基于三对氨基苯氧基均三嗪前体的配位自组装研究毕业论文
2020-04-24 10:16:38
摘 要
超分子笼状配合物是由有机配体分子与金属离子相结合生成的,所生成的笼状配合物分子内部都具有一定的空间,可以与一些其他物质发生主客体行为,从而使得主体和客体的化学环境和性质发生一些改变,导致1H NMR核磁共振谱的位移变化。现如今,超分子笼状配合物在有机物前体的选择上逐渐偏向于高度对称的有机大分子结构,由此得到的笼状配合物具有分子内部空腔较大、对称性高易于表征的优点。
论文以对硝基苯酚为原料,与三聚氯氰反应,生成三对氨基苯氧基均三嗪(L前体),并且通过核磁共振分析前体结构。
利用过渡金属配位离子和吡啶-2-甲醛次级组分与L前体在不同的金属离子、不同配比、不同温度下进行次级组件自组装反应,最终发现当取50 mg (0.124 mmol) L前体、43mg(0.124 mmol)三氟甲磺酸锌、43 mg吡啶-2-甲醛(0.374 mmol)在20 mL乙腈溶液体系70℃反应12 h,可得到一种Zn4L4四面体型分子笼,通过核磁共振、质谱分析确定其结构。
为Zn4L4四面体分子笼主体选用不同客体分子进行主客体作用研究,并对于主体分子、客体分子和主客体作用体系进行1H NMR对比,发现四苯硼钠和主体的作用最为强烈。采用Job连续滴定法对于Zn4L4 四面体结构与四苯硼钠的作用模式进行定量分析,发现主客体之间1:2的结合化学计量比,推测客体四苯硼酸根阴离子通过构型匹配,作用于主体四面体相对的两条边的沟槽中,并通过C-H···π作用影响主体配合物中电子分布,造成主体1H NMR位移的明显变化。
关键词:主客体作用 超分子笼状配合物 自组装 三对氨基苯氧基均三嗪
The self-assembly reaction based on 4-6-tris(4-aminophenoxy)triazine
ABSTRACT
The supramolecular cage complexes can be formed by the combination of organic ligand molecules and metal ions, and the generated cage complexes have a certain space inside them, which can occur with some other substances, thus making some changes in the chemical environment and properties of the subject and the object, resulting in the shift of the 1H NMR spectrum. Nowadays, the supramolecular cage complexes tend to favour highly symmetrical organic macromolecular structures in the selection of organic precursors, and the resulting cage complexes have larger internal cavities,these cages all are highly symmetrical and are easier to detect.
In this paper, the 4,6-tris(4-aminophenoxy)triazine (L precursor) was formed by using p-nitrophenol as raw material and combined with cyanuric chloride, and the precursor structure was analyzed by NMR.
Using the transition metal coordination ions and pyridine -2-formaldehyde as secondary component with the L precursor in different metal ions, different ratios and different temperatures for the secondary component self-assembly reaction, and finally found that when taking 50mg (0.124mmol) L precursor, 43mg (0.124 mmol) Zinc trifluoromethanesulfonic acid, 43 mg pyridine -2-Formaldehyde (0.374 mmol) under 70 ℃ and react for 12h in 20 mL acetonitrile solution system, a Zn4L4 tetrahedron molecular cage can be obtained, and its structure is detected by NMR and mass spectrum analysis.
In order to study the host and guest reaction of the cage, different guest molecules was selected to combine with the Zn4L4 tetrahedron molecular cage, and comparing 1H NMR with the system of host molecule, guest molecule and the host and guest, it is found that the effect of sodium tetraphenylborate with the host molecular is the strongest. By using the Job titration method to quantitatively analyze the mode of reaction between Zn4L4 tetrahedron structure and sodium tetraphenylborate, the combined chemometery ratio of 1:2 between the host and guest is found, and it is speculated that the guest of tetraphenylborate anion is matched by configuration, which is fitted in the groove of two edges at the opposite site of the host tetrahedron, and through C-H···π to affect the electron distribution in the host compound, resulting in the obvious change of the 1H NMR shift.
KEYWORDS: host-guest interaction; supramolecular cage complex; self-assembly; 4,6-tris(4-aminophenoxy)triazine
目 录
摘要 I
ABSTRACT II
第一章 绪论 1
1.1 超分子化学 1
1.2 配位超分子化学 1
1.3 超分子金属笼状配合物 2
1.3.1 四面体型笼状配合物 2
1.3.2 立方体分子笼 5
1.3.3 三明治结构 6
1.3.4 螺旋体结构 7
1.4 超分子配位自组装的研究手段 8
1.4.1 单晶分析 9
1.4.2 核磁分析 10
1.4.3 质谱分析 11
1.5 本文主要研究内容 11
第二章 三对氨基苯氧基均三嗪的自组装反应 12
2.1 前言 12
2.2 实验部分 12
2.2.1 实验仪器与试剂 12
2.2.2 三对氨基苯氧基均三嗪的合成 13
2.2.3 三对氨基苯氧基均三嗪的自组装反应 16
2.3 实验结果与讨论 17
2.3.1 实验优化后配方确定 17
2.3.2 自组装产物的结构确定 18
第三章 Zn4L4四面体结构的主客体关系研究 20
3.1 Zn4L4 四面体结构与客体分子的主客作用 20
3.2 Zn4L4 四面体结构与四苯硼钠主客体关系的研究 21
3.3 结果与讨论 24
第四章 结论与展望 25
4.1 结论 25
4.2 展望 25
参考文献 27
附录 29
致谢 35
第一章 绪论
1.1 超分子化学
1987年诺贝尔奖得主,法国化学家J.M.Lehn提出了超分子化学的概念[1],即超分子化学是研究多个分子通过非共价键作用而形成功能体系的科学,这一新兴概念带领了化学学科进入了一个全新的领域,成为了化学史上的一个重大突破,也成为了科学家研究的热点[2-4]。经典的化学理论认为:分子间的化学键和其它相互作用固定了分子的空间结构,从而确定了分子的性质。然而随着化学研究的深入,一些经典理论无法解释的现象也逐渐出现在人们的视野中,如DNA合成的组合、光合作用、酶的催化反应、神经系统之间的信息传递等。同时冠醚化学的发展也使得人们充分认识了分子间作用力的协同作用,这一作用可以作为上述现象的解释,超分子化学的存在也得到了印证。现如今,超分子化学已经成为化学学科研究的前沿和热点,并且陆续应用到生命科学[5]和材料科学[6]等诸多领域,给这些学科的发展带来了新的突破口。
C. J. Pederson于1967年发表了一篇有关于冠醚合成以及选择性络合金属的报告,分子及分子聚集体的形态对分子的化学反应选择性起到的作用开始被人知晓,标志了超分子化学研究进入大环配体时代[7];D. J. Cram基于前人对于大环配体和络合化学的研究,提出了把冠醚作为主体,把与它形成配合物的金属离子或其他阳离子称为客体的主客体化学[8];J. M. Lehn所做的模拟蛋白质螺旋结构的自组装体的研究内容,首次超越了大环配体和主客体化学,提出了分子自组装的概念,并进一步系统提出了超分子化学的概念。超分子化学的研究大致经历了上述三个重要阶段,即大环配体、主客体化学以及分子自组装阶段。这3个阶段之间并非顺承发展关系,而是在研究的过程中相互渗透和关联的。
1.2 配位超分子化学
配位超分子化学作为一个全新的领域,其大致可以看作超分子化学和无机化学的结合,其研究的范围是基于包含配位键的分子间健相互作用的、含金属基元的自组装体系[9]。配位超分子化合物作为无机配合物和超分子化合物的结合体,具备了两种化合物的特点,其在具备了金属离子丰富的理化性质之上,兼备了有机化学中成熟多样的合成方法以及设计、裁剪和修饰手段,为超分子化学的合成技术提供可行的方案和无限的可能,在此基础上出现了大量设计精巧的配位自组装方案。配位超分子自组装将传统配位键共价键的定向、强度等优势,与氢键、π-π等非共价键的可逆、灵活、协同、动态等特征相互结合起来,对于现代合成化学的发展起到了极大的助力作用。
1.3 超分子金属笼状配合物
超分子金属笼状配合物(metal-supramolecular)是一类由金属离子和有机配体通过配位键结合而形成的一类超分子配合物。而根据Peter Stang[10]和Makoto Fujita[11]等人多年研究和发展所得的分子工程(molecular architecture)的概念所架构的超分子笼状配合物的特点是其分子的内部具有一定空间,可以与一些客体进行主客体配合,从而容纳特定的客体。大多数笼状配合物的合成均需要Fe2 ,Co2 ,Ni2 ,Zn2 ,Cu2 / Cu ,Pt2 等金属离子参与合成。这一类笼状配合物大致可以分为四面体、立方体、螺旋体、三明治型等等。该类反应的通式是利用金属离子的模板效应会使胺和醛(次级组分)发生自组装反应(该反应较为高校专一),此类反应的产物通常为亚胺配体(具有高对称性),从而构筑金属配位笼状配合物物的棱和面。在此过程中,对于不同次级组分的选用,可以影响生成的笼状配合物的性质,但大多都具有高对称性和显著的内部空腔。
1.3.1 四面体型笼状配合物
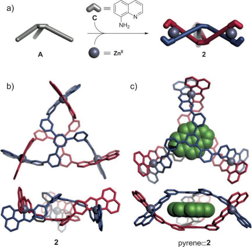
四面体笼状配合物是超分子笼状配合物中最为常见的一种配合物,通常可以选择直线型或者类三角型这一类具有叫高对称性的前体,通过与金属离子的自组装反应较为容易形成热力学性质相对稳定的四面体分子笼。而这些前体通常会作为形成的四面体分子笼的面或者棱从而得到面封四面体和边封四面体。来自于剑桥大学的Jonathan R. Nitschke团队[12]在这一领域有着较为前沿和系统的研究。他们报道了一系列C2对称性的前体或C3对称性的前体与金属离子进行自组装反应形成不同的四面体分子笼。
相关图片展示:








        
            
