Schiff碱类氨基酸铜配合物的合成结构和性能研究毕业论文
2020-06-20 19:09:24
摘 要
席夫碱是科研届常见的配体,有着重要的应用,基本的制备方法是通过将醛、酮在高温下和氨基化合物进行有机缩合。氨基化合物包含了许多亚胺基团,这些部分中的N原子富含不能配对的电子,功能奇特,不仅在化学中有很多研究,在生物学方面也有很多研究,深受科研人员关注。席夫碱本身对于细菌有着很强的杀伤力,抗菌能力很强大,此外,它和金属组成的席夫碱-金属配合物也具备针对细菌的很强大的杀伤力,抗菌性能极好;同时,该类配合物在生物体内可以抵抗癌细胞,具有很强大的生物活性。另外,该类配合物的光学电学等方面的性能良好,能够在电磁学、催化剂方面得以应用,最近有非常多的科研人员对该类配合物进行了深入的研究。氨基酸中,人工β-氨基酸在制药工业,以及其衍生物,都扮演了重要的角色。通常,它们在于生物体内的存在状态有两种,游离态,或者与肽融合。与肽融合的β-氨基酸性质优越,抗生物活性、真菌活性和细胞毒素活性强。β-氨基酸也是β-内酰胺的重要官能团。β-内酰胺是一种广泛应用于世界的抗癌药。从药理学的角度分析,与肽融合的β-氨基酸可以促进生物活性稳定,加强代谢稳定,并且可以通过增加减少β-氨基酸的侧位官能团来控制。本课题以β-氨基酸为原料和水杨醛缩合形成的Schiff 碱为配体和过渡金属铜反应,制备新型配位化合物,并研究其结构和性能。
本论文主要分为以下几个部分:第一部分为背景介绍与文献综述。分别简单介绍了schiff碱,β-氨基酸,以及氨基酸类 Schiff 碱配合物的概况、合成的方法与基本原理。最后对课题设计的思路进行了阐述,介绍了本课题的研究方案。第二部分介绍了氨基酸类schiff碱配体的合成方法,以及氨基酸类schiff碱铜配合物制备。第三部分对合成所得的晶体进行了单晶结构的分析。主要有红外光谱(IR)和紫外可见光谱(UV-vis)。第四部分,我们总结、归纳了整个研究过程中,包括实验和调研过程,遇到了哪些问题,以及对应的解决方法。小结实验结果,并展望后续工作。
关键词: 氨基酸 schiff碱 铜配合物 晶体结构
Synthesis and Properties of Schiff Base Amino Acid Copper Complexes
Abstract
Schiff base is a class of important ligands, usually prepared by condensation of aldehydes, ketones and amino compounds. Imine group’s nitrogen atoms have lone pairs of electron, which has important research significance in chemistry and biology. Amino acids are constituent elements of proteins and are substances of important physiological activity. Amino acids’ structure possesses one amino group and one carboxyl group, and can introduce other reactive groups of different structures through the reaction. Amino acid Schiff base and its metal complexes have attracted wide attention because of their excellent antibacterial, anticancer biological activity and unique optical, electrical, magnetic and catalytic properties. Non-natural beta-amino acids and their derivatives are very important in the pharmaceutical industry, either in free state or in the state of fusion in the presence of peptides in humans, animals, plants and microorganisms. The latter compound, i.e., a peptide comprising a [beta] -amino acid, has antibiotic, antifungal or cytotoxic activity. Β-amino acids are also an important component of the widely used anti-cancer anti-cancer agent, β-lactam. The pharmacological inclusion of a beta-amino acid peptide has a beneficial effect on biological activity and metabolic stability, which can be modified by altering the substituents of the side chain of the [beta] -amino acid. In this paper, β-amino acid as raw material and salicylaldehyde condensation of Schiff base as ligand and transition metal copper reaction, the preparation of new coordination compounds, and its structure and performance.
This thesis is divided into the following parts:The first part is background introduction and literature review. The brief introduction of schiff base, β - amino acid, and amino acid Schiff base complexes, synthesis methods and basic principles. The research results of synthesis, structure, properties and application of amino acid Schiff base complexes in recent years are summarized. Finally, the idea of the design of the subject is expounded, and the research program of this subject is introduced.The second
part introduces the synthesis of amino acid Schiff base ligand, and the fabrication of amino acid through Schiff base copper complex.The third part of the synthesis of the crystal obtained a single crystal structure analysis. And its infrared spectroscopy, UV spectroscopy.The fourth part is a summary. Summed up the experiment encountered in the various problems and solutions to the problem. Summary of experimental results, and look forward to follow-up work.
Keywords:: Amino acid schiff base copper complex crystal structure
目 录
摘 要 I
Abstract II
第一章 前言 1
1.1Schiff碱的合成机理 1
1.2氨基酸与β-氨基酸 2
1.3氨基酸类schiff碱结构特点与作用 3
1.4氨基酸水杨醛schiff碱配合物的制备方法 3
1.4.1直接合成法 3
1.4.2模板合成法 3
1.5氨基酸 Schiff 碱金属配合物的应用 4
1.5.1用于测定金属离子 4
1.5.2抗炎、抗菌、抗癌制剂的研究 5
1.5.3对超氧离子自由基O2•的抑制作用 6
1.5.4氨基酸的拆分和合成 6
1.5.5应用于催化氧化反应 7
1.5.6作为O2、N2载体模型化合物的研究 7
1.5.7作为维生素B6酶反应的模型的研究 8
第二章 schiff类氨基酸配合物合成 9
2.1前言 9
2.2实验材料 9
2.2.1 原料与试剂 9
2.2.2实验仪器 9
2.3配合物制备(步骤) 10
2.3.1 β-苯丙氨酸合成 10
2.3.2 生成金属配合物晶体 10
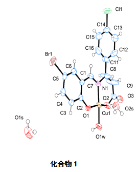
第三章schiff类氨基酸铜配合物结构分析和光谱 12
3.1单晶结构测定 12
3.2 X-射线粉末衍射(PXRD) 17
3.3 红外光谱 18
3.4紫外可见光谱 20
第四章 总结 21
4.1实验过程分析 21
4.2 展望 21
参考文献 22
致谢 24
第一章 前言
席夫碱是一种常见配体,结构中包含亚甲胺基。德国化学键Schiff首次在1864年发现,并以此得名[1]。席夫碱及衍生物在科研界,工业界,尤其是化工界,受到很大关注;工业界通常利用席夫碱做稳定剂,而科研人员则利用它当分析试剂,或者作为高活性催化剂。
1.1 Schiff碱的合成机理
相关图片展示:







您可能感兴趣的文章
- BN嵌入型四苯并五苯:一种工具高稳定性的并五苯衍生物外文翻译资料
- MoS2和石墨烯作为助催化剂在增强的可见光光催化H2生产活性的多臂CdS纳米棒的作用外文翻译资料
- 通过在BiVO4的不同晶面上进行双助剂的合理组装制备高效率的光催化剂外文翻译资料
- 非编码RNA的固相合成研究外文翻译资料
- 氢化驱动的导电Na2Ti3O7纳米阵列作为钠离子电池阳极外文翻译资料
- 高能量及功率密度的可充电锌-二氧化锰电池外文翻译资料
- 利用导电聚合物纳米线阵列来增强电化学性能外文翻译资料
- 自支撑Na2Ti3O7纳米阵列/石墨烯泡沫和石墨烯泡沫准固态钠离子电容器电极外文翻译资料
- 基于碳纳米管金纳米粒子辣根过氧化物酶构建的过氧化氢生物传感器毕业论文
- 新型联二吡啶Pt(II)炔配合物的设计、合成及光物理性质研究毕业论文


