表面活性离子液体[Etmim][OS]的合成及溶液性质研究毕业论文
2020-07-15 21:09:30
摘 要
本文首先综述了关于离子液体的合成、分类、结构与溶解性,然后进一步介绍了具有表面活性的离子液体概况与发展,主要包括表面活性离子液体的合成与应用。然后以1-甲基咪唑、氯乙酸乙酯、十二烷基磺酸钠等物质作为原料,合成具有表面活性的离子液体[Etmim] [C12H25SO3],采用核磁共振氢谱表征产物的结构。然后采用表面张力法测得25 ℃条件下[Etmim] [C12H25SO3]的临界胶束浓度为3.79m mol/L;并用电导率法研究了此表面活性剂离子液体溶液在25 ℃、30 ℃、35 ℃、40 ℃条件下电导率随浓度的变化,计算了胶束化过程中的热力学函数ΔGm0、ΔHm0、TΔSm0,结果表明胶束形成受温度影响非常微弱,胶束形成是自发过程,且胶束化主要是熵驱动的。本实验的研究结果将为该离子液体用于胶原蛋白溶解再生方向奠定理论与实践基础。
关键词:表面活性 离子液体 表面张力法 电导率法
Synthesis and characterization of [Etmim][C12H25SO3]
Abstract
This article first reviewed about the synthesis, classification, structure and solubility of ionic liquids, then further studied the general situation and development of surface active ionic liquids,including the synthesis and application of surface active ionic liquids. Based on the knowledge in the literature, we use 1-methylimidazole, 98% chloroacetate, sodium dodecyl sulfonate and other substances as raw materials to synthesize a surface active ionic liquid [Etmim] [C12H25SO3]. After the successful preparation of [Etmim][C12H25SO3], testing the NMR hydrogen spectrum to determine the structure and purity of the product. By using surface tension method, we know the critical micelle concentration of [Etmim] [C12H25SO3] is 3.79m mol/L at 25 ℃.The surfactants are studied by conductivity method of ionic liquid solution at 25 ℃ and 30 ℃, 35 ℃ and 40 ℃ under the condition of electric conductivity, along with the change of the concentration of micelle was calculated, the thermodynamic functions in the process of Δ Gm0, Δ Hm0, T Δ Sm0, results show that the micelle formation temperature influence is very weak, micelle formation is a spontaneous process, micellar mineralization mainly entropy driven.This experiment will lay a theoretical and practical foundation for the regeneration of collagen.
Key words: Surface activity; Ionic liquid; Surface tension method; Conductivity method
目 录
摘要………………………………………………………………….......Ⅰ
Abstract………………………………………………………………….Ⅱ
第一章 综述……………………………………………………………1
1.1 离子液体的研究情况………………………………………………………1
1.1.1 离子液体的概述……………………………………………………..1
1.1.2 离子液体的合成……………………………………………………..1
1.1.2.1 合成法…………………………………………………..1
1.1.2.2 复合法……………………………………………..….…1
1.1.2.3 复分解法…………………………………………..…….1
1.1.2.4 直接季铵化法……………………………………..….…1
1.1.3 离子液体的结构分类……………………………………………..…1
1.1.4 本论文研究思路………………………………………………..……2
1.1.5 离子液体的应用……………………………………………….……2
1.1.5.1 在天然高份子材料中的应用…………………...………2
1.1.5.2 在有机合成中的应用……………………………...……2
1.1.5.3 在催化中的应用………………………………………...2
1.1.5.4 其他………………………………………………...……2
1.1.6 离子液体的发展历史………………………………………………..3
1.2 离子液体的溶解性……………………………………………….…………3
1.2.1 离子液体溶解纤维素……………………………………………3
1.2.2 离子液体溶解角蛋白……………………………………………3
1.2.3 离子液体溶解蚕丝蛋白纺丝……………………………………3
1.3 表面活性离子离子液体的现状与发展……………….……………………3
1.3.1 表面活性…………………………………………………………3
1.3.2 表面活性离子离子液体的合成…………………………………3
1.3.2.1 疏水侧链在阳离子上的表面活性离子液体的合成…...3
1.3.2.1.1 含单核阳离子的表面活性离子液体的合成…………3
1.3.2.1.2 含双核阳离子的表面活性离子液体的合成…………3
1.3.2.2 疏水侧链在阴离子上的表面活性离子液体的合成……………...…3
1.3.3 表面活性离子液体的应用………………………………………4
1.3.3.1 在萃取分离中的应用…………………………...………4
1.3.3.2 在纳米材料制备中的应用……………...………………4
1.3.4 总结与展望………………………………………………………4
1.4 研究目标及预期效果…………….…………………………………………4
第二章实验部分…………….……………………………………….…...6
2.1药品和仪器…………………..………………………………………………6
2.2实验原理…………..…………………………………………………………6
2.3表面离子液体的合成……..…………………………………………………8
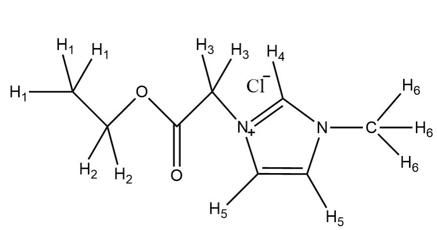
2.3.1[Etmim][Cl]的合成 …………….…………………………………8
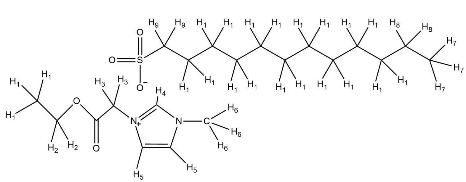
2.3.2[Etmim][C12H25SO3]的合成……….………………………...……8
2.4产物结构鉴定 ……………………………………………………….…….8
2.5表面张力法测定[Etmim][C12H25SO3]溶液的临界胶束浓度………...…….8 2.6电导率法测定[Etmim][C12H25SO3]溶液的临界胶束浓度…..….............…..9
第三章 实验结果与讨论………………........…………………..…...…10
3.1 产物[Etmim][C12H25SO3]的结构鉴定……………………………...……..10
3.2 [Etmim][C12H25SO3]溶液的表面张力测定…………………………......…12
3.3[ Etmim][C12H25SO3]溶液的电导率测定……………………………..……13
3.4合成条件的讨论分析……………………….................................……...…15
第四章 结论与展望……..……………………………………………………17
4.1结论…..…………………………………………………………………..…17
4.2展望…..…………………………………………………………………..…17
参考文献………………………………………………………….….….18
致谢……………………………………………………………………...20
相关图片展示:








        
            
