌-二氧化锰电池外文翻译资料
- 利用导电聚合物纳米线阵列来增强电化学性能外文翻译资料
- 自支撑Na2Ti3O7纳米阵列/石墨烯泡沫和石墨烯泡沫准固态钠离子电容器电极外文翻译资料
- 基于碳纳米管金纳米粒子辣根过氧化物酶构建的过氧化氢生物传感器毕业论文
- 新型联二吡啶Pt(II)炔配合物的设计、合成及光物理性质研究毕业论文


