铜绿假单胞菌YM4产鼠李糖脂发酵条件优化毕业论文
2020-04-15 21:55:07
摘 要
鼠李糖脂是研究最为广泛的一种生物表面活性剂,具有无污染、无毒性、可降解等特点,其具有优良的表面活性和乳化性能,在微生物采油方面有着广阔的应用前景。目前,制约了鼠李糖脂大规模工业化应用的难点在于其发酵产量低,成本高以及发酵过程中泡沫处理等。本实验以高产鼠李糖脂的铜绿假单胞菌Pseudomonas aeruginosa YM4菌株为研究对象,在摇瓶发酵的基础上,通过单因素实验对影响YM4产脂的六个因素:大豆油、NaNO3、磷酸盐、微量元素、镁离子、接种量进行优化,确定了各单因素的最佳添加量分别为:50g/L、6g/L、50mM、2ml/L、0.2g/L、10ml/L,通过Plackett-Burman实验设计筛选出了影响YM4产脂的三个显著因素:NaNO3、镁离子和大豆油。最后通过响应面分析确定了最佳培养基组成,鼠李糖脂理论最大产量为26.2558g/L,实测产量为24.57g/L,较之前提高了1.28倍,底物转化率为65%。
关键词:生物表面活性剂;铜绿假单胞菌;鼠李糖脂; Plackett-Burman实验;响应面优化
Abstract
Rhamnolipid is the most widely studied biosurfactant with non-pollution, non-toxicity and biodegradability. Because of its excellent surface activity and emulsifying properties, it has broad application prospects in Microbial Enhanced Oil Recovery(MEOR). At present, the difficulty in restricting the large-scale industrial application of rhamnolipids is that it has low fermentation yield, high cost and foam treatment during fermentation. In this experiment, Pseudomonas aeruginosa YM4 strain with high yield of rhamnolipid was used as the research object. On the basis of shake flask fermentation, six factors affecting YM4 rhamnolipid production were optimized by single factor experiment: soybean oil, NaNO3, phosphate, trace elements, magnesium ions, inoculum and the optimal addition amount of each single factor was determined to be: 50g/L, 6g/L, 50mM, 2ml/L, 0.2g/L, 10ml/L. Three significant factors affecting YM4 rhamnolipid production were screened by Plackett-Burman experimental design: NaNO3, magnesium ions and soybean oil. Finally, the optimal medium composition was determined by response surface analysis. The maximum yield of rhamnolipid was 26.25558 g/L, and the measured yield was 24.57 g/L, which was 1.28 times higher than before. The substrate conversion rate was 65%.
Key Words: Biosurfactant; Pseudomonas aeruginosa; Rhamnolipid; Plackett-Burman experiment; Response surface optimization
目 录
摘 要 I
Abstract II
第一章 文献综述 1
1.1生物表面活性剂的概况 1
1.2鼠李糖脂概述 2
1.3鼠李糖脂发酵研究 3
1.3.1碳源对于发酵产鼠李糖脂的影响 4
1.3.2氮源对于发酵产鼠李糖脂的影响 5
1.3.3磷源对于发酵产鼠李糖脂的影响 5
1.3.4镁离子浓度对于发酵产鼠李糖脂的影响 5
1.3.5微量元素对于发酵产鼠李糖脂的影响 5
1.3.6 pH对于发酵产鼠李糖脂的影响 5
1.3.7接种量对于发酵产鼠李糖脂的影响 6
1.4鼠李糖脂的应用 6
1.5 本实验的研究意义及内容 7
第二章 材料与方法 8
2.1材料与仪器 8
2.1.1发酵菌株 8
2.1.2材料与试剂 8
2.1.3主要培养基 9
2.1.4主要仪器 9
2.2实验方法 9
2.2.1种子液活化方法 9
2.2.2摇瓶培养方法 9
2.2.3测定方法 10
2.4实验步骤 11
2.4.1碳源添加量对YM4菌株产鼠李糖脂的影响 11
2.4.2氮源添加量对YM4菌株产鼠李糖脂的影响 11
2.4.3磷源浓度对YM4菌株产鼠李糖脂的影响 11
2.4.4硫酸镁浓度对YM4菌株产鼠李糖脂的影响 12
2.4.5微量元素浓度对YM4菌株产鼠李糖脂的影响 12
2.4.6接种量对YM4菌株产鼠李糖脂的影响 13
2.4.7 PB实验设计 13
2.4.8最陡爬坡实验 13
2.4.9响应面优化设计 13
第三章 结果与分析 15
3.1碳源添加量对YM4菌株产鼠李糖脂的影响 15
3.2氮源添加量对YM4菌株产鼠李糖脂的影响 16
3.3磷源添加量对YM4菌株产鼠李糖脂的影响 16
3.4硫酸镁浓度对YM4菌株产鼠李糖脂的影响 17
3.5微量元素对YM4菌株产鼠李糖脂的影响 18
3.6接种量对YM4菌株产鼠李糖脂的影响 19
3.7 Plackett-Barman实验显著因素结果与分析 20
3.8 最陡爬坡实验 23
3.9 Box-Behnke优化 23
3.10 摇瓶发酵鼠李糖脂最佳产量的验证 27
第四章 结论和展望 28
4.1 结论 28
4.2 展望 28
参考文献 29
致谢 32
第一章 文献综述
1.1生物表面活性剂的概况
生物表面活性剂(Biosurfactant)是近几十年才受到广泛关注的一类性能优良的表面活性剂。主要将某些微生物或植物分泌出的具有表面活性的代谢物,称作生物表面活性剂[1]。生物表面活性剂在一些方面具有更大的优势,其主要来源于微生物和植物,具有可再生性,其来源更加广泛,还具有良好的环境相容性,低毒性,易于被生物降解,对于环境的影响小等特点。而在表活剂的性能方面,生物表面活性剂也同样具有增溶、乳化、润湿、发泡、分散、降低表面张力等的优异性能[2]。
根据生物表面活性剂的主要组成结构的不同,可以将其分为糖脂、蛋白脂、磷脂和脂肪酸、中性类脂衍生物等几类[3],产各类生物表面活性剂的微生物也不相同,如表1-1。

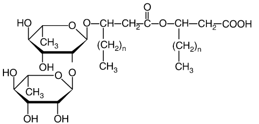
1.2鼠李糖脂概述
鼠李糖脂是一种主要由铜绿假单胞菌和伯克氏菌分泌的糖脂类阴离子表面活性剂[4]。铜绿假单胞菌是工业上应用最多最广泛的产鼠李糖脂的菌种。鼠李糖脂是目前为止研究时间最长的一种生物表面活性剂,对于鼠李糖脂研究报道最早于1949年开始,Jarvis和Johnson描述了鼠李糖脂的性质和主要的结构。
 
以上是毕业论文大纲或资料介绍,该课题完整毕业论文、开题报告、任务书、程序设计、图纸设计等资料请添加微信获取,微信号:bysjorg。
相关图片展示:








        
            
