基于JAVA的互联网售票系统设计与实现毕业论文
2020-04-10 16:08:26
摘 要
随着互联网越来越深入地普及,它给人们在生活等各个方面带来的便利也越来越多。因此如果能把传统的售票方式与互联网技术结合起来,利用java技术建设互联网售票系统,以此实现互联网售票的网络化。这对于推动我国国民经济发展,进一步提高人们的生活质量定能起到不少的促进作用。
互联网售票系统能够借助互联网覆盖面广和快速高效的特点,让尽可能多的景区、互联网售票管理者了解和熟知互联网售票系统的高效便捷的管理优势同时,也将自身的优势和特点更为全面的管理水平提上一个新地展示给更多的游客群众。对于景区而言,拥有自己的互联网售票系统,无疑会将景区台阶,同时还能提升景区形象。
根据该系统的研究现状和发展趋势,系统细分为需求分析,功能结构设计,数据库设计和系统实现的前端实施和后端实施。本文介绍了系统功能描述,系统功能分析,系统功能设计,系统功能化和系统功能测试的系统开发过程。本此设计在经过查阅大量资料的基础上,借助Java编程语言、HTML语言、JSP技术、MySql数据库和Tomcat服务器来完成系统所需求的功能,本次毕业设计中的创新点是B/S模式和MVC框架的结合,最后进行系统测试,来检测系统的功能,从而进一步完善系统。
关键字:互联网售票系统;计算机编程语言;数据库
ABSTRACT
With the increasing popularity of the Internet, it has given people more and more convenience in all aspects of life. Therefore, if we can combine the traditional ticketing method with Internet technology, we can use the java technology to build an internet ticketing system to realize the Internet-based ticket sales. This will certainly play a significant role in promoting the development of China’s national economy and further improving people’s quality of life.
The Internet ticketing system can make use of the wide coverage of the Internet and the characteristics of rapid and efficient, allowing as many scenic spots and Internet ticketing managers to understand and understand the advantages of efficient and convenient management of the Internet ticketing system, as well as their own advantages and characteristics. The management level is presented to a new place for more visitors. For scenic spots, with its own Internet ticketing system, there will undoubtedly be scenic spots, while also enhancing the image of scenic spots.
According to the research status and development trend of the system, the system is subdivided into requirements analysis, functional structure design, mysql database design and system implementation front-end implementation and back-end implementation. This article introduces the system development process of system function description, system function analysis, system function design, system functionization and system function test. This design is based on a large amount of data access, using the Java programming language, HTML language, JSP technology, MySql database and Tomcat server to complete the required functions of the system. The innovation in this graduation project is the B/S model and The combination of the MVC framework, the final system test, to detect the system's function, so as to further improve the system.
Key Words: Internet ticketing system;computer programming language;database
目 录
第1章 绪论 1
1.1 开发背景 1
1.2 开发意义 2
1.3 研究内容 3
1.4 论文结构 3
1.5 本章小结 4
第2章 系统开发技术的介绍 5
2.1 MyEclipse与tomcat简介 5
2.2 HTML/CSS简介 5
2.3 JSP简介 5
2.4 MySQL数据库概念和特点 6
2.5 本章小结 6
第3章 系统分析 7
3.1功能需求分析 7
3.2 业务流程分析 8
3.3 数据流程分析 9
3.4 本章小结 11
第4章 系统设计 12
4.1 系统设计思想 12
4.2 系统总体设计 13
4.3 系统功能模块设计 13
4.4 数据库设计 14
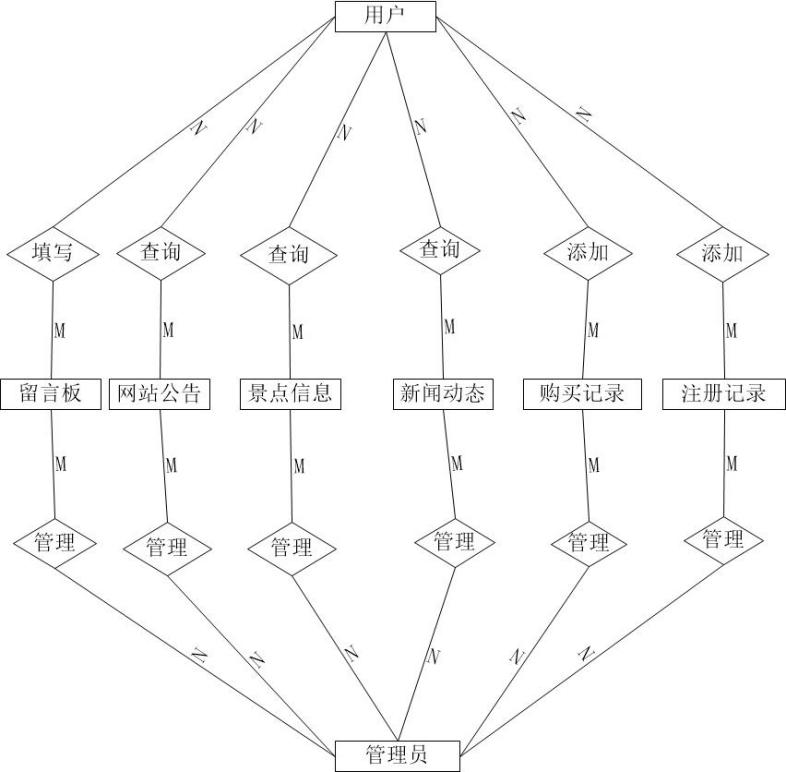
4.4.1 概念模型设计 14
4.4.2 数据库表设计 15
4.4.3 数据库连接计 18
4.5 本章小结 19
第5章 系统的实现 20
5.1 实现环境说明 20
5.2 主页面的实现 20
5.3 注册模块的实现 21
5.4 登录模块的实现 23
5.5 留言管理模块的实现 24
5.6 网站公告模块的实现 26
5.7 景点信息管理模块的实现 28
5.8 购买记录管理模块的实现 29
5.9 系统管理的实现 31
5.10 分页算法的实现 32
5.11 本章小结 33
第6章 系统测试 34
6.1 测试目的 34
6.2 界面测试 34
6.3 功能测试 34
6.4 系统测试结果分析 36
6.5 本章小结 38
第7章 总结和展望 39
7.1 总结 39
7.2 展望 39
参考文献 40
致谢 41
第1章 绪论
1.1 开发背景
21世纪是互联网信息飞速发展的时代,互联网的普及也给人们的生活带来了许多便利。随着社会的发展和国民需求的增长,为了更好地适应这些变化,越来越多的行业和部门开始利用互联网技术来提升自己竞争力和服务质量,而旅游业也逐渐地由之前传统的经营管理模式转移到互联网上来,因此景区建立属于自己的互联网售票系统就非常必要了。那么建设互联网售票系统的好处有哪些呢?
首先是可以提升景区形象,进入信息时代以来,越来越多的单位部门开始借助于互联网的快速传播性和覆盖面广的特性宣传自身,而且人们也越来越习惯通过新式的媒介去获取讯息,因此通过该系统可以更好地宣传景区的优势,吸引游客的注意,通过现代化的手段来树立景区的良好形象。否则,无论景区的资源条件有多好,都很难在互联网的大环境下赢得一席之地;其次是有助于提高景区服务质量,景区管理人员可以通过用户留言等模块对于景区的不足之处进行有效的改进,进而避免了错而不自知的尴尬处境,通过这种快速的交互方式,景区的服务质量也会进一步提高;除此之外,该系统也可以提升景区管理效率,一个好的系统能将景区的管理水平提上一个新的台阶。根据用户的反馈,景区管理人员就可以及时地对相关问题做出处理,而不再需要通过额外的问卷调查等方式来改进自身,而且景区方面可以将重要的消息和通知挂网,做到第一时间通知到广大的游客,让游客对于整个景区的情况有一个即时、动态的了解。
自动售票系统在国内外都有了很广泛的应用,最早是出现在交通运输行业中,到现在无论是在飞机场还是火车站,都基本实现了借助于联网自动售票系统进行售票。在20世纪60年代后期,加拿大蒙特利尔在1967年开设了世界上第一个公共交通磁介质系统,这标志着自动售票系统的出现。70年代初,相继有城市开始为轨道交通系统配备。1962年,日本开始使用自动售票机:早期售票机使用条形码票和硬磁性票。他们的售票系统于1965年开始使用;1982年,日本开始使用可以使用磁卡的售检票机;2002年,日本开始使用IC卡作为新的地铁票务媒介。与其他国家的自动售票系统相比,日本的自动售票系统可以提高乘客通过通信设备进行预订的能力,并实现自动售票、检入。而中国自2011年6月起推出12306网上购票平台,试运营阶段针对京津冀城际列车车票;并于2011年底正式投入使用[1]。
随着科技的发展,自动化售票已经不再仅仅局限于交通行业,越来越多的领域开始使用自动化的售票模式。比如随着电子商务和互联网 热潮的到来,网上购票系统就已经发展到旅游行业。其实早在20世纪90年代,国际互联网的发展带动了旅游网站的全面兴起。我国的旅游电子商务网站从1996年开始出现;进入21世纪,我国旅游信息化开始大力发展,旅游电子商务快速兴起,替代了传统旅游企业的部分功能。2014年,我国提出“智慧旅游”,同时加快推进旅游在线服务、网上预订、网上支付等智慧旅游服务的发展,推动建立全国统一的在线旅游服务平台和景区门票预订系统[2];至今已取得初步成效,比如上海面向旅游者提供的基于智能手机终端的“智能导游”;北京采用基于二维码的物联网技术,向旅客提供一种线上、线下融合的“景区电子门票”服务[3]。
近年来,我国票务行业随着经济的迅猛发展而发展,票证系统旅游领域开始应用。国外已经配备了完整地景区线上售票平台,但当前我国的景点票证系统,处于纸质传统景点票务系统与电子门票管理系统并行的阶段,其中,传统票证管理方式仍占据较大比例。传统景点票务系统多采用纸质门票,在使用和管理上存在很多问题,而且一直很难解决[4]。这些问题主要表现在以下两个方面:首先是传统的票务管理是以人工操作为基础的,剪票,检票等业务的效率很低。其次,后续统计工作繁琐复杂,数据真实性有限,管理和跟踪效果不佳,导致在某些特定的高峰时段,例如国庆黄金周等节假日,售、检票人员的劳动强度剧增,工作效率下降,而管理人员也无法由准确的统计数据来科学合理地安排售、检票人员的工作,从而严重影响了管理、服务质量[5]。
所以总的来说,电子商务在旅游行业的应用是飞速发展的过程,但目前我国的部分旅游景点虽然配备有自助取票系统,但更多的还是以人工窗口售票的方式进行门票的售卖,比如南京的总统府等[6]。由此所带来的是旅客长时间的等待以及相关部门管理无法根据各个景点的门票售卖情况进行管理,对于人力成本是极大的浪费,也不利于我国旅游业的发展。
1.2 开发意义
近几年,国家开始实施“互联网 ”的行动发展计划,这为我国行业发展提供了重要的发展机遇。电子商务、互联网金融等行业都呈现出新的发展态势。“互联网 ”时代的到来是信息技术高度发展的结果,也是信息化社会的必然标志[7]。互联网 旅游”的发展模式,通过充分应用互联网信息技术的开放、快速、智能、共享等特性,将电子商务与传统旅游相结合,一方面大大提高了旅游的效率和服务质量,另一方面方便了游客的出行,节省了旅游费用,受到商家和游客的一致认可[8]。
随着社会的发展和国民收入的不断提高,外出旅游成为了人们放松休闲的首选,但是由于大部门人的出行计划都选在法定节假日,所以导致很多热门景点都需要游客花费大量时间排队才能购买到门票,甚至是周末的海洋馆都需要近4个小时的排队时间才能购买到门票[9],因此对于日渐严重的排队耗时情况,本次毕业设计的网络购票系统就可以很大程度地改善这些问题,可以省去现场咨询票种、付现找零的人工操作过程,可以大大节省游客时间,提高景点工作人员工作效率,由此可见,本次毕业设计非常具有现实意义。
1.3 研究内容
本次毕业设计的主要任务是设计一个基于JAVA的(景点)网络售票系统,来解决目前我国目前旅游业中线下排队购买门票耗时的问题,拟开发的线上购票平台功能主要有:用户注册和登录、管理员登录以及对系统的管理(主要是对景点信息的维护以及对注册用户的意见反馈的回复)、信息查询(包括门票价格和门票种类等)、门票购买以及通过各个景点的门票购买数来调整景区门票销售计划的数据分析功能,以此来缓解线下购票的压力,同时也能提升服务质量和游客观赏体验;在本次毕业设计任务中主要有以下几个难题待解决:一是考虑并发数据的处理;二是如何利用已有的各景点门票销售情况进行数据分析来调整门票销售计划。
1.4 论文结构
(1)绪论部分
从开发系统的背景、意义以及系统的发展状况,详细描述了系统在哪些方面能得到应用,最后是本章小结。
- 系统开发技术的介绍
本章依次详细地对本次系统开发过程中用到的关键技术进行介绍,主要包括MyEclipse的介绍、Tomcat服务器的特点介绍、JSP技术应用特点的介绍、HTML语言的介绍、MySQL数据库相关特点的具体介绍介绍,最后是本章小结。
- 系统分析
以身边同学为调查对象,根据调查结果来确定系统应具备的功能,并对系统从事务逻辑上和数据流程上进行具体的分析,最后是本章小结。
(4)系统设计
本章从设计要求出发,描述系统设计思想即整体的设计思路,系统整体设计即整个系统各功能模块的划分,整个系统数据库的设计包括各数据表的构造和系统各功能模块的具体设计方案,最后是本章小结。
(5)系统的实现
根据系统设计,对系统各功能模块进行具体实现,主要包括主页面的实现、注册模块的实现、登录模块的实现、管理员模块的实现、景点信息管理模块的实现、购买记录管理模块的实现、留言模块的实现、网站公告模块的实现、分页算法的实现,最后是本章小结。
(6)系统测试
本章主要描述了在完成系统的搭建后对系统各功能模块进行测试的过程,在本系统中主要采用黑盒测试即功能测试从用户的角度来对系统的各个功能进行检测,来判断其是否都能正常使用。主要是通过输入不同组的测试数据来测试系统的各功能模块,最后是本章小结。
- 总结与展望
本章主要是对本次系统设计过程进行总结,并针对本次设计过程中存在的待提高之处进行展望并提出可能的改进方案。
1.5 本章小结
本章详细地分析和介绍了此次所设计系统的先关开发背景、开发意义,并具体说明了本次设计的研究内容,即期望系统能达到什么样的要求,并总地介绍了本次论文的章节组成以及各章节的具体内容,明确地划分了本次论文的结构。
第2章 系统开发技术的介绍
2.1 MyEclipse与tomcat简介
通常在java的web程序设计中,常使用MyEclipse做编辑工具,它可以对一些常见的应用服务器比如Tomcat等进行一定程度上的整合,以此来增加系统的处理速度,因此在J2EE和数据库的相关开发领域里,用处十分广泛。
Tomcat是一种小型web程序服务器,由于它是免费开源的,并且支持一定访问量,所以常常被用来私人使用,在J2EE程序设计中成为最好的选择。换句话说,在本次开发过程中使用的Tomcat服务器,通过开发平台Myeclipse的整合,它可以做到响应来自由HTML语言所编写页面的访问请求。从本质上来说,我们可以把Tomcat服务器看作是Apache服务器的一个扩展,尽管它的工作原理和后者的工作原理仍有区别,但当我们单独使用Tomcat时,仍可以将它视为一个相对来说独立于Apache服务器的进程。
2.2 HTML/CSS简介
HTML全称叫做Hyper Text Markup Language,它是一种超文本标记语言或超文本链接语言[10],网页开发者常用它来进行各种网页界面的制作,计算机通过他来完成互联网的信息交流,借助浏览器在万维网中进行信息传递,是一种十分通用的标准语言。CSS中文名叫做层叠样式表,用于统一规范网页的外观风格[11]。
在当今全民可编程的环境下,HTML是接受度最广的网页界面制作语言,主要是因为HTML语言入门十分快速,它主要是通过不同的标签来完成网页界面中不同的部分,比如文本框、界面背景颜色等,基本上通过一定的示例就可以理解它的编写规则。HTML语言的在编写的过程中不可少的由头部部分和身体部分组成,而我们在编写界面时主要就是从这两方面入手;网页开发者通常在头部部分就加入我们需要通过浏览器访问网站时所显示的标题信息,而在它的主体部分就是我们对整个网页界面规划的内容,比如创建一个表等。随着人们审美需求的增加,网页开发者会结合JSP技术,使得整个网页界面的形式和功能更加完善。
2.3 JSP简介
JSP技术以Java语言为基础,继承了Java语言的许多优点[12]。该系统的Web应用程序的设计是以JSP技术为基础的[13,14],JSP作为一种开放动态系统的编程语言,用于创建可支持跨平台及Web服务器的动态网页[15],它通常被网页开发者与HTML语言结合起来使用,当然这并不排除它单独可用,所以从一定程度上来说它是最受网页开发者欢迎的技术之一。JSP技术不仅具有与使用的平台无关,也具有很强的安全性,因此它可以使信息系统数据更为安全可靠[16]。JSP作为当下最受欢迎和互联网技术之一,它是集多种计算机编程语言优点于一身的产物。在一般情况下,开发人员在开发一些Web应用程序时,通常都会选择HTML语言和JSP技术相结合的网页编写模式,选用Tomcat服务器和以MYSQL数据库作为数据记录的存储中心,可以说这是现有的一套开发模式,而JSP技术也起着关键作用。网页开发者可以通过它完成很多功能,JSP技术作为时下最流行的技术之一还是得益于其优点,主要包括:支持各种网页格式、其标签的可扩充性、具有良好的存储管理能力和安全性以及源于JAVA语言本身的跨平台性。最常见的还是它可以结合HTML语言进行网页编写的相关工作。
2.4 MySQL数据库概念和特点
现代计算机中存储的数据呈现暴涨的趋势,工程师便设计了数据库及其管理工具来帮助程序员解决这一问题,使用数据库后,计算机的存储数据更加有秩序,数据的冗余度大大降低,数据的独立性大大提高,程序员操作数据更加方便。配合上MySQL的可视化工具包括SQLYOG或者NAVICAT等,使得对于数据库的管理更为方便。以下是MYSQL数据库的主要特点:
(1)MySQL是一款关系数据库管理系统[17];
以上是毕业论文大纲或资料介绍,该课题完整毕业论文、开题报告、任务书、程序设计、图纸设计等资料请添加微信获取,微信号:bysjorg。
相关图片展示:









