年产50吨羧乙基壳聚糖的工艺设计毕业论文
2020-04-13 11:09:13
摘 要
壳聚糖是甲壳素脱乙酰基产物,是一种天然氨基多糖,因其独特的结构具有多种优良性质,在诸多领域得到了广泛应用。壳聚糖不能直接溶于水中,这在一定程度上限制了它的应用。制备水溶性壳聚糖的研究较多的方法有壳聚糖的酰化、烷基化、醚化、羟基化、醛亚胺基化、硫酸酯化、羧基化、季铵化等。本次设计采用壳聚糖羧乙基化的方法,进行水溶性改性。
本课题以壳聚糖和丙烯酸为原料,在水溶剂中利用迈克尔加成方法制备了羧乙基壳聚糖,丙烯酸和壳聚糖的投料比为4:1,反应温度控制在90℃,反应体系pH值维持在6左右,反应5h制得羧乙基壳聚糖。
该工艺无副产物生成,符合绿色化学的标准,但产品的取代度较小,溶解度不高,限制了其应用,经研究人员对反应条件进行改良,获得不错的效果,为工业生产羧乙基壳聚糖提供了实验依据。
本设计确定了以丙烯酸和壳聚糖为原料制备羧乙基壳聚糖的生产工艺流程,并制作了带控制点的工艺流程图,然后对生产过程进行物料衡算和热量衡算,并依据衡算数据对生产设备进行工艺设计,确定了反应釜、中和釜、洗涤釜等设备的工艺尺寸。最后按照车间的布置原则,确定了厂房布置、设备的布置,绘制车间布置图。本次设计旨在为工业化生产羧乙基壳聚糖提供参考。
关键词:羧乙基壳聚糖;物料衡算;设备选型
Abstract
Chitosan is a deacetylated product of chitin. It is a natural aminopolysaccharide. Because of its unique structure,it has many excellent properties and has been widely used in many fields. Chitosan can not be directly dissolved in water,which limits its application to a certain extent. The most popular methods for preparing water-soluble chitosan include chitosan acylation, alkylation,etherification,hydroxylation,aldimine synthesis,sulfation,carboxylation,and quaternization. This design adopted the method of carboxyethylation of chitosan for water-solubility modification.
In this project,chitosan and acrylic acid were used as raw materials. The carboxyethyl chitosan was prepared by Michael addition method in water solvent. The ratio of acrylic acid to chitosan was 4:1,and the reaction temperature was controlled at 90°C. The pH of the system was maintained at about 6,and carboxyethyl chitosan was prepared after 5 hours of reaction.
The process has no by-products and meets the standards of green chemistry. However,the degree of substitution of the product is relatively small and its solubility is not high,which limits its application. The researchers have improved the reaction conditions and obtained good results. Chitosan provides the experimental basis.
The design determines the production process of carboxyethyl chitosan using acrylic acid and chitosan as raw materials,and produces a process flow chart with control points. Then,the material balance and heat balance are calculated for the production process,and the process equipment is designed based on the balance data. The technological dimensions of the reactor,the neutralization kettle,and the washing kettle are determined. Finally,in accordance with the layout of the workshop,the layout of the plant,the layout of the equipment,and the drawing of the workshop layout were determined. This design aims to provide reference for the industrial production of carboxyethyl chitosan.
Key Words:Carboxyethyl chitosan; Material balance; Equipment selection
目录
摘要 I
Abstract II
第一章 绪论 1
1.1壳聚糖 1
1.1.1壳聚糖的来源 1
1.1.2壳聚糖结构和性质 1
1.2壳聚糖化学改性 2
1.3羧乙基壳聚糖国内外研究现状 4
1.4本课题的设计内容 5
第二章 生产工艺及流程 6
2.1生产工艺 6
2.2工艺流程图 6
第三章 物料衡算 7
3.1物料衡算的任务 7
3.2衡算的依据 7
3.3物料衡算过程 8
3.3.1反应工序 8
3.3.2中和工序 9
3.3.3洗涤工序 10
3.3.4离心工序 10
3.3.5烘干包装工序 10
第四章 热量衡算 12
4.1衡算任务 12
4.2衡算依据 12
4.3衡算过程 12
4.3.1升温过程 12
4.3.2反应过程 12
4.3.3冷却过程 12
4.3.4蒸汽和冷却水用量 13
第五章 主要设备的选型和计算 14
5.1设备的选型原则 14
5.1.1反应釜的选型原则 14
5.1.2搅拌器的选型原则 14
5.1.3辅助设备选型原则 14
5.2反应釜的选型和计算 14
5.2.1釜体及传热装置 14
5.2.2搅拌装置 20
5.2.3釜的传动装置 21
5.3中和釜的选型和计算 24
5.3.1釜体 24
5.3.2搅拌装置 26
5.3.3釜的传动装置 27
5.4洗涤釜的选型和计算 28
5.4.1釜体 28
5.4.3釜的传动装置 32
5.5原料计量槽 33
5.5.1丙烯酸计量槽 33
5.5.2氢氧化钠计量槽 34
5.5.3壳聚糖计量槽 34
5.5.4碳酸氢钠计量槽 34
5.5.5乙醇计量槽 34
5.6离心机 34
第六章 其他设备的选型 35
6.1反应釜的附属设备 35
6.1.1筒体法兰 35
6.1.2人孔 35
6.1.3设备接口 35
6.1.4视镜 36
6.2辅助设备 36
6.2.1物料输送泵 36
第七章 车间布置 37
7.1车间布置设计依据 37
7.1.1应该遵守的设计规范和规定 37
7.1.2基础资料 37
7.2车间布置设计原则 37
7.3车间布置设计内容 38
7.3.1车间整体布置 38
7.3.2车间设备布置 38
第八章 三废处理 39
8.1设计采用标准 39
8.2三废处理 39
结论 41
致谢 42
参考文献 43
附录 45
第一章 绪论
1.1壳聚糖
1.1.1壳聚糖的来源
壳聚糖(chitosan,CS)又名“壳多糖”、“脱乙酰甲壳素”是甲壳素经浓碱处理脱去糖基上的N-乙酰基的可溶性甲壳素,是甲壳素最重要的衍生物。甲壳素与壳聚糖的区别主要在于N-脱乙酰度的多少,一般而言,N-脱乙酰度在50%下的,都被称之为甲壳素,反之N-脱乙酰度在50%以上的都被称之为壳聚糖[1]。
而甲壳素,又名“甲壳质”、“几丁质”,其广泛存在于自然界的昆虫类、甲壳类和软体类动物的骨骼,以及某些藻类、菌类的细胞壁中,是地球上蕴藏量最丰富的有机物之一,每年生物合成的甲壳素达100×108吨之多。作为是地球上存在数量仅次于纤维素的第二大天然有机化合物,同时亦是除蛋白质外数量最多的含氮类天然有机化合物,是地球上取之不尽、用之不竭的可再生天然资源[2]。虽然甲壳素来源广泛,储量丰富,但目前工业上主要靠水产加工废弃的虾壳和蟹壳来生产甲壳素,每年全球生产的甲壳素最多不过万吨而已。
1.1.2壳聚糖结构和性质
1.1.2.1结构
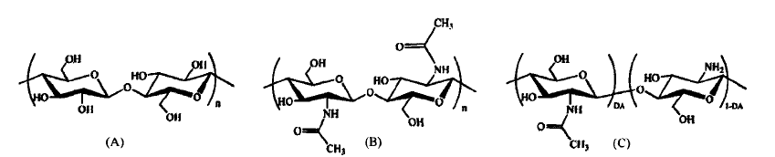
甲壳素,其化学名称是(1,4)-2-乙酰氨基-2-脱氧-β-D-葡萄糖,是由N-乙酰氨基葡糖糖以β-1,4-糖苷键缩合而成的线性生物高分子,其结构式见图1.1。
壳聚糖是甲壳素脱乙酰基后的产物,由甲壳素结构式中糖基上的N-乙酰基大部分脱除而得,其化学名称为(1,4)-2-氨基-2-脱氧-β-D-葡萄糖,其结构式见图1.1。
若将甲壳素、壳聚糖和纤维素的分子结构式进行比较可以看出,三者的结构非常相似。C2位连接的基团若为-OH则为纤维素,若为-NHCOCH3则为甲壳素,若为-NH2则为壳聚糖。由此可推断,甲壳素、壳聚糖和纤维素具有许多类似的性质和用途。
您可能感兴趣的文章
- 用于甲醇制烯烃反应的SAPO-34/ZSM-5复合催化剂的原位水热结晶合成外文翻译资料
 - 硫化氢在活体的化学发光探针成像外文翻译资料
 - 全色发射型ESIPT荧光团对某些酸及其共轭碱负离子识别的颜色变化外文翻译资料
 - 一种用于成像神经元细胞和海马组织中NMDA受体附近内源性ONOO-的双光子荧光探针外文翻译资料
 - 表面功能化的Ui0-66/pebax基超薄复合中控纤维气体分离膜外文翻译资料
 - 金属有机框架中的可逆调节对本二酚/醌反应:固态固定化分子开关外文翻译资料
 - 二维MXene薄片的尺寸相关物理和电化学性质外文翻译资料
 - 将制甲烷的Co催化剂转化为产甲醇的In@Co催化剂外文翻译资料
 - MXene分子筛膜用于高效气体分离外文翻译资料
 - 模板导向合成具有排列通道和增强药物有效荷载的立方环糊精聚合物外文翻译资料
 

        
            
