羧甲基壳聚糖接枝大豆蛋白肽的制备及性能研究毕业论文
2020-03-22 14:04:08
摘 要
壳聚糖(CS)是一种碱性多糖,有很好的生物相容性。但由于pH为中性、弱碱性且水溶性效果较差,在实际应用中带来许多不便。故近年来对CS不断地进行改性,其中羧甲基壳聚糖(CMC)是目前研究最为广泛的一种CS衍生物。它不仅有较强的抑菌性、抗氧化性,还具有良好的生物相容性、可生物降解性等。通过木瓜蛋白酶将大豆蛋白质水解为大豆蛋白肽(SPs),可用作伤口敷料,能起到促进细胞黏附和增殖的作用。同时酶法水解大豆蛋白时水解效率高,反应条件温和。本文主要通过微生物转谷氨酰胺酶(MTGase)的催化作用,将大豆蛋白肽(SPs)接枝到所制备的CMC中。多肽的引入进一步改善了原材料的抗氧化、吸湿保湿、抗凝血和促进细胞增殖等性能,这些性能的提升有望使所制备的衍生物更适用于伤口敷料以促进伤口愈合。
本文研究如下:利用MTGase的催化作用,通过单因素实验方法,改变反应时间、反应温度和SPs与CMC的质量比,成功制备了CMC-SPs,并得出最佳的反应条件:反应温度为40℃,反应时间为4h,mSPs/mCMC为2.0。对所得产物进行一系列表征与实验检测,检测表明所得CMC成功接枝SPs,并且得到的CMC-SPs具有良好的吸湿保湿性和抗氧化性。
关键字:羧甲基壳聚糖,大豆蛋白肽,吸湿保湿性,抗氧化性
Abstract
Chitosan (CS) is a basic polysaccharide with good biocompatibility. However, due to the neutral pH, weak alkalinity and poor water-solubility, it brings many inconveniences in practical applications. Therefore, CS has been continuously modified in recent years. Carboxymethyl chitosan (CMC) is currently the most widely studied CS derivative. It not only has strong antibacterial and antioxidant properties, but also has good biocompatibility and biodegradability. Papain hydrolyzes soy protein into soybean protein peptides (SPs) and can be used as a wound dressing to promote cell adhesion and proliferation. At the same time, the enzymatic hydrolysis of soybean protein has high hydrolysis efficiency and mild reaction conditions. In this paper, soybean protein peptides (SPs) were grafted onto the prepared CMC mainly through the catalytic action of microbial transglutaminase (MTGase). The introduction of polypeptides further improves the properties of the raw materials such as anti-oxidation, moisture absorption and moisturization, anti-coagulation, and promotion of cell proliferation. The improvement of these properties is expected to make the prepared derivatives more suitable for wound dressings to promote wound healing.
This article studies the following: Using the catalytic effect of MTGase, through the single factor experiment method, changing the reaction time, reaction temperature and mass ratio of SPs to CMC, successfully prepared CMC-SPs, and obtained the best reaction conditions: the reaction temperature is 40 °C, the reaction time was 4 h, and mSPs/mCMC was 2.0. A series of characterizations and experimental tests were performed on the obtained products. The results showed that the obtained CMCs successfully grafted SPs, and the obtained CMC-SPs had good moisture absorption and moisture resistance and oxidation resistance.
Key words: carboxymethyl chitosan; soy protein peptide; moisture absorption; moisture resistance; oxidation resistance
目录
摘要 I
Abstract II
第1章 绪论 1
1.1引言 1
1.2 医用敷料简介 1
1.2.1 医用敷料的发展 1
1.2.2 医用敷料种类 2
1.2.3 敷料前景与展望 2
1.3 壳聚糖的概述 3
1.3.1壳聚糖简述 3
1.3.2壳聚糖的衍生物 3
1.3.3壳聚糖的应用 4
1.3.4羧甲基壳聚糖 4
1.4 大豆蛋白肽的概述 5
1.4.1 大豆蛋白来源 5
1.4.2 大豆蛋白种类及应用 5
1.4.3 大豆蛋白改性 6
1.5课题选题依据及研究内容 7
第2章 实验及表征 8
2.1 主要实验试剂及仪器 8
2.2羧甲基壳聚糖的制备 8
2.2.3 转谷氨酰胺酶的纯化 9
2.2.4 大豆蛋白肽的制备 9
2.2.5 CMC-SPs的制备 9
2. 3 CMC-SFP的结构表征 10
2.3.1 CMC-SPs的红外表征 10
2.3.2 CMC-SPs的核磁氢谱表征 10
2.3.3 CMC-SPs取代度的测定 11
2.4 CMC-SPs吸湿保湿性测定 11
2.4.1 CMC-SPs吸湿性测定 11
2.4.2 CMC-SPs保湿性测定 11
2.5 CMC-SPs抗氧化能力的测定 12
2.5.1 CMC-SPs对·OH自由基清除能力的测定 12
2.5.2 CMC-SPs对DPPH自由基清除能力的测定 12
第3章 结果与讨论 13
3.1 CMC-SPs的结构表征 13
3.1.1 CMC-SPs的红外傅里叶红外图谱表征 13
3.1.2 CMC-SPs的1H NMR表征 14
3.2 CMC-SPs的合成条件优化 14
3.2.1 反应温度对CMC-SPs取代度的影响 14
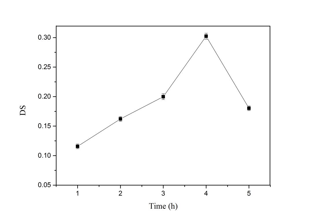
3.2.2 反应时间对CMC-SPs取代度的影响 15
3.2.3 SPs与CMC的质量比对取代度的影响 17
3.3 CMC-SPs的吸湿保湿性 17
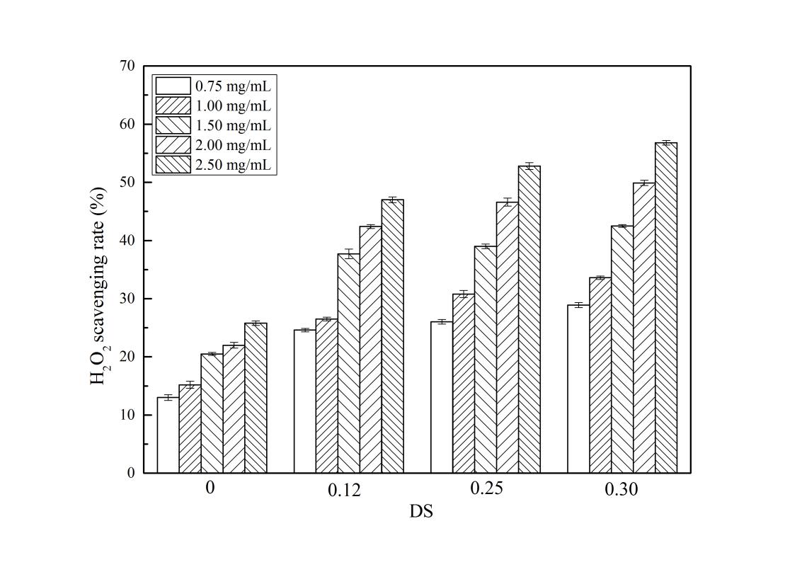
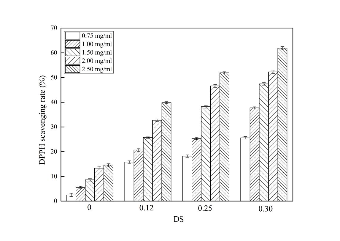
3.4 CMC-SPs的抗氧化能力 18
3.4.1 CMC-SPs对·OH自由基的清除能力 19
3.4.2 CMC-SPs对DHHP清除能力的研究 20
第4章 结论与展望 21
致谢 22
参考文献 23
第1章 绪论
1.1引言
医用敷料对于人的安全保障具有非常重要的意义,人类历史上大约4500年前就开始有关简单医用敷料描述,其主要目的模拟人体皮肤,在人体创面与外界条件之间提供一层保护层,起到隔绝外界细菌、病毒感染等作用[1]。
在生物体免疫系统中,皮肤作为机体的第一层免疫防护对机体稳态的稳定、阻止微生物的入侵起着非常重要的意义。其次,皮肤对于人体稳态调节,调控体表温度、保持人体内酶正常活性、传递外界刺激信号具有重要意义,与其他组织黏膜等组成了生物体的第一道免疫系统。当人体皮肤因为外伤或者手术等受创后,方便快捷、安全的敷料保护处理显得十分必要[2]。
随着敷料的不断升级,由最开始的植物纤维、动物皮毛、蜂蜜甚至蛛网等,逐渐发展到今天种类齐全、功能各样的医用敷料格局。其中,在近代使用最为广泛、影响最为深远的是传统的纱布类敷料,在传统医学中,为了促进伤口愈合,通常使用纱布类敷料。纱布类敷料其优点是成本低廉、制造方法简便、可达到初步隔绝外界环境及创面的效果。
但传统敷料也存在显著不足,如敷料大多数植物纤维为主要原料,生物相容性较差粘连性较差,易脱落,影响愈合,换药时不方便,容易造成机体二次损伤,给患者带来痛苦。
随着人们对于医用敷料功能要求越来越高,人们开始寻找新型伤口敷料,许多学者表面,湿润环境能促进伤口愈合,在“湿润密闭疗法”提出后,许多水溶性高分子就成为制备新型敷料的原料,羧甲基壳聚糖以其优良的生物相容性与保湿性能成为了研究热点之一。羧甲基壳聚糖在医用敷料应用领域有研究价值,并且由于其生物相容性与凝血性能、抗微生物、可生物降解和无毒等特性,在医用敷料应该领域被广泛研究。
1.2 医用敷料简介
1.2.1 医用敷料的发展
医用敷料作为一种在人体受创时,暂时替代受损皮肤,起到保护人体损伤部分组织的作用。在90年代以前,敷料是用于处理或保护伤口的纱布、棉布、垫等制品的总称。随着时间的发展,人们对敷料提出了新的要求,如保持湿润环境、保持皮肤呼吸控制伤口渗出物、隔绝细菌、无毒无害无刺激以及促进皮肤生长、组织再生等。随着材料科学以及医用敷料的发展,目前市面上医用敷料的种类迅速增长,也越来越接近理想敷料的要求。
1.2.2 医用敷料种类
医用敷料,按照采用的材料大致可分为天然敷料,如纤维素及其衍生物、改性纤维敷料、甲壳素/壳聚糖及其衍生物等,其中的材料主要来自于自然界,普遍有较好的降解性,同时也是最先被人们应用的敷料材料。合成高分子材料敷料,如聚氨酯、聚乙烯等,这类敷料在市面上占有较大比重,由于合成高分子材料功能全面,同时随着工业技术发展,合成材料的价格日益降低。无机材料和复合材料敷料,如石墨烯等,主要是由于其具有较好的吸湿能力同时透气性能优良,但目前还处于应用研究阶段,未能在市场上投放。
目前主要应用最广泛的是天然材料敷料,如纤维素及其衍生物,其由棉纤维经过脱脂加工而成的棉纱敷料,成本低廉、适合大部分人群,因此,目前仍广泛使用着敷料[3]。在人类历史发展上,纱布类敷料曾今有着举足轻重的地位,曾挽救了无数生灵。配合酒精等消毒用具,可起到消毒灭菌的效果,基本满足人们对于敷料无菌、保护创面的要求。
最符合理想敷料特性的敷料是吸水保湿、生物相容性能具佳的甲壳素/壳聚糖敷料,其具有良好的生物相容性,同时包含大量的氨基和羟基,具有良好的生物相容性,能起到消炎、溶胀吸湿、保湿的效果,是非常理想的医用敷料原料,也能满足目前人们日益增高的医用敷料要求。
1.2.3 敷料前景与展望
随着敷料材料的发展,以及人们对于敷料要求的提高,出现了薄膜型敷料、泡沫型敷料、水凝胶敷料等[4],同时也有许多复合材料敷料,目前市面上的主要产品大多以复合材料敷料为主,如银敷料、纳米银敷料,其主要是利用银的高效抗菌性,防止细菌、真菌对创口的感染、避免二次伤害,对人体有较好的保护作用。
目前,随着人们对于敷料功能要求的不断增加,敷料的作用已不仅仅是保护创面,同时应具备促进伤口愈合、创造一个无菌安全的环境、促进组织肉芽生长、生物相容效果好、不会对患者带来二次伤害等。
壳聚糖及其衍生物所制备的敷料材料非常接近理想敷料的要求[5]。羧甲基壳聚糖的分子结构中含有大量的-OH和-NH2活性基团,通过壳聚糖的改性,羧甲基壳聚糖在水溶性方面大大优于壳聚糖本身,同时还继承了壳聚糖优良的生物相容性与可降解性能。体外实验表明,在生理条件下,羧甲基壳聚糖膜具有良好的吸水保湿性能,同时具有较好的透气性,是一种性能优良的理想敷料材料,在新型敷料领域具有深远的应用前景[6]。
1.3 壳聚糖的概述
1.3.1壳聚糖简述
壳聚糖(chitosan,CS)是甲壳素经过脱乙酰工序之后的产物,又名几丁聚糖、脱乙酰甲壳素等。
壳聚糖由低等动物虾、蟹的外壳加工制备得到,是自然界唯一存在的碱性多糖,具有高等动物组织胶原中的功能,有良好的生物相容性以及生物活性。此外,壳聚糖还有抗菌性、生物可降解性等优良性能。但是,壳聚糖在pH为中性、弱碱性的水溶性效果较差,在实际应用中带来许多不便。因此近年来,壳聚糖及壳聚糖衍生物的发展研究受到广泛关注[7]。Srivastava等[8]人制备的壳聚糖-丝素蛋白复合膜材料,具有优良的透气保湿性能,同时也具有抗菌、帮助组织再生等功能,表面壳聚糖材料在医用敷料方面有良好的应用前景。
1.3.2壳聚糖的衍生物
壳聚糖分子上含有大量活性基团,如壳聚糖分子结构在其分子链中氨基葡萄糖上的伯、仲羟基上含有大量活性基团(-OH、-NH2),其次还有氨基等基团有较强的生物活性,容易通过功能修饰或者改性的方法来实现完善其性能的要求等。壳聚糖的衍生物主要有烷基壳聚糖衍生物、氨基壳聚糖衍生物、季铵盐型壳聚糖衍生物、羧甲基壳聚糖衍生物、壳聚糖的酯衍生物等[9]。通过对壳聚糖的结构改造,壳聚糖的衍生物针对于不同的应用面向范围,调节各个分子因素,提高了壳聚糖的抗菌性、水溶性、生物活性等。
其中羧甲基壳聚糖衍生物是将壳聚糖羧甲基化之后的结果,大大提高了壳聚糖的水溶性。其他类型的壳聚糖改性也主要是以提高壳聚糖的水溶性为主,进而探究改性后壳聚糖衍生物的其他特性。其中,羧甲基活化之后所得到的羧甲基壳聚糖由于其优良的抗菌、相容性以及保湿性能,在药物载体等方面有良好的应用前景[10]。
1.3.3壳聚糖的应用
壳聚糖原料在自然界中含量丰富,其是从虾、螃蟹、软体动物、昆虫、真菌等生物中提取原料,经过脱乙酰后得到的一种天然多糖物质。在自然界中较其他的高分子材料可以说是含量高、来源广。壳聚糖及其衍生物应用范围广泛,在生物医药、环保行业、纺织工业、日用化妆品制造业等方面都有应用。特别是在生物医药方面,壳聚糖及其衍生物作为医用敷料、海绵等已经在生物医用材料领域中有了广泛的应用。其次,由于其良好的生物相容性以及抗菌等特性,壳聚糖及其衍生物还被应用于手术用缝合线的制作、人体组织、培养基抗菌基底等。
1.3.4羧甲基壳聚糖
羧甲基壳聚糖(CMCS)是目前生产生活中应用最多壳聚糖衍生物中的一种,羧甲基基团的引入不仅大大提高了壳聚糖的水溶性,同时也为壳聚糖的交联、反应提供了更多的可能,在诸多领域得到了应用。羧甲基壳聚糖还具备壳聚糖本身具有的优良性质,如吸湿保湿能力以及抗氧化能力等。其次,壳聚糖经过羧甲基化改性,由于分子中带有氨基,羧甲基壳聚糖依然具备良好的抗菌能力,并且对受创或患病的组织和细胞提供附着,促进组织生长进而促进伤口愈合。

图1-1 羧甲基壳聚糖结构式
在CS的众多衍生物中,羧甲基壳聚糖(CMC)较为容易得到,在温和的环境下即可制备,并且产率较高,同时其具有高亲水性以及具有许多潜在应用价值而被广泛研究。在CMC的细胞培养研究表明,其中具有羟基与氨基,该类敷料在促进组织再生方面具有优良的性能,同时可有效抑制疤痕细胞的生长,促使创口愈合。因此,CMC等在医用敷料方面被众多学者广泛研究。
1.4 大豆蛋白肽的概述
1.4.1 大豆蛋白来源
大豆蛋白是一种重要的油籽豆类蛋白,由于其优异的功能性质,生理活性,高营养价值和低成本,被广泛应用于食品工业。在我国,大豆有较大的种植面积和丰富的资源。
大豆蛋白含有丰富的蛋白质,含量约占大豆总量的38%以上,蛋白质含量远超谷类作物,是天然植物中蛋白质含量最高的作物,在营养价值上,大豆蛋白中含有8中人体必需的氨基酸,可以为人体的生命活动提供保障,所以是最具营养的植物蛋白质。但大豆蛋白的发展受到一定制约,大豆蛋白的产品成分有效利用率不高,同时大豆蛋白的性质不能满足目前人们的需求,因此对于大豆蛋白的改性研究变得尤其有意义。
1.4.2 大豆蛋白种类及应用
大豆可加工成各种各样制品,诸如大豆蛋白、大豆类制品、膳食纤维、奶制品、大豆蛋白高分子材料等,其中以大豆蛋白对于人们的生产生活最重要[11]。
大豆蛋白主要分为大豆分离蛋白和大豆组织蛋白。其中大豆分离蛋白是一种植物性蛋白,具有易于加工、生物可降解并且可被人体吸收等特点。特别是在人体医疗用途上,大豆分离蛋白具有可促进组织再生、帮助止血凝血、促进组织生长促进伤口愈合等功能。大豆蛋白的另一种是大豆组织蛋白,主要利用大豆低温变性的原理,通过浸提与沉淀的方法,去除大豆中的非营养物质,并且大豆组织蛋白质含量较好,一般含量在50%以上。由于大豆蛋白的双基团特性,使其在用于较好吸水性能的同时也有亲油的特点,是理想的肉制品添加物。
大豆浓缩蛋白也是大豆蛋白的一种重要组成部分,大豆浓缩蛋白是以脱脂大豆粕为原料,在制备的过程中,除去低分子可溶性非蛋白成分,制得蛋白含量在70 % ( 以干基计)以上的高度浓缩蛋白制品,其主要成分是蛋白质和细胞壁多糖。但目前,最主要的醇法生产大豆浓缩蛋白技术有一定缺陷,大豆蛋白变性剧烈,导致其功能性较差,且投入较大,产生废水对环境造成污染,因此大豆浓缩蛋白发展较为缓慢。
大豆蛋白应用非常广泛,目前,大豆蛋白在面制品、乳制品、水产品、肉制品等方面都有广泛应用[12]。如焙烤食品中加入大豆蛋白粉,可使面包营养增加,延缓面包变质、增长保鲜期等;如在汉堡类食品、香肠类食品中,添加大豆蛋白及其类蛋白肽,可以在提高产品蛋白质含量的同时,也可降低动物脂肪及胆固醇含量;同时由于大豆蛋白类含有丰富的氨基酸等物质,对人体组织创面生长也具有一定的促进作用。
以上是毕业论文大纲或资料介绍,该课题完整毕业论文、开题报告、任务书、程序设计、图纸设计等资料请添加微信获取,微信号:bysjorg。
相关图片展示:






您可能感兴趣的文章
- 用于甲醇制烯烃反应的SAPO-34/ZSM-5复合催化剂的原位水热结晶合成外文翻译资料
 - 硫化氢在活体的化学发光探针成像外文翻译资料
 - 全色发射型ESIPT荧光团对某些酸及其共轭碱负离子识别的颜色变化外文翻译资料
 - 一种用于成像神经元细胞和海马组织中NMDA受体附近内源性ONOO-的双光子荧光探针外文翻译资料
 - 表面功能化的Ui0-66/pebax基超薄复合中控纤维气体分离膜外文翻译资料
 - 金属有机框架中的可逆调节对本二酚/醌反应:固态固定化分子开关外文翻译资料
 - 二维MXene薄片的尺寸相关物理和电化学性质外文翻译资料
 - 将制甲烷的Co催化剂转化为产甲醇的In@Co催化剂外文翻译资料
 - MXene分子筛膜用于高效气体分离外文翻译资料
 - 模板导向合成具有排列通道和增强药物有效荷载的立方环糊精聚合物外文翻译资料
 

        
            
