用射线光学法计算大粒子在激光光镊中的受力毕业论文
2020-02-17 22:33:21
摘 要
本文首先对光镊概念、背景以及研究现状进行了调研,然后对光镊的基本原理做了介绍,并着重分析了单根光线对处于光镊中的介质小球产生的力的作用力,并对捕获效率Q的影响因素进行了讨论。
论文主要研究了介质小球位于激光光轴上时的梯度力和散射力的公式,并进行了归一化的表示,然后借助商业数学软件MATLAB对此进行了仿真,通过控制变量法分析了当其中某一个因素变化所带来的影响,所得结果与通过理论公式分析的情况一致。
研究结果表明:理论推导所得的散射力和梯度力公式是正确的。当入射光种类为均匀平面波时,光功率的变化对Q值无影响。而入射光为高斯光束时,Qt值的绝对值会随着其束腰半径
的增大而增大,而且取得最值时横坐标的差值会随着
的增大而缩短;无量纲力Qt会随着p分量的占比fp的提高整体向上平移;此外Qt的值的绝对值还会随着微粒折射率
的升高而增大。
本文的特色:通过归一化将有量纲的矢量力转化为无量纲的标量力。
关键词:光学镊子;MATLAB;捕获效率;归一化
Abstract
This paper first investigates the concept, background and research status of the optical tweezers, then introduces the basic principles of the optical tweezers, and analyzes the force of the single-beam on the force generated by the medium sphere in the optical tweezers, and The factors affecting the capture efficiency Q are discussed.
The paper mainly studies the formulas of the gradient force and the scattering force of the medium sphere on the laser optical axis, and carries out the normalized representation. Then it is simulated by the commercial mathematics software MATLAB, and analyzed by the control variable method. The impact of the change of one of the factors is consistent with the analysis by the theoretical formula.
The results show that the theoretically derived scattering force and gradient force formula are correct. When the incident light type is a uniform plane wave, the change in optical power has no effect on the Q value. When the incident light is a Gaussian beam, the absolute value of the Qt value increases with the increase of the waist radius 
, and the difference of the abscissa is shortened as the
increases. The force Qt shifts upward as a whole with the increase in the proportion of the p component fp; in addition, the absolute value of the value of Qt increases as the refractive index 
 of the particle increases.
The characteristics of this paper: the normalized vector force is transformed into a dimensionless scalar force by normalization.
Key Words:Optical tweezers; MATLAB; capture efficiency; normalization
目 录
第1章 绪论 1
1.1 本课题的背景、目的和意义 1
1.2 国内外研究现状 2
1.3 课题研究内容及预期目标 3
第2章 理论基础 5
2.1光镊的基本原理 5
2.2单根光线对介电小球的作用力 7
2.3介电小球球心位于光轴上时受到的光阱力 11
第3章 捕获力计算结果与讨论 15
3.1 MATLAB介绍 15
3.2光轴上的粒子受力计算 16
3.3捕获效率Qt值影响因素的讨论 18
第4章 总结 23
参考文献 24
附 录 25
致 谢 27
第1章 绪论
光镊是一种利用激光与物质相互作用时产生的光力来捕获操纵微小粒子的一种装置,广泛应用于生物、医学、物理学等各个领域。当人们通过麦克斯韦方程组确认了光束会对处于光场中的物体施加力的作用,即光辐射力之后,以此为基础与光的梯度力形成光阱,进而对微小粒子进行束缚。光镊技术便在光阱的基础上得以建立和发展,也正是如此,光镊技术充分展现了光的动量属性的特点。
1.1 本课题的背景、目的和意义
2018年的诺贝尔奖的颁奖典礼上,瑞典皇家科学院为了表彰美国科学家阿瑟·阿什金(Arthur Ashkin)在“光学镊子的发明及其在生物领域的应用”突破性贡献,授予了他诺贝尔物理学奖的荣誉。自20世纪80年代,Ashkin首次提出单光束梯度力阱——光镊的概念以来,光镊技术的研究与发展为人们提供了利用光来研究极小物体的新方法。使用光学镊子操控、移动微粒就仿佛是实验者使用一只无形的机械手臂按其自身的意愿自由的对目标微粒,如原子、分子、细菌或细胞等进行控制。光镊技术以其对微粒具有无机械接触、操控精度高、低损伤性等优点,为研究微观物质结构和功能,以及观察和控制生命的机器创造了全新的契机,并因此被广泛应用到原子物理、化学科学、材料科学、生命科学等领域研究中[1,2]。
其中光镊在生物领域的研究中的应用是最常见的。光镊因其在捕获粒子和操控粒子时,并不会与粒子实际接触的特点,使得其在对生物细胞进行操作时可以较完整的保留细胞的活性,这也使得生物细胞的研究得以扩大到众多领域,以细胞本身为主的有活体细胞操控、细胞力学的研究等;以细胞中的物质为主,如蛋白质折叠/解折叠、染色体的捕获与操作[3]等;还有基于光镊原理对细胞进行荧光标记、荧光成像或探测[4]等。
本课题的研究内容是“用射线光学法计算大粒子在激光光镊中的受力”,因为在进行研究对象为晶粒、细胞等的科学研究时,这些研究对象的尺寸基本都只有几微米至几十微米,故,又被称为大粒子或米氏粒子。但现有的许多仪器的尺寸不足以对这些大粒子进行操控,或者容易破坏这些大粒子,从而对研究的结果产生影响,而上文提到的光学镊子的特点正好解决了这些问题。另外既然要操控这些大粒子,就需要了解处于激光光镊中的受力情况,因此计算大粒子在激光光镊中的受力乃是重中之重。另外对于大粒子在激光光镊中收到的光阱力的理论模型一般采用几何光学(GO:geometric optics)模型,又称射线光学(RO:Ray Optics)模型[5]。
1.2 国内外研究现状
在国内,连续多年专注进行光镊技术以及应用的研究的李银妹教授研究组,在2013年首次将光镊技术用于动物活体内细胞,在这次实验中研究者操作光镊穿过小老鼠耳朵的真皮层,并在约50
深的毛细血管中对其中的红细胞进行捕获和控制[6]。李教授的研究小组还操作光阱控制并集中血管中的红细胞,形成由人工影响而得到的血栓,并接着疏通该血栓,使血液流动回复正常,为使用光镊对活体动物进行研究开创了新领域,为临床医学上使用光镊技术进一步奠定了基础。此外,李教授的研究小组还有另外一个研究方向:通过光镊控制位于单分子上的微米级别的小球来实现对整个单分子的控制,一旦此研究方向顺利研究成功,光镊的应用范围将进一步扩大,为以前困扰研究者们的难题提供了可行性较高的的解决方案[2]。在2019年2月,胡小唐等人在“蛋白质力谱测试中生物分子链耦联技术”的研究成果在天津大学学报(自然科学与工程技术版)发布,他们的研究小组成功搭建了改进的双光镊系统,用以对蛋白质(NuG2)4的折叠/解折叠动力学特性进行研究。而且相比于传统的双光镊系统,改进后的双光镊系统借助仅仅使用其中一条DNA 链与蛋白质的一段相连,另一端则与光镊捕获的微球相连接的等多种修饰方法的结合来达到生物样品完成耦联的目的,他们通过实验发现如此可对连接效率有所提高[3]。
经过多年的研究,科学家们发现人体红细胞(RBC)的机械表征对于帕金森病的病理学,药物筛选,临床诊断和治疗的研究至关重要。而且就目前的发现来看,帕金森病的主要原因之一便是人体红细胞的氧化应激。由天津大学精密测试技术与仪器国家重点实验室刘嘉琦、北京信息科技大学光电测量技术与仪器教育部重点实验室的张帆与朱连清以及英国剑桥大学光子器件与传感器中心的褚大平等共同组成的研究小组于2019年初在“Elsevier”上的“光学通讯”板块发表了名为《用光学镊子测量氧化应力下红细胞的力学性能》(Mechanical properties of RBCs under oxidative stress measured by optical tweezers)的研究论文,他们的研究组的成员使用光学镊子技术测量RBC切变模量,并且用不同浓度(50μM-200μM)的正常PBS和H2O2分别处理RBC。通过两个光阱拖动附着在微珠上的细胞,并动态记录细胞的伸长率和诱捕力。这使得切变模量可以通过测量得到。通过测量不同浓度的过氧化氢(H2O2)处理的红细胞的切变模量,分析了氧化应激下红细胞的力学性能,揭示了氧化应力下RBC机械性质的变化,导致细胞膜弹性模量的增加。此研究结果的提议将有益于帕金森病领域的基础研究和临床应用。这些结果还将为测量其他细胞的机械性能提供指导[7]。
在2017年3月,来自英国伦敦帝国学院,伦敦肯辛顿校区的隶属于布莱克特实验室进行超低温冷藏问题研究的中心实验室的S.Truppe, H.J.Williams等人使用三维光学糖蜜将分子冷却至50μK,远低于多普勒极限。这种超冷气体的单分子可以加载到微观光学镊子陷阱的低位运动状态,并形成规则阵列用于量子模拟。它们可以加载到基于芯片的电陷阱并耦合到传输线谐振器,形成元素量子处理器。通过将分子与原子混合,可以探索超冷状态下的碰撞,化学和交感神经冷却等方面。他们还发现冷却的分子可用于搜索电子与质子质量比的时间变化,而且这个方法还可以应用于其他适用的分子将推进电偶极矩和核子势能力矩的测量。密度的主要增加可能来自更有效的减速方法以及减速前的横向冷却,由此产生的致密的超冷样品对量子简并进行共振或蒸发冷却来说是一个理想起点[8]。
2018年8月欧洲力学杂志-B流体期刊上,Pedro Almendarez-Rangel研究小组发布了一篇研究论文《基于光镊的微低速测量系统:粒子跟踪测速法的比较》,文中提出在微环境中可以使用基于光镊(OT)的系统来测量流速,由此构建了基于OT的测速系统(OTV)与用时间平均粒子跟踪测速仪(TA-PTV)对不同深度的渠道壁进行了速度测量,然后将测量结果进行了比较,发现OTV系统具有以下优点:(1)更优秀的的空间分辨率;(2)测量过程中减弱了布朗运动的影响;(3)在不使用高粒子浓度、特殊数据处理或复杂照明系统(如其他测速技术)的情况下具有亚微米空间分辨率的可能性[9]。
1.3 课题研究内容及预期目标
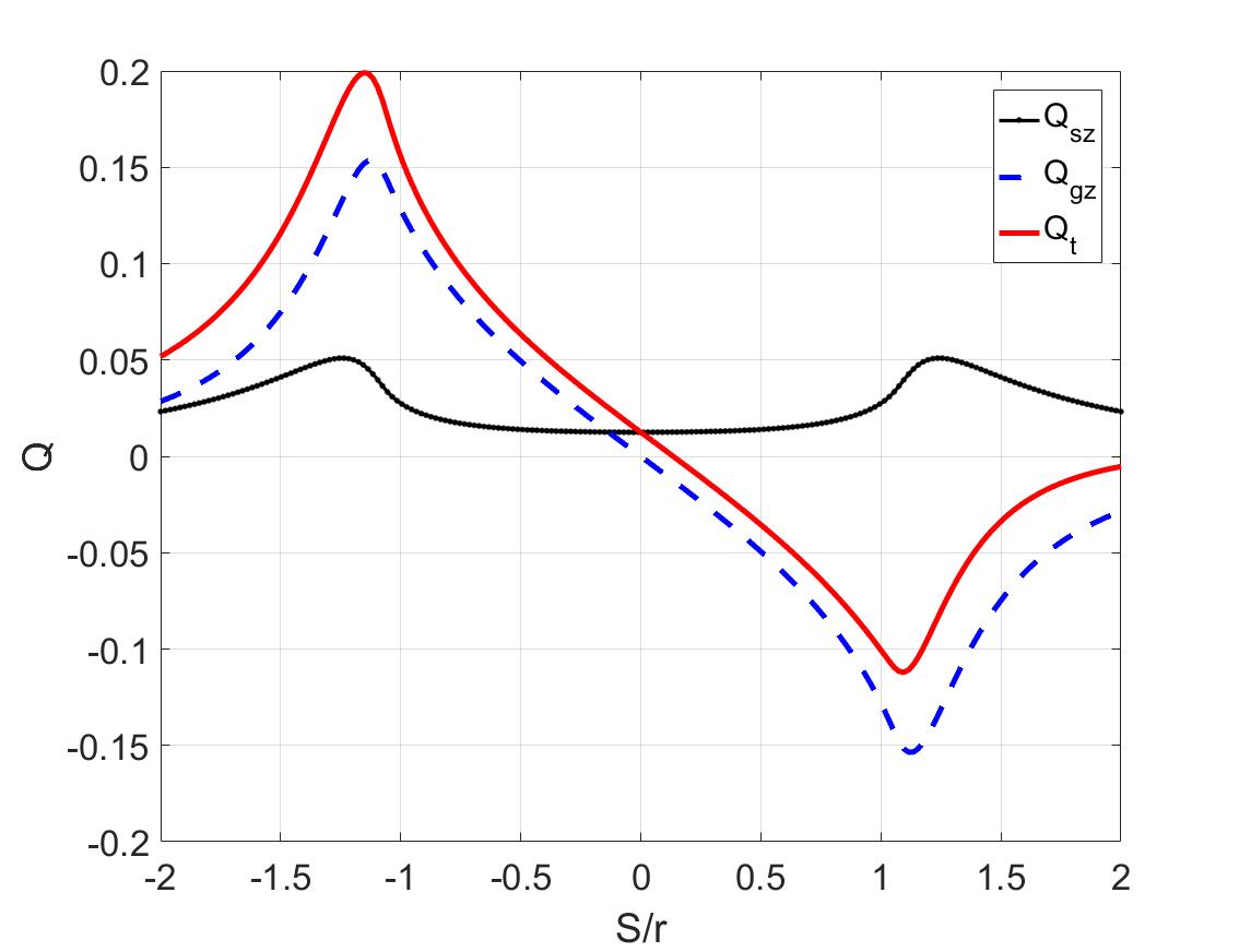
本课题的主要研究内容是通过查阅书籍和相关参考资料,了解光镊的概念、原理与发展概况,然后着重学习用于分析大粒子在光镊中受力情况的射线光学模型,并根据其原理对粒子受到的梯度力和散射力的计算公式进行推导和验证,另外还要熟悉公式中的各个参量的具体含义,以及会对梯度力和散射力的计算造成何种影响。接着根据原理推导得到的公式使用MATLAB编程计算高斯光束的聚焦场中粒子的散射力和梯度力,并通过仿真得到归一化后的捕获效率Qt与S/r(微粒中心到透镜焦点的距离S与微粒半径r的比值)的数值关系。然后根据光镊捕获效率的计算公式,讨论光镊捕获效率的影响因素,并通过MATLAB仿真出改变相应的影响因素后,捕获效率Qt会如何变化,最终得到对应的结论。
当通过推导和验证了梯度力和散射力的计算公式之后,便可通过归一化的计算,得到无量纲的力Q,此举简化了对应的梯度力和散射力的计算方式,而且我们可以更方便的讨论对于这无量纲的力Q的影响因素,包括入射光束的种类、入射光为高斯光束时的束腰半径、入射光为高斯光束时的偏振态、微粒自身的折射率以及透明微粒的半径。根据归一化后的Q的计算公式可以推出:入射光种类为均匀平面波时,光功率的变化对Q值并无影响,而入射光为高斯光束时,Q值得大小与高斯光束自身的具体参数有关;当入射光为高斯光束时,Qt值的绝对值会随着其束腰半径
的增大而增大,而且波峰与波谷的距离也会随着
的增大而缩短;当入射光依然为为高斯光束时,若将其中的p分量的占比fp从0开始逐渐提高至1,无量纲力Qt会随着fp的提高整体向上平移;对于参数保持不变之后的输入光束,照射在折射率不同的微粒上,无量纲力Qt的值的绝对值会随着微粒折射率
的升高而增大。
第2章 理论基础
2.1光镊的基本原理
通过麦克斯韦电系理论可知,当有电磁波照射到一个物体或者某个介质上时,存在于物体内部的电荷会被激发,形成电流,而存在于物体或介质周围的电磁场会对其中的电荷与电流都产生作用。光作为电磁波的一种自然也遵守电磁理论,故,当光波入射到了实验体的表面,一部分光会被实验体吸收,另一部分被实验体反射,这也就使得光的动量发生了变化,物体产生了力的作用,而这个力被称为光力,亦称为光压。
从光子自身的能量出发可知,设一个光子所拥有的能量
,式子中的
为普朗克常量,
则为该光束的的频率。若设该光束的波长为
,介质中的光速为v,则不难得出光子的动量p为
  | (2.1)  | 
另设一束光中有N个光子,则该光束的光强I0为
  | (2.2)  | 
假设该光束以入射角为i的角度照射到物体或介质上的任意一个微小的面元ds上,则单位时间该面元通过的光通量dP的计算公式如下:
  | (2.3)  | 

图2.1 光在界面上的入射、反射和折射
以上是毕业论文大纲或资料介绍,该课题完整毕业论文、开题报告、任务书、程序设计、图纸设计等资料请添加微信获取,微信号:bysjorg。
相关图片展示:











        
            
