一种快速高效的鱼肉制品基因组DNA提取方法的建立与验证毕业论文
2020-07-15 21:08:54
摘 要
基于DNA的分子生物学技术已经被广泛地用于水产品品种鉴定。获取高质量的DNA是保证准确鉴定水产品品种的前提。课题组前期研究已经成功建立了一种新的快速高效的提取鱼肉制品DNA的方法,在保证DNA提取质量的前提下,缩短提取时间,降低提取成本,同时避免有毒有害试剂的使用。本项目拟运用该方法从47份加工鱼肉制品中提取DNA,并对获得的DNA浓度和纯度进行分析。
通过结果可以看出,采用新建立的BP方法提取的DNA,其浓度,纯度与传统方法无显著差异。而且BP方法提取获得的DNA也可以满足后续普通PCR和荧光PCR的要求。
本方法的使用,可以在一定程度上提高实验效率和成功率,而且较为简单,应用范围广泛。
关键词:DNA提取,加工鱼肉制品,普通PCR,荧光PCR
Abstract
DNA molecular biology technology has been widely used for identification of aquatic products. Obtaining high-quality DNA is the prerequisite for accurate identification of aquatic product varieties. Previous research of the research group has successfully established a new rapid and efficient DNA extraction method for fish products. With the precondition of ensuring the quality of DNA extraction, the extraction time can be shortened, the extraction cost can be reduced, and the use of toxic and hazardous reagents can be avoided at the same time. This project intends to use this method to extract DNA from 47 processed fish products and analyze the quality and concentration of DNA obtained.
The results showed that there was no significant difference in the concentration and purity of DNA extracted using the newly established BP method. The DNA extracted by the BP method can meet the requirements of subsequent ordinary PCR and Real-Time PCR.
The use of this method can improve the experimental efficiency and success rate , and it is relatively simple and has a wide range of applications.
Key words: DNA extraction, processed fish products, general PCR, fluorescent PCR
目录
摘要 Ⅰ
Abstract Ⅱ
第一部分 文献综述 1
1.1我国渔业现状 1
1.2鱼类品种掺假 2
1.3辨别鱼种类的方法 4
1.4 DNA提取的方法 6
1.5 研究目的 6
第二部分 材料和方法 8
2.1 样品采集 8
2.2 主要仪器 8
2.3 主要试剂 9
2.4 实验方法 9
2.5 统计分析 11
第三部分 结果讨论 12
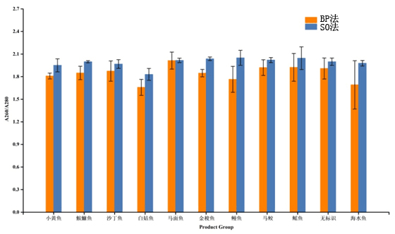
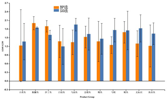
3.1 DNA浓度 12
3.2 DNA纯度 12
3.3普通PCR 14
3.4 荧光PCR 15
第四部分 结论与展望 16
4.1结论 16
4.1展望 16
参考文献 17
致谢 18
第一部分 文献综述
1.1我国渔业现状
我国是一个渔业资源十分丰富的国家,这可以归功于其广阔的海域面积适合鱼类的生存,据统计总面积达到了473万平方千米,渤海、黄海、东海和南海组成了四大海域。而且中国的海岸线长度在世界上也位居前列,海洋渔业资源占有很大的比重。我国海洋鱼类就有1.2万种,其中经济鱼类品种多样,有六七十种产量比较高而且在生活中也较为常见。
在我国的海洋渔业中,养殖渔业和捕捞渔业生产量在世界上也是屈指可数的,从海洋里进行捕捞开发资源是我国获取水产品的重要方式。从新中国成立发展到现在,我国海洋渔业经历了非常曲折的探索,得到了快速而科学的发展,如今的目标就是希望可以通过改善产业结构向着可持续的现代海洋渔业发展。
2015年,我国水产品的总产量达到了6901.25万吨,相比上年来说增长了3.01%。在水产品中,养殖的水产品产量达到了5142.39万吨,在总产量中占比达到74.51%;而捕捞的水产品产量则达到了1758.86万吨,在总产量中占比达到25.49%。不仅总量增长,水产品的人均占有量也在持续增加,达到了49.91千克,相比上年来说增加了1.17千克、增长了2.40%。
鱼类是我国水产动物的主要原料。根据《2016年渔业统计年鉴》可知,淡水养殖是我国鱼类原料的主要来源,养殖鱼类品种有草鱼、鲢鱼、鳙鱼、鲫鱼、鲤鱼、罗非鱼等。其产量占2015年中国水产品总产量的53.37%。另外,我国不仅仅是产量大,位居世界前列,而且鱼类品种繁多,常见的包括有海水养殖的鲈鱼、鲆鱼、大黄鱼和海洋捕捞时比较常见的鱼类例如带鱼、鳀鱼、鲐鱼、鲳鱼、鲅鱼、海鳗等[1]。
鱼类制品的营养非常丰富,其中富含许多不同的维生素(D、A和B)以及矿物质(包括钙、碘、锌、铁和硒)[2]。世界人均水产品消费水平已经从上世纪90年代的14.4千克和2013年的19.7千克,涨到了2015年的20千克。同样,中国的人均水产品消费也呈稳定增长的趋势,2013年达到约37.9千克(1993年为14.4千克),在1993-2013年间年平均增长率为5.0%[3]。
渔业是人类蛋白质的主要来源,在生活中也极为常见,可以说在蛋白源的供应上作出了巨大贡献。世界各国近年来渔业总产量发展迅猛,从渔获物利用情况
相关图片展示:







您可能感兴趣的文章
- 布里奇果油纳米乳液在等渗运动饮料中应用的可行性外文翻译资料
- 茶多酚类作为呋喃抑制剂在美拉德模型系统和罐装咖啡模型的形成外文翻译资料
- 实用型重组杂交贻贝生物粘合剂fp-151外文翻译资料
- COI条形码在我国市场常见鱼类品种鉴定中的应用毕业论文
- DNA条形码在我国市场常见虾蟹品种鉴定中的应用毕业论文
- 基于SYBR-Green-I荧光定量PCR技术鉴定我国常见虾蟹品种方法的建立毕业论文
- 微型COI条形码在我国市场常见虾蟹类品种鉴定中的应用毕业论文
- 水稻体内敌草隆液相检测方法建立及外源茉莉酸对其在水稻体内代谢的影响毕业论文
- 蛋白饮料经高压静电处理后蛋白质的变化毕业论文
- 核酸茎环结构用于电化学快速检测肠毒素毕业论文


