含蒽的双季铵盐二阳离子化合物的合成毕业论文
2020-05-26 20:24:06
摘 要
Abstract II
第一章 文献综述 3
1.1 前言 3
1.2 双季铵盐的合成方法 3
1.3 双季铵盐化合物的应用 6
1.4 氰基还原成伯胺的方法 9
1.5 蒽化合物的作为荧光探针的应用 12
1.6 本课题研究内容及意义 14
第二章 实验部分 16
2.1 实验材料及仪器 16
2.2 实验原理 17
2.3 实验内容 18
第三章 实验结果与讨论 20
3.1 产物重结晶所用的溶剂以及收率 20
3.2 核磁共振图谱解析 20
第四章 结论与展望 21
4.1 结论 21
4.2 展望 21
参考文献 22
致谢 25
附图 26
含蒽环的双季铵盐二阳离子化合物的合成
摘要
双季铵盐类表面活性剂属于Gemini型表面活性剂。其特点为各有两个亲水基团和疏水基团,并且由联接基团紧密的联系在一起,使其具有更高的表面活性以及一些特殊的性质。由于其良好的加脂、去污以及助染性能,这种表面活性剂广泛应用于制革工艺和染整工艺当中。蒽环荧光染料具有发光强而且稳定的特点,而且它们容易产生激基缔合物荧光,这是其他荧光团所不能具有的。蒽环荧光染料在荧光探针的合成以及医学界都有着广泛的应用。双季铵盐与荧光基团连接组成客体分子,为与葫芦脲进行主客体组装打下基础。
本实验以对苯二腈为原料用NaBH4/NiCl2还原生产对苯二甲胺,然后用甲酸/乙酸甲基化,生成N,N,N’ ,N’ -四甲基对苯二甲胺,然后与6-溴己酸反应,生成单季铵盐(化合物3),最后与9-氯甲基蒽在乙腈中反应生成含蒽的双季铵盐二阳化离子化合物(化合物4),通过1HNMR确证了其结构。
关键字:表面活性剂;双季铵盐;荧光染料;合成
Synthesis of Bisquaternary Ammonium Containing Anthracene Unit
Abstract
Bisquaternary ammonium surfactant belongs to Gemini surfactant. It possesses the characteristics that this kind of surfactant has both two hydrophilic groups and hydrophobic groups, which are linked closely by linking groups. Hence this surfactant shows higher surface activity as well as some special properties. Due to its great performance in fat liquoring, decontamination and dyeing auxiliary, this kind of surfactants are widely used in leather making process and dyeing process. Fluorescent dyes containing anthracene possesses the characteristic which they have strong and stable fluorescence. They are liable to produce the fluorescence of the excited complex, which do not exist in other fluorescent groups. Bisquaternary ammonium and fluorescent groups are combined to form the guest molecule, which is the basis for the host/guest assembly with cucurbituril.
In this paper,the p-benzenedinitrile as raw material, reacted with NaBH4/NiCl2 to give p-benzenedimethylamine. N, N, N’, N’ -tetramethylp-benzenedimethylamine was obtained by methylation with formic acid/acetic acid. And then it reacts with 6-bromohexanoic acid to produce mono-quaternary(compound3). Finally, reacting with 9-chloromethyl anthracene give bisquaternary ammonium containing anthracene(compound4). And then confirms its structure by 1HNMR.
Key words: surfactant; bisquaternary ammonium; fluorescent dyes; synthesis;
第一章 文献综述
1.1 前言
双季铵盐是一种新型的表面活性剂,它是双子表面活性剂的一种。在化学工业当中作为催化剂有较多的应用。就本专业来看,由于双季铵盐具有良好的加脂、去污以及助染特性,它在制革和染整工业中都有着广泛的应用。
双季铵盐的研发始于上世纪70年代,1971年Bunton等人合成了一类新型的双亲分子[1],它的特点是具有各两个亲水基和疏水基,并且期间由一个连接基团紧密连接。当时他们用这种新型分子作为相转移催化剂使用,发现他的催化效率远高于一般的阳离子表面活性剂。双季铵盐的结构为:
               
图1.1 双季铵盐结构式
双季铵盐一般可用作N-烷基双季铵盐型阳离子表面活性剂[4],用作乳化剂、吸附剂。可用作沥青乳化、矿石浮选、纤维整理、金属加工助剂[5]。
1.2 双季铵盐的合成方法
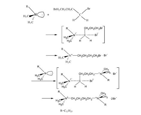
1.2.1 由N,N-二甲基十二烷基叔胺与1,4-二溴丁烷制得
N,N-二甲基十二烷基叔胺中的氮原子上有一对孤对电子,且其他的烷基都是推电子基团,所以N,N-二甲基十二烷基叔胺是一个较强的亲核试剂,如图:
               
相关图片展示:







        
            
