活性氧化催化有机溶剂预处理玉米秸秆毕业论文
2020-07-02 22:54:09
摘 要
作为一个人口大国,我国需要大力发展农业生产,提高粮食自给率,随着农业规模的扩大,农业生产所产生的秸秆废物也逐年增多。从中国的实际国情出发,秸秆作为一种重要的可再生资源,不能作为废弃物进行处理,应该着手进行秸秆的再利用,以避免进一步影响环境,以及减少其他工业原材料的外贸依赖性。本文主要围绕玉米秸秆-国内产量最大的农业生产废物作为核心研究对象,主要研究如何破解玉米秸秆难以降解的屏障,并高效的分离其中的三大组分-纤维素、半纤维素以及木质素。主要的处理方式为利用氧催化有机溶剂对玉米秸秆进行预处理,此方法污染极低,对环境良好,通过化学的组分分析以及物理的结构表征研究预处理对玉米秸秆的影响,并依靠玉米秸秆的酶水解来分析预处理的实际效果。实验通过控制变量进行对照。
关键词:玉米秸秆 氧催化有机溶剂预处理 木质素 酶水解
Pretreatment of corn straw by oxygen catalyzed organic solvent
Abstract
As a country with a large population, our agriculture is very large. There is also a lot of waste from agricultural production. In China's current situation, straw cannot be disposed of only as waste. The use of straw should be started to avoid further impact on the environment. And reduce the foreign trade dependence of other industrial raw materials. So, This paper mainly studies corn stalk, The largest domestic production of agricultural waste, as the core research object. The main research is that how to break the barrier of corn stalk and efficiently separate the three components (cellulose, hemicellulose and lignin). The main treatment is that Corn straw was pretreated with active oxygen catalyzed organic solvent. This method is extremely polluted and Good for the environment. With Chemical composition analysis and Physical structure representation, find the effects of pretreatment on corn stalk were studied. The actual effect of pretreatment was analyzed by enzymatic hydrolysis of corn stalk. The experiment was controlled by control variables.
Key Words: Corn Stover; Oxygen Catalyzed Organic Solvent Pretreatment; lignin; Enzyme hydrolysis
目 录
摘 要 I
Abstract II
第一章 绪论 1
1.1 引言 1
1.2 木质纤维素的组成 2
1.2.1 纤维素 2
1.2.2 半纤维素 3
1.2.3 木质素 3
1.3 木质纤维素的利用难点——抗降解屏障 3
1.4 木质纤维素的多种预处理技术 3
1.4.1 物理法 4
1.4.2 化学法 5
1.4.3 物理化学法 6
1.4.4 生物法 7
1.5 论文的研究内容 7
第二章 氧催化有机溶剂预处理 8
2.1 引言 8
2.2 材料与方法 8
2.2.1 实验材料与实验试剂 8
2.2.2 实验仪器 9
2.2.3 氧催化有机溶剂预处理 10
2.2.4 物料的酶水解 11
2.2.5 分析测试方法 11
第三章 结果与讨论 13
3.1 预处理的各项影响因素 13
3.1.1 有机溶剂种类对预处理的影响 13
3.1.2 温度对预处理的影响 13
3.1.3 氧压对预处理的影响 14
3.2 预处理对酶解的影响 15
3.3表征分析 16
3.3.1 微观结构分析 16
3.3.2 木质素红外分析 17
3.3.3 木质素的二维核磁分析 18
3.4 物料的衡算 19
3.4 总结 21
第四章 结论与展望 14
4.1 结论 14
4.2 展望 14
参考文献 23
致 谢 26
第一章 绪论
1.1 引言
在21世纪,能源是支撑整个世界运转的核心,化石能源是能源开发利用的主体,其再生性低并且含量有限,随着世界能源需求的不断增加,能源短缺和环境污染问题越来越突出,这必须引起世界各国的重视。因此,找到一种绿色可再生资源来代替化石资源是一种必要的途径。目前世界各国都在努力研究各种各样的绿色再生资源,在近几年中,生物质资源逐渐成为主流的绿色再生资源。生物质资源是绿色光和植物将太阳发出的光子转化为稳定的化学物质,完成了人类的目标:光能转化为化学能。之后将生物质经由物理、化学或者生物的途径,可以转化为燃料或者化工原料。并且,生物质是可再生碳源,利用生物质代替化石资源可以有效地减少碳排放,维持生态系统的碳平衡[1]。

图1.1 碳循环示意图
生物质资源在地球上的储量巨大,每年绿色植物光合作用能产生2000亿吨生物质。在我国,可实际使用的生物质有9亿吨以上,多数为农业生产产生的废弃物,其主要价值在于细胞壁的组分-木质纤维素[2]。木质纤维素主要由纤维素、半纤维素和木质素组成,是一种结构紧密的天然大分子[3]。其中纤维素已广泛应用能源和化工领域,用于生产生物柴油和生物基化学品,而半纤维素和木质素应用度并不高,原因是两者的结构复杂并且不均一。本文的主要以全组分高效分离为目的,实现高值化。本章节将总结木质纤维素的组成和抗降解屏障,以及不同处理技术。
1.2 木质纤维素的组成
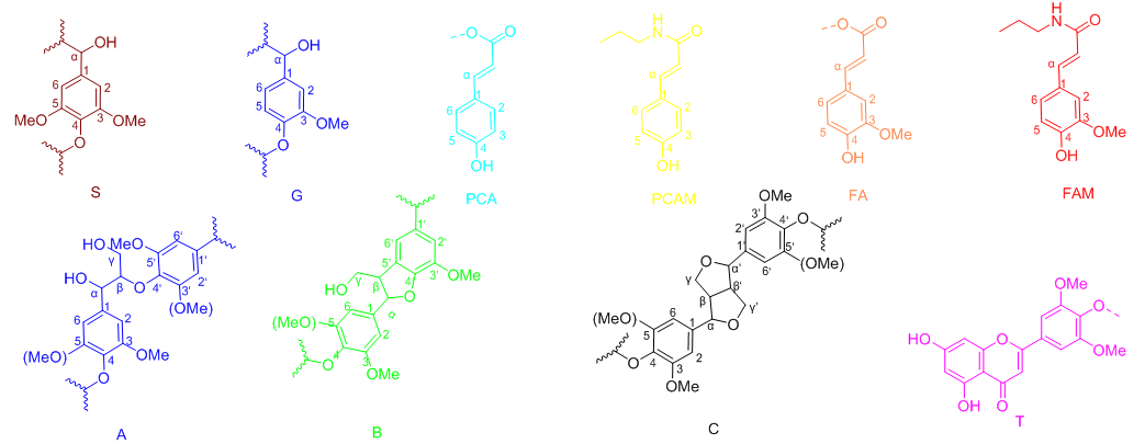
木质纤维素主要由纤维素、半纤维素和木质素组成,三者占总质量的80%以上是一种致密结构的高顽抗天然生物大分子。纤维素是葡萄糖的聚合大分子,葡萄糖以糖苷键链接形成线性大分子,并且分子内与分子间会形成氢键,会具有高结晶度。半纤维素主要由木糖或甘露糖构成,存在其他糖基聚合物与其聚合,成分不固定。木质素是苯丙烷基聚合成的大分子,有半纤维素存在时会与其形成化学键相连[4]。
1.2.1 纤维素
相关图片展示:







        
            
