有机硅改性水性聚氨酯的应用毕业论文
2020-05-15 21:57:08
摘 要
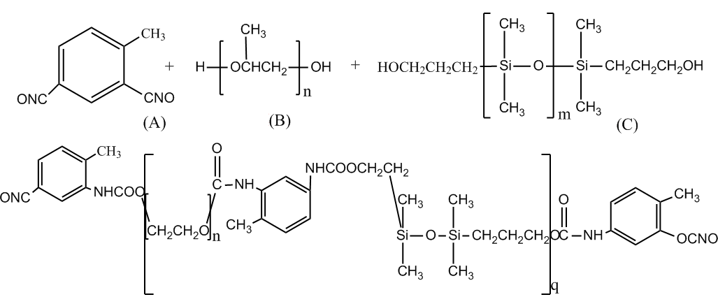
有机硅改性水性聚氨酯是一种优良的织物涂层剂,具有良好的稳定性、良好的耐低温性,研究开发水性聚氨酯的改性品种是目前促进聚氨酯工业发展的重要目标。本文从应用的角度出发,选用甲基苯二异氰酸酯(TDI)、聚醚二醇(PPG)、羟丙基硅油(PDS)为主要材料合成的有机硅改性水性聚氨酯,采用二进二轧的方法对纯棉织物进行了强力测试。实验成果显示,选用羟丙基三甲氧基硅烷制备的聚氨酯,端基含有可反应基团硅羟基(-SiOH),与棉纤维的羟基(-OH)反应,构成交联网络组织,可显著提高棉织物的强力性能和拒水性能。
关键词:有机硅水性聚氨酯 强力性能 拒水性能
The Application of Waterborne Polyurethane Modified by Organic silicone
Abstract
Organic silicone modified waterborne polyurethane is a kind of excellent fabric coating agent, has a good stability, good low temperature resistance, research and development of waterborne polyurethane modified varieties is the important goal to promote the development of polyurethane industry. In this paper, from the perspective of application, selection of methyl benzene diisocyanate (TDI), polyether diol (PPG), hydroxylpropyl silicone oil (PDS) as the main material of synthetic organic silicone modified waterborne polyurethane, adopt the method of binary no.2 rolling was carried out on pure cotton fabric strength testing. Experimental results show that using hydroxypropyl silane preparation of polyurethane top oxygen radicals, end group contain reactive groups silicon hydroxyl (Si-OH), hydroxyl (-OH) reaction with cotton fiber, constitute a crosslinked network organization, can significantly improve the strength properties of cotton fabrics and waterproof performance.
Key word: Organic silicon water-based polyurethane; Strong performance; Waterproof performance
目录
摘要 I
Abstract II
第一章 综 述 1
1、水性聚氨酯的简介 1
1.1WPU的性能特点 1
1.2WPU的应用 1
2有机硅简介 3
2.1有机硅的应用 3
3有机硅改性水性聚氨酯的应用 4
3.1用于织物涂层 4
3.2用于形状记忆材料和聚合物电解质 4
第二章:实验部分 5
1.实验目的 5
2实验一 5
2.1实验原理 5
2.2实验材料、试剂及仪器 5
2.3实验步骤 5
2.4实验结果: 6
3实验二: 6
3.1实验原理: 6
3.2实验材料及仪器: 6
3.3实验步骤 7
3.4实验结果: 7
4实验三: 8
4.1实验原理: 8
4.2实验试剂及仪器: 8
4.3实验步骤: 8
4.4实验结果: 8
5性能测试 9
5.1储存稳定性 9
5.2冻融稳定性 10
5.3强力性能测试 10
5.4拒水性能测试 15
5.5K/S值测试 19
第三章:结论与展望 20
1.结论 20
2.展望 20
参考文献: 20
致谢 23
第一章 综 述
与水性聚氨酯膜(WPU)相比,有机硅改性水性聚氨酯的保护膜在硬度下降很少的情况下耐水性提高了许多,并且力学性能也增大了许多。具有这些优异的性能,即和乳液可以应用于木器漆、木地板漆、建筑涂料等方面,还可以用作皮革涂饰剂、纺织品整理剂等。
1、水性聚氨酯的简介
WPU是一种用水作为分散介质的新型聚氨酯。
1.1 WPU的性能特点
WPU 主要以水为分散介质,一般不含有机溶剂。一些处理剂、粘胶剂以及涂料等工业中都可以用到水性聚氨酯,通过改变其配方和助剂可以制成各自相应的制品,相比于溶剂型聚氨酯具有很多优点,具体表现为:
(l) 环保、安全、价格相对低廉;
(2) 有些水性聚氨酯制品中不含有异氰酸酯基团,有些含有少许-COOH、-OH等基团,环保无毒。
(3) WPU粘度跟乳液颗粒的直径、离子电荷性质及数量等的主要因素有关;
(4) WPU胶粘剂发生交联的速度较慢,耐水性能和润湿性较差,尤其对对拒水性能材料的湿润性能较差,胶膜干燥后需要后期交联处理;
(5) WPU搭配其他水性树脂,性能可以得到改善,其成本可以降低;
(6) WPU产品在使用过程中无气味产生,且工艺简单易操作,残胶清理方便。
1.2 WPU的应用
水性聚氨酯应用领域很广,涉及到生活中的方方面面,列举主要领域如下:
1.2.1水性聚氨酯涂料
此种涂料装饰性能优良,可对被涂覆物起到保护作用,近几年来,有关水性聚氨酯涂料的应用发展迅速。单组分和双组分水性聚氨酯是水性聚氨酯涂料两种类型。在一些应用领域诸如、建筑涂料、木地板漆、木器漆及纸张涂层等方面都有涉及。
1.2.2水性聚氨酯胶粘剂
单/双组分水性聚氨酯分散液胶及水性乙烯基聚氨酯胶是构成树脂两大重要部分。因水性聚氨酯胶粘剂具有优良的粘接性能,胶膜的物理性能调节范围很大,可应用于诸如汽车、涂层、木料、软包装和制鞋等产业上。水性乙烯基聚氨酯胶粘剂是一种特殊的多异氰酸酯胶粘剂,可以通过乙烯基聚合物乳液分散疏水的或亲水改性。此种粘胶剂固化无甲醛释放,因其环保有点可以在木材加工过程中代替其他有甲醛释放的木材粘胶剂,可用于生产多类型板材等。
1.2.3皮革涂饰剂
相关图片展示:








        
            
