单溴丁氧基取代的柱[5]芳烃的合成毕业论文
2020-06-20 19:11:41
摘 要
柱芳烃是一类结构对称、由对苯二酚或对苯二酚醚通过亚甲基对位桥联的新型“柱”状大环低聚超分子主体化合物。本文主要介绍了柱芳烃的结构与构象,柱芳烃及其衍生物的主客体化学,阐述了它们在构筑超分子自组装体系、医药、生物、相转移催化方面的应用研究进展。随着研究的不断深入,柱芳烃及其衍生物将有望用于催化、生物模拟、石油化工等更广泛的领域。
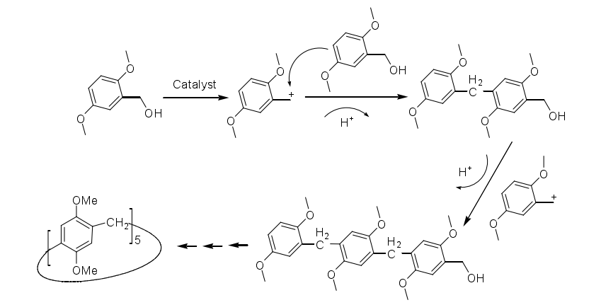
我们首先对柱芳烃的结构、合成方法、柱芳烃衍生物、柱芳烃的功能及应用等进行了总结。本文以对甲氧基苯酚为起始的反应物,在乙腈回流条件下和二溴丁烷反应得到第一步的产物4-甲氧基-1-溴丁氧基苯;接着1,4-二甲氧基苯和第一步的产物和多聚甲醛在氮气保护下,氯仿作溶剂,氯化铁为催化剂条件下反应得到粗产物,粗产物通过水洗,分离有机相,旋蒸,固体用二氯甲烷溶解,然后柱层析分离即可得到最终产物。然后经过核磁共振图谱分析确认其正确性。
关键词:柱芳烃;超分子;合成;组装;
Synthesis of monobromobutoxy Pillar [5] arene
Abstract
Pillararene is a kind of new “column” macrocyclic supramolecular polymer with symmetrical structure. It is formed by hydroquinone or hydroquinone ether para-bridged by methylene. In this paper,it is aimed to introduce the structure and conformation of pillararene, the host-guest properties of pillararene and their derivatives,to elaborate the application progress of pillararenes in the field of supramolecular self-assembly, medicine, biology and phase transfer catalytic aspects. Meanwhile, with the deepening of research, pillararene and their derivatives are expected to be used in the areas of catalysis, biologic simulation, and petrochemistry.
First, the structure, the methods of synthesis, functionalization, and application of pillararenes are summarized. In this paper, we used p-methoxyphenol as a starting material, under the refluxing condition acetonitrile as solvent reacted with 1,4-dibromobutane to give 4-methoxy-1-bromobutoxybenzene.Then reacted with 1,4-dimethoxybenzene and paraformaldehyde in nitrogen , chloroform as a solvent, ferric chloride as a catalyst to give the crude product, the crude product was washed with water, the organic phase was separated, rotary evaporated, the solid was dissolved in dichloromethane and then was separated by column chromatography to give the pure product. Then its structure was confirmed by 1HNMR.
Keywords: pillararenes; supramolecular; synthesis; assemble;
目录
摘要 I
Abstract II
第一章 文献综述 1
1.1引言 1
1.1.1冠醚 1
1.1.2 杯芳烃 2
1.2柱芳烃的特性 3
1.3柱芳烃的合成 5
1.4柱芳烃的衍生化 8
1.4.1柱芳烃的全衍生化 8
1.4.2 柱芳烃的部分衍生化 8
1.5柱芳烃的结构与构象 9
1.5.1柱芳烃的骨架结构 9
1.5.2柱芳烃的构象 9
1.6柱芳烃的应用 10
1.7本课题的研究内容和意义 14
第二章 实验部分 16
2.1实验材料与仪器 16
2.1.1 材料 16
2.2.2 仪器与设备 17
2.2 实验内容 17
2.2.1合成化合物a 18
2.2.2合成化合物b 18
第三章 实验结果与讨论 20
3.1 产物结构表征 20
表3-1 化合物的a-b 1H-NMR归属 20
3.2小结 21
第四章 结论与展望 22
4.1结论 22
4.2展望 22
参考文献 23
致谢 29
附图 30
第一章 文献综述
1.1引言
超分子化学起源于八十多年前的今天。在1937年,Wolf等率先提出了超分子这一个概念,它是一个高度组织的实体。然后在1967年,彼得森发现了冠醚,从而引发了一场研究超分子化学兴趣的热潮。而彼得森分别提出了主客体化学 [1]和超分子化学[2]的概念,从而最终使超分子化学变为一个独立的学科。认识到彼得森,莱恩和克拉姆在这个领域做的贡献比较突出,于是他们分享了1987年诺贝尔化学奖。后来,成为一个新的研究方向,迅速成为科学技术探讨的热门话题,并且该课题和许多研究领域都有交叉。
我们可以把它称为一种化学体系,此体系是利用一种比共价键还弱的一种分子间的作用,然后通过此作用力组装而成。超分子化学体系通常是高度有序的和紧密的连接,这种系统的作用也是受整体的影响而产生的,缺乏或更改任何成分,任何力都将致使整体作用效果而产生变化。在生物体中这种现象十分明显,例如DNA双螺旋结构,蛋白质的多级结构,酶的催化作用等。在生活的的应用当中,利用该体系探索出一系列新的分子装置与特定作用的材料,分子器件作为下一代电子器件近年来得到了迅速的发展,从某种意义上来说推动了农业,工业,信息产业,环境科学,医疗行业和能源科学及一系列领域的科学技术的飞跃进步。所以,超分子化学的重要性在于它和别的学科知识的密切相关,加大科研与实践的应用范围,持续推动着科技的提升与社会的繁荣。
在众多的研究方向中,主客体化学内容的研究是最重点的,但是重中之重的研究是主体分子。到目前为止,已经有无数的主体分子活跃在各类科研探究范畴当中,这些可以划分为冠醚,杯芳烃和环糊精这三种主要的范畴。以下这三种主体分子,以及一些受欢迎的主客体化学研究的对象进行了简要介绍。
相关图片展示:









