海带中褐藻多糖硫酸酯的提取工艺及应用性能研究毕业论文
2020-05-12 22:16:46
摘 要
褐藻多糖硫酸脂主要有以下医疗效果,降血脂、防止动脉僵化、预防肿瘤、抗氧化、抗凝血、抗血栓、抑菌、抗病毒等。特别是在治疗肾病综合征方面有极好的效果,是一种无毒的纯天然海洋药物,具有极大的应用价值。
褐藻多糖硫酸脂正逐渐地为人们接受和喜爱,它的多领域应用价值和潜在应用价值,值得我们深入探索。本课题以实验方式从海带中提取褐藻多糖硫酸脂,并进一步研究其相关应用价值。通过对浸泡干海带的液体进行pH调节、过滤、除杂、有机溶剂沉淀、干燥等过程,得到一定纯度的褐藻多糖硫酸脂。
关键词:褐藻多糖硫酸脂 提取 纯度 应用价值
Study on Extraction Technology of kelp fucoidan grease and application performance
Abstract
Fucoidan has the following main curative effects, lowering blood fat, preventing
arteries sclerosis, preventing tumor, oxidation resistance, anticoagulant, antithrombotic resistance,bacteriostat,antiviral and so on.In particular, it has a good effect in the treatment of Nephrotic syndrome.In a word,it is a kind of non-toxic natural marine drugs which is extremely useful.
Fucoidan is gradually accepted and loved by people,it is worthy of our deep study because of its application in many fields and potential application value.In this paper.Fucoidan will be extracted from seaweed in experimental way,and we can do further study to learn its related application values.Through pH regulation,filtering operation,removal of impurities, organic solvent precipitation,drying and so on, We can get a certain purity of fucoidan from liquid soaking dried seaweed.
Key Words: Fucoidan; Extraction; purity; application value
目 录
摘 要 I
ABSTRCT II
第一章 文献综述 1
1.1褐藻多糖 1
1.2褐藻多糖的生物活性 2
1.2.1抗肿瘤,抑制肿瘤血管生长 2
1.2.2降血脂,防止动脉硬化 3
1.2.3抗氧化、防衰老 3
1.2.4抗辐射 3
1.2.5抑菌、抗病毒 4
1.2.6对重金属及其他毒素的阻吸作用 4
1.2.7保护环境 4
1.3褐藻多糖硫酸脂的提取方法 4
1.3.1溶剂萃取法 5
1.3.2酶提取法 5
1.3.3酸提取法 5
1.3.4热水提取法 5
1.4褐藻多糖硫酸脂的提取途径及目的 6
1.4.1提取途径 6
1.4.2研究目的 6
第二章 实验部分 7
2.1实验仪器与材料 7
2.1.1实验仪器 7
2.1.2实验材料 7
2.2实验内容 8
2.2.1实验的物料准备 8
2.2.2褐藻多糖硫酸脂的提取 8
2.3测定及计算方法 10
2.3.1褐藻多糖硫酸脂的提取率 10
第三章 实验结果与讨论 11
3.1褐藻多糖硫酸脂的红外光谱鉴定 11
3.2浸泡温度对褐藻多糖硫酸脂提取率的影响 12
3.3浸泡时间对褐藻多糖硫酸脂提取率的影响 12
3.4乙醇含量对褐藻多糖硫酸脂提取率的影响 13
第四章 结论与展望 15
4.1结论 15
4.2展望 15
4.2.1讨论褐藻多糖硫酸脂的一些性能及研究进展 15
4.2.2海藻的前景 16
参考文献 17
致 谢 19
第一章 文献综述
褐藻多糖硫酸脂是褐藻的细胞间产物之一,其原料药物作为海洋植物海带中提取的二类药物,在医疗领域具有抗凝血、抑菌、降血压、抗HIV病毒等作用,在食品、保健品、日用卫生用品等领域也得到了广泛应用[1]。褐藻多糖硫酸脂具有原材料成本低,功效显著,来源容易的特点。近年来,越来越多的专家和学者对褐藻多糖的应用性能进行深入的研究,褐藻多糖硫酸脂也成为最广为人知的海洋产品之一。
1.1褐藻多糖
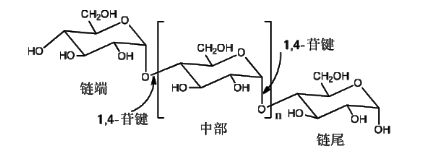
多糖是一种聚合体,由糖苷键聚合而成,其聚合度通常在10以上,其单体主要为单糖分子。不同的多糖由不同的单糖组成,其分子量Mr大多数处于105-107之间。

图1-1 一般多糖的结构式
海带,是一种生长于温带海水下的单子叶藻类植物[2]。作为一种不可缺少的海洋资源,我们所熟知的一是其可供食用的价值,甚至有些家庭如果长时间在饭桌上见不到海带做成的菜,反而会认为这是一种不正常的现象,由此可知,海带在某些地区有其极其重要的地位;其二,也是我认为最重要的价值--药用价值,海带因其富含的褐藻多糖硫酸脂具有诸多生物活性,能够调节生物体的免疫机制而被广泛应用于医疗领域。追本溯源,我们查找典籍,可以在《神农本草经》、《本草纲目》等古书中获得一些有关海带的记载,早期我们的祖先就有通过食用海带的方式治疗和预防某些疾病的先例。
20世纪六十年代中国研发的褐藻糖胶,那个时候新中国成立没多久,各种科学技术还没有达到领先水平,大多数属于半成品,该产品中硫酸基的含量较低、重金属的分离技术也有待改善,因此该产品并不被认可。值得欣慰的是,中国的新兴技术团队“昆布养生馆”研发的“褐藻糖胶”,由于其提取工艺得到改善,硫酸根的含量也有增加,获得了多家科研机构的认可。随着社会对褐藻糖胶科研力量的投入,一定还会不断发现它的新用途、新价值点,褐藻糖胶也一定会为人类带来回报,在这一领域展开新的篇章。
由于多糖的活性,使得海带中褐藻多糖硫酸脂在医疗领域有着重要的作用,在日常生活用品和化妆品、保健品等领域也扮演者不可替代的作用。褐藻胶是褐藻门类藻中提取的一种物质,其主要成分是几种糖醛酸相互交错、折叠、翻转所形成的高分子化合物[3]。以海带、马尾藻等藻类物质为原料,通过酸溶解、搅拌、加盐等过程,在适宜的pH条件下制得的钠盐产物是可溶于水、并且粘度高的高分子化合物在冷速冻食品中,由于其水合性、粘结性总体来说还是很强的,它可使水分难以聚集[4]。褐藻糖胶,看起来酷似糖胶,因此被称为褐藻“糖胶”,作为褐藻类植物中所特有的成分,在学术界被称为褐藻多糖硫酸脂,也是本课题的核心产物。随着社会发展和科技进步,人们发现褐藻糖胶分子链末端含有不少天然的硫酸基,褐藻糖胶表现出优良、明显的生理活性,或许正是由于天然硫酸基的存在。


