单溴乙氧基取代的柱[5]芳烃的合成毕业论文
2020-05-26 20:24:12
摘 要
近些年以来,主客体化学越来越普遍受到大众们的重视,在化学领域,它的必要性也在日益增加。它作为超分子化学的一个重要领域,化学家们正在全身心地投入到研究和开发新型超分子化合物中。柱芳烃类化合物独特的空间结构和化学结构,很多主体化合物的特点和优势它都具备。其化学构成与杯芳烃相类似,但因为它存在高度对称的结构,所以它能够识别特定结构的客体分子却不经过复杂的修饰,而且柱芳烃类化合物的制备和提纯都很便利。
本论文以对甲氧基苯酚和二溴乙烷为起始原料,合成出的1-(2-溴乙氧基)-4-甲氧基苯与对苯二甲醚通过1:16的投料比并加入多聚甲醛,将其在氮气保护下加入二氯甲烷中合成出单溴乙氧基取代的柱[5]芳烃,并对其进行了核磁共振表征确证。
关键词:柱芳烃;超分子化学;合成;
Synthesis of monobromoethoxy pillar [5] arene
Abstract
In recent years, the host-guest chemistry is more and more popular in the public attention, in the chemical field, and its necessity is also increasing. As an important area of supramolecular chemistry, and chemists are devoted to the research and development of new supramolecular compounds. Pillararenes compounds have unique chemical structure, many characteristics and advantages over other host, and preparation and purification of pillararenes compounds is very convenient. Its chemical structure is similar to calixarene, but has highly symmetric structure, so it is able to identify the specific guest molecules without modification.
In this paper, p-methoxyphenol and ethylene dibromide as a starting material, 1- (2-bromoethoxy) -4-methoxybenzene was synthesized, then mixture of 1- (2-bromoethoxy) -4-methoxybenzene and 1,4-methoxybenzene with 1:16 molar ratio reacting with paraformaldehyde under nitrogen condition, methylene chloride as solvent, gave 1:4 monobromoethoxy pillar[5]arene, and its structure was confirmed by 1HNMR.
Keywords: Supramolecular chemistry; pillararene; synthesis;
目录
摘要 II
Abstract III
第一章 文献综述 1
1.1 前言 1
1.2 柱芳烃的结构与构象 2
1.2.1 柱芳烃的结构 2
1.2.2 柱芳烃的构象异构 3
1.3 柱芳烃的合成 4
1.4 柱芳烃的分子识别 6
1.5 柱芳烃的药物控释 12
1.6 本课题研究内容及意义 13
第二章 实验部分 14
2.1 实验材料与仪器 14
2.1.1 材料 14
2.1.2 仪器与设备 14
2.2 实验内容 15
2.2.1 1-(2-溴乙氧基)-4-甲氧基苯的制备 15
2.2.2 单溴乙氧基取代的柱[5]芳烃的制备 16
第三章 实验结果与讨论 17
3.1产物重结晶所用的溶剂、熔点以及收率 17
3.2核磁共振谱谱图解析 17
3.3 小结 18
第四章 结论与展望 19
4.1 结论 19
4.2 展望 19
参考文献 20
致谢 22
附图 23
第一章 文献综述
1.1 前言
1987年,让全世界都认识了超分子化学是通过诺贝尔化学奖对佩德森,克拉姆和莱恩的表彰,由之前鲜为人知的科学实验,慢慢地被大众所认识[1]。近些年以来,主客体化学越来越普遍地受到大众们的重视,在化学领域中对它的需要也在日益增加。它作为超分子化学的一个重要范畴,化学家们正在全身心地投入到研究和合成新型超分子化合物中。像环糊精、葫芦脲和杯芳烃等一些以前的主体化合物已经在分子识别等领域开始被应用[2]。其中,有一些主体化合物被用来检测放射性重金属物质,比如由间位联苯酚形成的杯芳烃类的主体化合物化合物。但是,由于其异构体的结构和种类繁多,大多数是“杯”状或“篮”状,使得官能团在被杯芳烃的母体的构成修饰之前非常不容易地与客体分子形成比较稳定的包合物,使得它在主客体识别化学中的应用上受到了非常大的限制。[3]

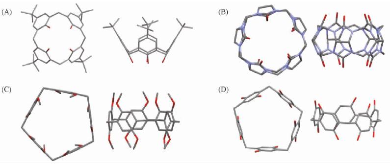
图 a 柱芳烃的结构
在2008年,奥苟斯和中本聪等人[4]发现了一种结构对称的柱芳烃,它是用对位桥联苯酚来形成的,而且它还是一种“柱”型的大环超分子主体化合物(图 a)。到目前为止,柱芳烃化合物主要是以五元和六元结构被合成出来的。在此,以五元为构造的柱芳烃化合物的空腔尺寸和α-环糊精(0.5 nm)差不多。柱芳烃特有的化学结构和空间结构,柱芳烃类似物拥有很多主体化合物的特点[4]。比如,它可以不经过复杂的修饰就能够识别出特定结构的客体分子,是因为它具有高度对称的结构并且其化学组成与杯芳烃类似物相类似;桥联苯环结构在其两侧有位点,并且非常容易就被修饰,比如羟基等,使它的化学修饰方法与环糊精相类似;它对客体分子的识别能力和葫芦脲差不多,并且制备和提存都非常方便。另外,柱芳烃具有的不同于其他烃类的溶解性质,使柱芳烃可以溶解在有机溶剂里并高效地进行主客体识别,有效地填补了已有主体分子比如葫芦脲等识别领域的研究。
1.2 柱芳烃的结构与构象
1.2.1 柱芳烃的结构
柱 [n] 芳烃作为研究中一类新型的主题分子,它是由对苯二甲酚或者苯二酚醚运用亚甲基桥在苯环的对位连接成的一类环状低聚物,它的构造与对位连接形成的环十分相似,是因为苄醇的线性五聚前体的端基制备合成的(合成路线见 图1.2.1)。利用这种相似的方法[5],可以制得环状六聚物是亚甲基对位连接的,但是从各项报告中报道出来的产率都不是很高,这是由于对位环番受到亚甲基桥键角张力的影响不能够稳定存在。

相关图片展示:









