基于JAVA的企业邮件管理系统设计与实现毕业论文
2020-02-17 23:03:32
摘 要
随着互联网时代的高速发展,全球信息产业也飞速发展,各个行业逐渐走向信息化的道路,传统模式也在信息化中。企业的的兴起离不开企业邮箱。企业在信息化的时代中,竞争激烈,要想更快的把握商机,提高办事效率,快速的接收信息,自然需拥有自己的企业邮箱。
基于Java的企业邮件管理系统使用Javamail API开发包为核心开发出的一套C/S结构的邮件管理系统。使用MySQL数据库作为本管理系统的数据存储,邮件服务器使用了运行于微软Windows系统、基于GPL授权、免费的电子邮件系统hMailServer服务器,界面简单大方;支持常见的电子邮件协议SMTP、POP3、IMAP;本系统的设计将有利于企业内外部之间工作沟通的效率,本文主要研究内容如下:
(1)本文首先简要叙述了企业邮箱的重要性及其目前企业邮箱的发展现状。通过企业用户对企业邮箱的需求分析,了解企业邮箱与一般的邮箱相比有哪些优势,并确定实现相应的功能。
(2)在需求分析的基础上,通过C/S结构完成邮件管理系统的整体研究和总体架构设计。完成总体设计之后开始进行企业邮箱重要功能模块的设计与实现,如邮件管理功能设计,联系人管理功能设计,数据库设计等等。
(3)文章详细论述了基于Javamail来进行企业邮箱功能模块的设计与实现,并介绍发件功能,收件功能,添加联系人,删除,恢复邮件等功能模块。
(4)本文选用hMailServer邮件服务器作为邮件传输代理,并简要介绍hMailServer搭建以及在服务器中的配置,邮箱域名的解析等。实现以企业域名为后缀的邮箱域名。并能正常收发外网邮箱。
(5)最后对本系统开展系统测试以及性能测试。测试邮件管理系统的模块功能及系统新能。对测试结果进行展示及说明。
关键词:企业邮箱,Java,hMailServer邮件服务器,SMTP,POP3
Abstract
With the rapid development of the Internet era, the global information industry is also developing rapidly. Every industry is gradually moving towards the road of informatization, and the traditional mode is also in the process of informatization. The rise of enterprises can not be separated from the enterprise mailbox. In the era of information technology, enterprises are facing fierce competition. If they want to grasp business opportunities faster, improve efficiency and receive information quickly, they naturally need to have their own enterprise mailbox.
The enterprise mail management system based on Java uses Javamail API development kit as the core to develop a set of C/S structure mail management system. The MySQL database is used as the data storage of this management system. The mail server uses the hMailServer server server, which runs on Microsoft Windows system, based on GPL authorization and free e-mail system. The interface is simple and generous. It supports the common E-mail protocols SMTP, POP3 and IMAP. The design of this system will be conducive to the efficiency of communication between internal and external enterprises. The research contents are as follows:
(1) This paper briefly introduces the current situation of enterprise mailbox and the development trend of enterprise mailbox in the future market. Through the analysis of enterprise users'needs for enterprise mailboxes, we can understand what advantages enterprise mailboxes have compared with general mailboxes, and determine the corresponding functions.
(2) On the basis of requirement analysis, the overall research and overall architecture design of mail management system are completed through C/S structure. The function models and databases of the mailbox system are designed accordingly.
(3) The article elaborates the design and implementation of enterprise mailbox function module based on Javamail, and introduces the functions of sending and receiving, adding contacts, deleting and restoring mails.
(4) This paper chooses the hMailServer mail server as the mail transmission agent, and briefly introduces the construction of hMailServer and its configuration in the server, the analysis of mailbox domain name, etc. Realize the mailbox domain name with the suffix of enterprise domain name. It can send and receive outbound mailboxes normally.
(5)Finally, the system test and performance test are carried out. Test the module function and new function of mail management system. The test results are displayed and explained.
Key Words: the enterprise mailbox;Java;hMailServer mail server;SMTP;POP3
目 录
第1章 绪 论 1
1.1 研究背景和意义 1
1.2 国内外研究现状 1
1.3 论文的研究内容 2
1.4 论文组织架构 2
第2章 企业邮件管理系统需求分析和总体设计 4
2.1 企业邮件管理系统可行性分析 4
2.1.1 邮件管理系统技术可行性分析 4
2.1.2 邮件管理系统经济可行性分析 4
2.1.3 邮件管理系统操作可行性分析 4
2.2 企业邮件管理系统需求分析 5
2.2.1 邮件管理系统角色功能需求 5
2.2.2 邮件管理系统非功能性需求 6
2.3 企业邮件管理系统总体设计 7
2.3.1 邮件管理系统原理设计 7
2.3.2 邮件管理系统功能架构 7
2.4 企业邮件管理系统的工作流程 8
2.5 企业邮件管理系统相关开发技术介绍 9
2.5.1 Javamail 开发 9
2.5.2 JAF简介 10
2.5.3 hMailServer邮件服务器介绍 10
第3章 企业邮件管理系统模块详细设计与实现 11
3.1 邮件管理系统运行环境和开发工具 11
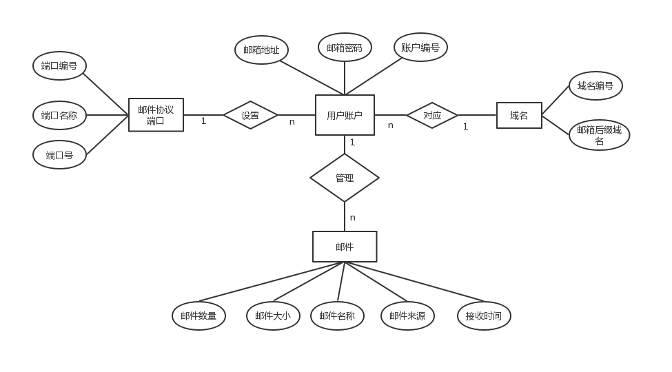
3.2数据库设计 11
3.2.1 数据库概念模型设计 11
3.2.2 数据库逻辑结构设计 12
3.3 hMailServer邮件服务器的相关配置 13
3.4企业邮件管理系统功能模块详细设计与实现 15
3.4.1企业邮件管理系统登录模块实现 15
3.4.2通讯录管理模块设计与实现 17
3.4.3收发邮件功能模块设计与实现 18
3.4.4已发送邮件夹 21
3.4.5 主界面的实现 22
3.4.6 已删除邮件夹 22
第4章 企业邮件管理系统测试 24
4.1 测试方法 24
4.2 企业邮件管理系统的功能测试 24
4.3 企业邮件管理系统的性能测试 29
第5章 总结与展望 30
5.1论文总结 30
5.2 论文展望 30
参考文献 31
致 谢 32
第1章 绪 论
- 研究背景和意义
 
电子邮件作为一种网络应用服务,需要一个”邮局”来进行邮件的派送,这个“邮局”便是邮件服务器。邮件服务器不仅能帮助你发送邮件到目标地址,还能够接收到别人发给你的邮件。目前,使用较多的邮件有:一种是专业的免费邮箱服务商提供,如@126.com、@sina.com、@163.com等大规模分布式电子邮件系统;还有一种目前在企业之间广泛应用的电子邮件系统,这个系统不仅仅有邮件收发功能,还结合企业日常办公的需求定制了提高企业工作效率的功能,称之为“企业邮件管理系统”[1]。
企业邮箱是企业的名片,企业邮箱是由xx@企业域名所构成。以企业域名为邮箱后缀,不仅所有员工邮箱均为xxx@企业域名[2],更能树立一个统一的企业形象,方便企业形象的推广,不仅如此,企业邮箱便于企业管理,如员工流动但其所属企业邮箱账号可以顺利收回,从而保留所有邮件往来与业务联系,还可以自由命名,分配每个邮箱账号容量[1]。
近年来,我国的中小企业众多且处于迅猛发展状态,据中国报告大厅发布的中国中小型企业数量报告:目前我国中小企业有4000万家,占企业总数的99%,中国中小型企业数量分析,中国中小微企业占全国企业总数的 99.7%,其中小型微型企业占 97.3%。这些中小型企业信息化发展严重滞后,只有少数的中小型企业拥有自己独立的企业邮箱,这与庞大的企业数量形成巨大的反差。而目前企业与企业之间的交流一日比一日频繁,竞争也十分激烈。要是由于使用的通信工具故障,导致订单的流失等,对于企业来说是重大的损失[3]。
由此,综上所述,中小型企业拥有自己的企业邮箱是必然趋势。但是,企业邮箱在众多的中小型企业中并不常见,大多数的中小企业目前还在使用普通邮箱与外界进行联络。企业邮箱没有规模化,真正实现企业邮箱服务的企业并不多。因此,用定制版的企业邮箱去实现中小企业的信息化建设,代替普通邮箱刻不容缓[4]。
- 国内外研究现状
 
电子邮件的起源,1969年10月世界上的第一封电子邮件是由计算机科学家Leonard K.教授发给他的同事的一条简短消息[5]。电子邮件于70年代发明,80年代兴起;到80年代中期,由于个人电脑的兴起,电子邮件开始被广为使用[5]。
由史蒂夫·道纳尔于1988年编写的电子邮件应用程序Euroda使电子邮件成为主流,这是因为Euroda是第一个有图形界面的邮件管理程序,操作简明,快速的被公司,大学校园所采用。后来微软开发的Outlook以及目前国内张小龙所开发的Foxmail使得邮件应用更加的人性化,邮件管理的功能也不仅仅局限于邮件的收发,而Euroda也在互联网的兴起之下而逐渐没落。
美国和欧洲的企业邮箱起步只比中国早几年的时间,可是他们的企业邮箱的普及率已高达70%以上[6]。在国内,企业邮箱的发展十分迅速。根据艾瑞相关报告分析及预测:2014年,中国企业邮箱用户规模仅为6000万左右,但随着政策环境变化、技术革新等因素的正面影响下,截止到2016年底企业邮箱用户规模达到1.12亿,并且趋势还在不断上涨,至2017年底,将有望达到1.35亿。由此可见,电子邮箱在企业办公应用中已成为不可或缺的重要环节,并且企业邮箱的普及性和重要性也在逐年增长着[1]。
目前国内企业邮箱商用化已经趋于成熟,国内知名的企业邮件商有网易,腾讯还有专注于企业邮箱系统的coremail邮件系统。企业邮箱不在局限于收发邮件,可以根据企业情况的不同去定制开发适合企业的邮件管理系统,也就是定制开发,由于国家防火墙的原因,加上经济全球化,越来越多的企业有着极大地需求与海外进行交流,获取更多的商机,所以目前的海外收发邮件功能在企业邮箱中占据重要一块。
1.3 论文的研究内容
介绍了企业邮箱的研究意义之后,便要开发出一款企业邮件管理系统,这个系统的要求是首先要能够满足企业收发邮件需求。因此,对基于Java的电子邮件系统有了如下的主要研究内容:
(1)学习Javaswing,研究AWT(Abstract Window Toolkit),抽象窗口工具包。以此来实现界面良好的人机交互,使用户能直观的使用本系统。
(2)进行全方面的需求分析,具体有:企业邮件管理系统的业务目标,系统的功能需求分析和非功能需求分析。
(3)了解学习Javamail邮件开发并结合hMailServer邮件服务器设计出一整套客户端到服务端结构的企业邮箱管理系统。
(4)基于需求分析,开始进行系统的总体设计,数据库设计,功能架构的设计,并逐渐完成详细模块的实现,如联系人管理,邮件收发件夹的实现等
(5)设计并实现完整个系统架构之后,对系统进行系统测试。
1.4 论文组织架构
第一章:绪论。本章通过去研究课题背景,指出课题研究的意义所在,大致介绍了我国企业发展对于企业邮箱需求的必要性,企业邮箱的现状,未来发展方向登内容,并指出了课题的主要研究内容。
第二章:系统需求分析与总体设计。提出开发本系统的具体需求,企业用户对企业邮箱系统的用户需求,非功能性需求等。明确需求并写出总体设计方案。
第三章:系统详细设计与实现。采用Java语言、利用JavaSwing、AWT编写邮件管理客户端界面并能响应邮件功能事件。以Javamail开发包结合hMailServer邮件服务器,对系统进行详细设计及讨论。介绍了企业邮箱中发件功能,添加,删除联系人等功能模块。
第四章:系统测试。系统设计完毕后,开始对各个功能模块进行测试。
第五章:结论与展望。对本文工作进行总结及提出未来的研究方向。
第2章 企业邮件管理系统需求分析和总体设计
2.1 企业邮件管理系统可行性分析
2.1.1 邮件管理系统技术可行性分析
在这里我采用的是用Java来进行企业邮件管理系统的开发。利用Java swing实现良好的交互界面,通过Javamail API开发邮件核心功能,采用C/S主流架构开发一整套管理系统。
作为一名面向对象的编程语言,Java在吸收C 语言各种优点的同时,有选择性的去掉了C 中多继承,指针等让人难以理解的概念。Java编程语言极好的体现了面向对象的理论,作为静态面向对象编程语言的代表之一,它不仅简单易用而且功能强大。
在邮件服务器的选用上,选用了配置简单,具有良好界面交互性的hMailServer邮件服务器,由于其配置简单,对电脑配置要求低,对于一个不懂的搭建服务器的人来说,搭建一个hMailServer邮件服务器是较为轻松的。而且hMailServer连接MySQL数据库的过程也并不复杂。
综上所述,本系统的开发在技术上是完全可行的。
2.1.2 邮件管理系统经济可行性分析
hMailServe邮件服务器,MySQL关系型数据库,腾讯云服务器学生版,Eclipse软件开发平台等是在本系统开发中要用到的相关软件。
首先说明下MySQL数据库,作为一个由瑞典MySQL AB公司开发的关系型数据库管理系统,不仅体积小,速度快,最重要的是由于其开放源码,使得总体拥有成本低,意味着我们可以通过官网免费获取该软件,从而可以不花一分钱来搭建属于自己的数据库。
接下来说说Eclipse软件开发平台。同样的,与MySQL开发源码的特点一样,Eclipse同样也是开放源码的,作为基于Java的可扩展开发平台,它对电脑的配置要求低,一般的电脑即可正常运行Eclipse。
最后介绍下hMailServer邮件服务器,它不仅支持常见邮件协议POP3, SMTP以及IMAP,更重要的是可以很容易的在其基础上进行二次开发。当然,hMailServer也是免费的电子邮件系统,基于GPL授权,运行于Windows系统之上。
为了发外网邮箱,这里还申请并注册一个域名xdwei.cn,租用腾讯云服务器学生版,全程花销18块钱一个月,无论对于企业还是个人来说,这笔花销是可以承受的。
因此本系统的开发经济成本极低,所以在经济方面是完全可行的。
2.1.3 邮件管理系统操作可行性分析
本系统开发出的是一款界面良好的人机交互界面,界面简洁大方,通俗易懂,用户只需像操作类似Foxmail的界面就能轻松使用本系统。因此,本系统在操作方面是有可行性的。
由此可见,开发出这样一款企业邮件管理系统是可行的。
以上是毕业论文大纲或资料介绍,该课题完整毕业论文、开题报告、任务书、程序设计、图纸设计等资料请添加微信获取,微信号:bysjorg。
相关图片展示:








        
            
