纳米线光场效应晶体管的设计与性能研究毕业论文
2020-04-11 18:01:24
摘 要
本文借助Matlab软件成功实现了对CdSe纳米线光场效应管性能的测试。CdSe是一种典型的N型半导体材料,其在制作光电材料、激光器和太阳能电池方面有着极其重要的应用前景,已经成为研究人员研究的热点。它的发光光谱比较窄但可调,通过改变纳米晶体的尺寸可以调节它发射的波长,在一定的条件之下可以发出覆盖整个可见光范围的光谱。因此,CdSe半导体材料在制作发光器件方面有着很广泛的应用前景,且近年来已经得到了较为普及的应用。
本文主要研究了CdSe纳米线光场效应晶体管的电流-电压特性,同时在一定光照的条件下,研究CdSe纳米线光场效应晶体管的输出特性以及在一定时间内开光和关光,研究其对入射光的灵敏度。
研究结果表明:CdSe纳米线光场效应晶体管在工作过程中,同时受到源漏极电压、入射光波长、入射光强度和栅极电压的影响,并且具有优良的光电效应,在制造光电探测器方面有着巨大优势。
本文的特色:简要分析CdSe纳米线光场效应管的结构,并从Matlab仿真角度进行分析不同条件下的CdSe纳米线光场效应管的光电特性。通过多次给予纳米线光场效应管的源极栅极电压,记录并分析漏极电流的输出特性;给予纳米线光场效应管一定的光照,分析CdSe纳米线场效应管在一定条件下表现出的光电特性。
关键词:CdSe;纳米线;场效应晶体管;光电特性
Abstract
In this paper, with the help of Matlab software, the performance of CdSe nanowire optical field effect tube has been tested successfully. CdSe is a kind of typical n-type semiconductor material, the production of photoelectric materials, laser has an extremely important application prospect and solar cells, researchers have become research hot spot. Its luminescence spectrum is narrow but adjustable. By changing the size of the nanocrystalline, it can adjust the wavelength of its emission. Under certain conditions, it can emit a spectrum covering the entire range of visible light. Therefore, CdSe semiconductor materials have a wide application prospect in the manufacture of luminous devices, and have been widely used in recent years.
This paper mainly studied the CdSe nanowires i-v characteristics of light field effect transistor, at the same time, under the certain condition of light, the CdSe nanowires light field effect transistor output characteristic and medallion and GuanGuang, within a certain amount of time to study the sensitivity of incident light.
The results show that the CdSe nanowires light field effect transistor in the process of work, at the same time by the source and drain voltage, incident light wavelength, intensity of incident light and the influence of grid voltage, and it has excellent photoelectric effect, has a huge advantage in manufacturing photoelectric detector.
Characteristics of this paper: the structure of CdSe nanowire optical field effect tube is briefly analyzed, and the photoelectric characteristics of CdSe nanowire optical field effect tube under different conditions are analyzed from the perspective of Matlab simulation. The output characteristics of the drain current were recorded and analyzed by giving the source gate voltage of the nanowire field effect tube many times. The photoelectric properties of CdSe nanowire field effect tube under certain conditions were analyzed.
Key Words:CdSe;nanowires;FET;photoelectric properties
目 录
第1章 绪论 1
1.1 纳米科技的简介 1
1.2 纳米线场效应晶体管的发展和现状 1
1.3 CdSe半导体材料介绍 2
1.4 CdSe纳米线光场效应晶体管 3
1.5 论文的主要研究思路 4
第2章 CdSe纳米线光场效应晶体管的制备 5
2.1 场效应晶体管 5
2.1.1 场效应晶体管的结构和工作原理 5
2.1.2 有机场效应晶体管 6
2.1.3 有机场效应晶体管的特性参数 7
2.2 CdSe纳米线制备方法 9
2.2.1 溶液法 9
2.2.2 水热/溶剂热法 9
2.2.3 化学气相沉积法(CVD) 10
2.2.4 模板法 11
2.3 CdSe纳米线光场效应晶体管的制备 11
2.3.1 制备基底 11
2.3.2 镀膜和沟道的制备 12
2.3.3 纳米线的分散及电极制作 12
2.4 CdSe纳米线光场效应晶体管的结构 12
2.5 本章总结 13
第3章 CdSe纳米线光场效应晶体管的特性 14
3.1 Matlab建模 14
3.1.1 Matlab软件简介 14
3.1.2 建模方法 14
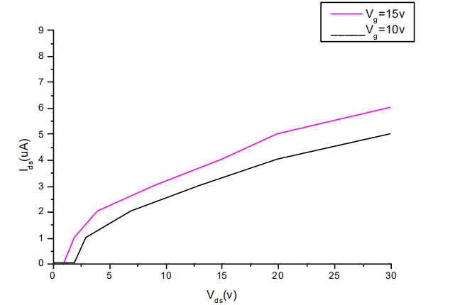
3.2 CdSe纳米线光场效应晶体管电流—电压特性 16
3.3 CdSe纳米线光场效应晶体管的光电特性 17
3.3.1 引言 17
3.3.2 不同光波长下CdSe纳米线光场效应晶体管的光电特性 18
3.3.3 光强对CdSe纳米线光场效应晶体管光电特性的影响 19
3.4 本章小结 20
第4章 总结与展望 21
4.1 本文总结 21
4.2 展望 21
参考文献 23
致 谢 24
第1章 绪论
1.1 纳米科技的简介
纳米技术这一词语出现的时间比较晚,它是在20世纪末的时候才被人们提及,可以说是一门正在冉冉上升中的科学,并且在不断得到研究人员和科技工作者的关注和兴趣。纳米这个量级有许多特殊的特性,而且这些特性具有非常有用的价值,这很值得科研人员的深入研究。微粒的尺度达到纳米的量级后,会展现出小尺寸效应、量子尺寸效应、表面效应和宏观量子隧道效应[1]。了解并运用这些特性可以使该材料在精密光学仪器、医药等方面发挥非常巨大的作用。纳米科技最好的应用可以说是半导体技术,用纳米技术制造的器件有着非常优良的性能,半导体器件更是得到了越来越多的关注。
如今,随着中国的综合国力的增加,中国纳米技术水平也已经在国际上占有重要的地位。中国的研究者在一代又一代人的努力中取得了一个又一个重大突破。中国的研究人员和科技工作者已经可以自主制造出多个方向、不同材料、特性各异的纳米材料,并能够按照市场的需要大量生产符合公司和市场的超大规模纳米材料。中国已经具备了制造纯净碳纳米管技术,并不断改进制造工艺。随着纳米技术在不断的发展,它将逐步改善和提高人们的生活质量。
1.2 纳米线场效应晶体管的发展和现状
从20世纪60年代第一个激光器诞生以来,研究人员一直期待着用光子来代替当时主流的电子来制作更快速更高效的“电路”,例如用玻璃纤维或波导来传导光,同时光晶体管、光开关等器件也将被用于传输。这些纳米晶体器件的加入,立刻改变当时条件下的电子集成电路的效率和速度,并给人们的生活带来翻天覆地的变化。但是由于这些电路需要在纳米级别的空间内控制电子和光子,使其离日常应用相差甚远。不过,光电集成电路的发展脚步一直在前行,纳米晶体管的研究水平也在突飞猛进之中。
近几年来,世界范围内对于纳米场效应晶体管的研究有了一定的进展,主要方向是不同的材料层结构表现出不同的特性,因而会影响其灵敏度等性能。2006年,在巴西的一所重点大学中,研究人员和科技工作者成功制造出一种新型压力传感器,该传感器不同于当时的一般传感器,它主要是基于金属-氧化物-半导体压力效应的,相比于当时其他的同类型器件,他们研究的传感器具有功耗低、效率高、使用方便等一系列优点,可以说是研究半导体器件界的重大进步。两年后,中国的研究人员通过不懈努力最终自主制备出第一个ZnO纳米棒场效应晶体管。2009年,美国马萨诸塞州大学的先进电子技术中心提出一种在PHEMT上图形化50nm栅结构,改进栅极结构,保证栅极面积增大的同时可以提高沟道中电场的能力。几年之后,复旦大学的张卫课题组总结前人的经验并加入自主创新研究,最终成功设计出一款半浮栅结构晶体管,这是我国在纳米场效应晶体管领域的又一大突破。目前商用的晶体管栅极的大小在10nm左右,虽然已经非常小了,但IBM公司又进行了更小规模工艺的研究和制备[2]。
纳米线场效应晶体管的发展为纳米器件的应用开辟了更加宽广的领域,制备出更加精密的纳米晶体管,进一步完善器件工艺,提高器件性能,是如今的技术人员不断努力的方向。跟随着社会前行的步伐,人类已经踏入被先进科学技术所充斥着的时代,人类社会已与科学技术息息相关,已经无法隔离开来,科学技术的不断进步同时也在不断推动着人类历史的发展。毋庸置疑,如今的时代也是信息化高度发达的时代,所有人类的学习、工作和生活已经和信息化不可分割。信息化的时代需要超高速的信息传输速度,一般的电路系统已经越来越难以满足高速信息交换的需求。微电子系统为了满足人们的高速信息交换的需求,正在不断改善和提高这自身的信息传输能力,这就需要研究人员和科技工作者不断地研究和改造晶体管,创造出新的辉煌。
1.3 CdSe半导体材料介绍
CdSe是一种典型的N型半导体材料,它在制作光电材料、激光器和太阳能电池方面有着极其重要的应用前景,已经成为研究人员研究的热点。它的发光光谱比较窄,但易于调节,通过改变纳米晶体的尺寸可以在一定程度上改变它发射的波长,在一定条件之下可以发出近乎整个可见光的光谱。CdSe半导体材料在制作发光器件方面有着很大的应用前景,并在近年来已经得到了较为普及的应用。
CdSe是一种比较常见的化合物,合成工艺比较简单,同时该半导体有着许多优良的特性,它的禁带宽度比较宽,并且CdSe具有非常强的激子束缚能。由固体物理的知识分析,CdSe的结构较为复杂,它有着闪锌矿结构和纤维锌矿两种不同的结构(如图1.1、图1.2所示)。其中闪锌矿的形式不太稳定,会在一定的条件下转变成为纤锌矿形式。

图1.1 CdSe闪锌矿结构
图1.2 CdSe纤锌矿结构
研究发现,CdSe纳米晶体的荧光发射峰在特定条件下很容易产生一定程度的蓝移,它的这种特殊的性质,使得它在适当的条件之下几乎可以发射从红光到紫光这个范围内的所有波长。CdSe纳米晶体的表面缺陷可以轻松地收取电子和空穴,使得其荧光稳定性下降[3]。对于这个问题,研究人员通过大量实验发现,如果对CdSe纳米晶体的表面层在一定条件下进行一定程度的无机钝化,可以显著提高其光稳定性。
1.4 CdSe纳米线光场效应晶体管
一维纳米结构近年来已经被广泛研究,它们可以表现出许多新颖的特性,其中一维材料CdSe纳米线有着非常优秀的物理性质和化学性质,使它在光电子学、纳米电子学、医学和化学检测等方向中有着重要的应用。该纳米线结构尺寸很小,可以被应用于集成电子器件上,同时一维异质结纳米材料具有非常强的界面耦合效应。它具有优异的表面效应,引起了非常广泛的关注[4]。
由于一维纳米线结构表现为各向异性,所以其为线型极化发射。如今,随着一代又一代研究人员对CdSe纳米材料的研究,人们发现了它在制作光电器件方向有着巨大潜力,可以大范围地用来制造纳米线场效应晶体管,并可以改善纳米线场效应晶体管的性能。由于技术的不断更新,可以用许多不同的方法制备CdSe纳米线,这些纳米线被广泛用于制造光电器件。CdSe纳米线场效应管相比于光电二级管有着非常高的灵敏度,在制作光电探测器方面有着巨大优势。毋庸置疑,通过实验一步一步地改善和更新制备CdSe纳米材料的技术来提高纳米线制备效率,并不断改进制备的纳米线的性能,制造出更精确的、性能更优良的CdSe纳米线光场效应晶体管,使CdSe纳米线光场效应晶体管能够大批量的生产和利用是研究人员和科技工作者的需要做的工作,这些工作也必然会造福于人类。
1.5 论文的主要研究思路
CdSe是一种非常重要的材料,对该材料的研究并制造出相关器件具有重大意义。虽然国内外对纳米线场效应管的研究已经取得许多成果,但对于CdSe纳米线光场效应晶体管的研究还是寥寥无几。CdSe具有非常强的激子束缚能,CdSe晶体的荧光发射峰和紫外吸收峰由于量子限域效应会发生蓝移,使它几乎可以发射整个可见光范围的波长,并且传导率非常高,所以用CdSe纳米材料制作光电传感器或者纳米线光场效应晶体管具有重大意义。
本论文将通过Matlab软件模拟仿真CdSe纳米线光场效应晶体管出发,研究测试CdSe纳米线光场效应晶体管的电流-电压特性,分析CdSe纳米线场效应管的输运性质及影响因素,在不改变CdSe纳米线场效应管的主要结构的前提下,研究CdSe纳米结构对场效应晶体管载流子迁移率的影响。同时在一定光照的条件下,研究CdSe纳米线光场效应晶体管的输出特性,实现对CdSe纳米线场效应管较为全面的研究。
以上是毕业论文大纲或资料介绍,该课题完整毕业论文、开题报告、任务书、程序设计、图纸设计等资料请添加微信获取,微信号:bysjorg。
相关图片展示:








