Pt-MOR分子筛催化剂用于甲苯歧化及烷基转移反应的研究毕业论文
2020-04-22 19:45:04
摘 要
随着国内外市场对PX需求量的提高,PX生产工艺得到人们的普遍关注。本论文在文献调研的基础上,开展了H-MOR和Pt-MOR分子筛催化剂用于甲苯与1,2,4-三甲苯歧化与烷基转移反应的研究。
本论文运用离子交换法和等体积浸渍法在H-MOR上负载Pt,并对两种负载方法进行比较,发现等体积浸渍法得到的Pt-MOR更具有优势,因此选用等体积浸渍法获得的Pt-MOR分子筛催化剂作为下一步考察的对象。本论文以H-MOR分子筛为催化剂考察了甲苯与1,2,4-三甲苯固定床反应条件,探索了质量空速、原料分压、反应温度等对反应结果的影响。结果显示,在反应温度为350℃,质量空速为3.0 h-1,原料分压为1.0 Kpa时,可获得最高的原料转化率及PX产率。在最优反应条件下,初步探究不同催化剂Pt负载量对固定床反应结果的影响,发现Pt-MOR催化剂快速失活,其中Pt负载量为400ppm的催化剂失活最快。基于XRD、NH3-TPD及TG等表征结果,本文对Pt-MOR催化剂快速失活原因进行分析,为下一步改进催化剂提供方向。
关键词:Pt-MOR分子筛催化剂 甲苯歧化与烷基转移反应 活性
ABSTRACT
Paraxylene (PX) is an important chemical raw material and a key raw material for the production of polyesters, plasticizers and engineering plastics. Based on the literature research, we used H-MOR and Pt-MOR zeolite catalysts for the disproportionation and transalkylation of toluene with 1,2,4-trimethylbenzene.
In this paper, Pt was loaded on H-MOR by ion exchange and incipient wetness impregnation, and the two methods were compared. It was found that Pt-MOR obtained by incipient wetness impregnation has more advantages. Therefore, the Pt-MOR zeolite catalyst obtained by the incipient wetness impregnation method was selected as the object of the next investigation. The reaction conditions of toluene and 1,2,4-trimethylbenzene were investigated by using self-made H-MOR zeolite catalyst. The effects of mass space velocity, feed partial pressure and reaction temperature on the reaction results were explored. The results show that the highest feed conversion rate and PX yield can be obtained when the reaction temperature is 350 °C, the mass space velocity is 3.0 h-1, and the partial pressure of the feed is 1.0 Kpa. Under the optimal condition, the influence of different catalyst Pt loading on the fixed bed reaction results was preliminarily investigated. It was found that the Pt-MOR zeolite catalyst was rapidly deactivated, and the catalyst with Pt loading of 400 ppm was the fastest. Based on the characterization results of XRD, NH3-TPD and TG, this paper analyzes the reasons for the rapid deactivation of Pt-MOR catalyst and provides direction for the next step of improving the catalyst.
Key words: Pt-MOR zeolite catalyst; Disproportionation and transalkylation of toluene; Activation
目录
摘要 I
ABSTRACT II
第一章 文献综述 1
1.1 研究背景 1
1.2 甲苯与三甲苯歧化及烷基转移反应 1
1.2.1 概述 1
1.2.2 反应机理 2
1.2.3 原料组成对反应的影响 3
1.2.4 反应条件对反应的影响 3
1.3 甲苯与三甲苯歧化与烷基转移反应催化剂 4
1.3.1 概述 4
1.3.2 催化剂孔道结构 5
1.3.3 催化剂酸类型和酸强度 5
1.3.4 催化剂改性 5
1.4 研究目的和内容 6
第二章 实验部分 7
2.1 化学试剂及实验仪器 7
2.1.1 化学试剂 7
2.1.2 实验仪器 7
2.2 H-MOR分子筛与Pt-MOR分子筛催化剂制备 8
2.2.1 H-MOR分子筛催化剂的制备 8
2.2.2 Pt-MOR分子筛催化剂的制备 8
2.3 催化剂表征 8
2.4 固定床反应测试 9
第三章 结果与讨论 10
3.1 催化剂表征 10
3.1.1 X射线衍射(XRD) 10
3.1.2 扫描电镜(SEM) 10
3.2 H-MOR分子筛催化剂反应性能的研究 11
3.2.1 反应温度的影响 11
3.2.2 质量空速的影响 12
3.2.3 原料分压的影响 13
3.3 Pt-MOR分子筛催化剂反应性能的研究 13
第四章 结论与展望 17
参考文献 18
致谢 21
第一章 文献综述
1.1 研究背景
对二甲苯(PX)是一种重要的化工原料,在纺织、纤维、塑料、农药、医药、合成树脂等领域都有着广泛的应用[1]。近年来,国内PX产不足需,2012~2017年PX表观消费量的年均增长率约为12.4%,相应产品自给率由2012年的54.2%降至2017年的39.6%[2]。今后几年,我国将新建或者扩建多套PX生产装置,预计到2025年,国内对PX的需求量为2650万吨,而同期国内对二甲苯的产量将提升到1550万吨[2]。
歧化和烷基转移反应能够将低价值的甲苯和三甲苯转化为附加值更高的二甲苯,具有重要的经济和社会效益。由于甲苯歧化和烷基转移反应中生成的对二甲苯(PX)、间二甲苯(MX)和邻二甲苯(OX)的沸点相近,所以难以利用传统的分离方法进行分离[3]。目前工业上常采用多级深冷结晶与模拟移动床吸附技术生产PX,但吸附分离技术常受到吸附剂容量的限制,结晶分离技术为了达到较高PX收率,需采用深冷、多级结晶过程,从而导致两种分离技术的设备投资、生产成本和能耗增加[4]。因此,选用合适的催化剂以期提高PX生产效率显得尤为重要。
1.2 甲苯与三甲苯歧化及烷基转移反应
1.2.1 概述
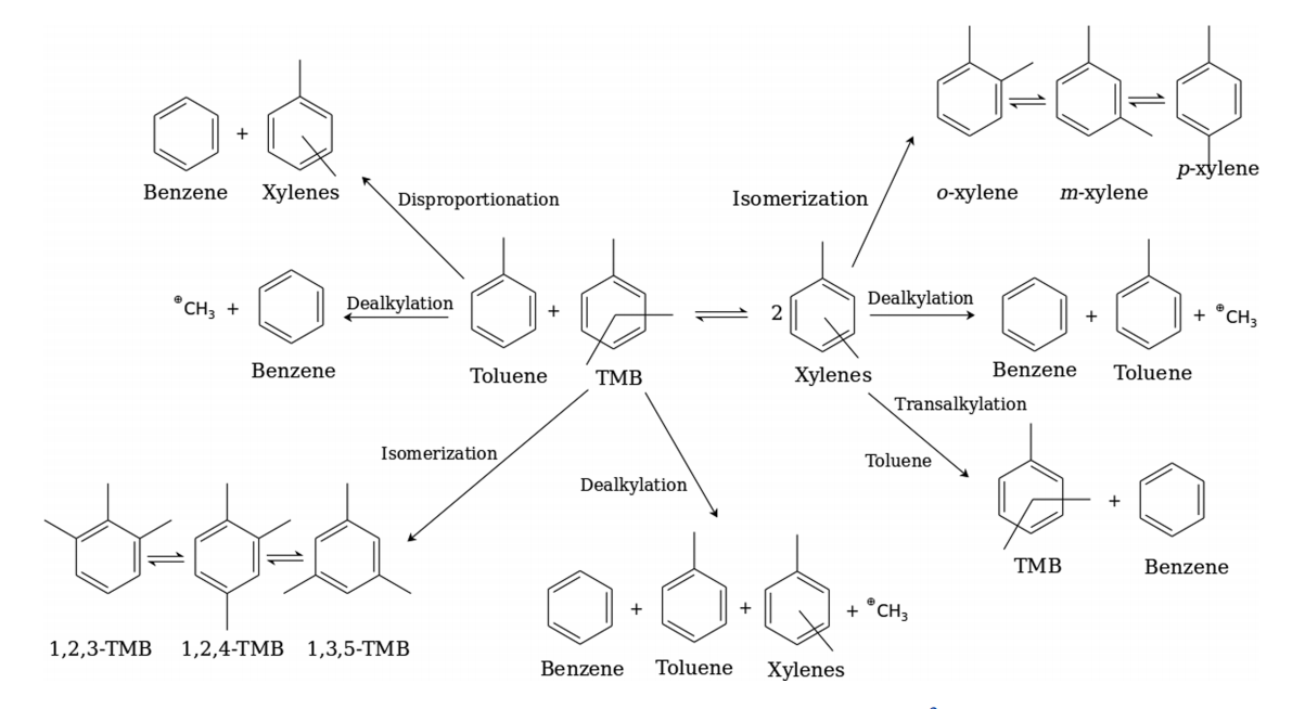
一般而言,芳烃歧化反应是烷基侧链在2个相同的烷基取代芳烃间转移,生成2个不同的芳烃分子[5]。与此类似,烷基转移反应是指1个烷基侧链在2个不同的芳烃分子之间迁移,生成2个新的芳烃分子[6]。图1-1为甲苯与三甲苯歧化与烷基转移反应示意图。

相关图片展示:







您可能感兴趣的文章
- 用于甲醇制烯烃反应的SAPO-34/ZSM-5复合催化剂的原位水热结晶合成外文翻译资料
- 硫化氢在活体的化学发光探针成像外文翻译资料
- 全色发射型ESIPT荧光团对某些酸及其共轭碱负离子识别的颜色变化外文翻译资料
- 一种用于成像神经元细胞和海马组织中NMDA受体附近内源性ONOO-的双光子荧光探针外文翻译资料
- 表面功能化的Ui0-66/pebax基超薄复合中控纤维气体分离膜外文翻译资料
- 金属有机框架中的可逆调节对本二酚/醌反应:固态固定化分子开关外文翻译资料
- 二维MXene薄片的尺寸相关物理和电化学性质外文翻译资料
- 将制甲烷的Co催化剂转化为产甲醇的In@Co催化剂外文翻译资料
- MXene分子筛膜用于高效气体分离外文翻译资料
- 模板导向合成具有排列通道和增强药物有效荷载的立方环糊精聚合物外文翻译资料


