掺杂Cu2SnS3-xMoS2复合材料的热电性能毕业论文
2020-04-23 20:15:12
摘 要
Cu2SnS3是一种新型的高性能环境友好型热电材料,它的原料丰富、无毒等优点是热电材料在应用于实际的研究中所看重的,Cu2SnS3的开发对热电材料的研究与发展有着重要意义。Cu2SnS3在掺杂Co后具备了电子晶体——声子玻璃的特性,拥有了较高的功率因数PF值,但因为电子热导也很高,所以ZT值无法得到更大提升。本课题的目的是通过引入少层状固体MoS2与Cu2SnS3进行复合,为载流子提供一个势垒,以调节载流子浓度和筛选载流子能量为手段调节热导率,从而提升ZT值。
经过课题的研究,得出结果:
1、复合MoS2后,电子热导率与电导率同步大幅下降,由此可以证明复合入MoS2确实起到了调节载流子浓度的效果,发挥了能量过滤效应的作用。
2、通过一系列样品的表征与测试,掺杂20%Co并复合不同摩尔质量比的3组样品,最终得到的ZT值相比未掺杂样均有所提升。所有样品中,掺杂20%Co并复合3%MoS2的样品ZT值达到了最大值,ZT = 0.8。
由实验结果可以验证,在P型Cu2SnS3中引入MoS2为提升Cu2SnS3性能的有效手段。
关键词:热电材料 Cu2SnS3 复合层状MoS2 ZT值
Thermoelectric properties of Cu2Sn(1-y)CoyS3-xMoS2 composites
Abstract
Cu2SnS3 is a new type of high performance environment-friendly thermoelectric material. Its rich raw materials and non-toxicity are important factors in the application of thermoelectric materials. The development of Cu2SnS3 is of great significance to the research and development of thermoelectric materials. Cu2SnS3 has the characteristics of an electron crystal-phonon glass after doping Co, and has a high power factor PF, but because the electron thermal conductivity is also high, the ZT cannot be further improved. The purpose of this project is to improve the ZT by introducing a small layered solid MoS2 and Cu2SnS3 to provide a potential barrier for carriers to adjust the carrier concentration and filter the carrier energy as a means to adjust the thermal conductivity.
After the research of the subject, the results are as follows:
1. After composite MoS2, the electronic thermal conductivity and conductivity are greatly reduced synchronously. It can be proved that the composite into MoS2 actually plays the role of adjusting the carrier concentration and exerts the effect of energy filtering effect.
2. Through a series of sample characterization and testing, doping 20% Co and compounding three sets of samples with different molar mass ratios, the final ZT is improved compared with the undoped sample. In all samples, the ZT of the sample doped with 20% Co and 3% MoS2 reached a maximum value, ZT = 0.8.
The experimental results show that the introduction of MoS2 into P-type Cu2SnS3 is an effective means to improve the performance of Cu2SnS3.
Key words: thermoelectric material;Cu2SnS3;composite layered MoS2;ZT
目录
摘要 2
Abstract 3
第1章 绪论 6
1.1 研究背景 6
1.2 热电材料性能 6
1.3 热电参数 8
1.3.1 转换效率与ZT值 8
1.3.2 塞贝克系数 9
1.3.3 电导率 9
1.3.4 热导率 9
1.4 热电性能调控 10
1.4.1 共振能态 10
1.4.2 能带收敛 11
1.4.3 能量过滤效应 11
1.5 课题研究对象 11
1.5.1 Cu2SnS3 11
1.5.2 MoS2 12
1.6 本文主要研究内容 12
第2章 实验方法 13
2.1 样品制备原料及仪器 13
2.2 样品制备方法 14
2.2.1 固相反应 14
2.2.2 制备复合相 14
2.2.3 放电等离子烧结 15
2.3 样品分析与表征 15
2.3.1 相组成分析 15
2.3.2 密度测试 15
2.3.3 电运输性能测试 16
2.4 实验流程 16
2.5 实验原理 17
第3章 数据分析 19
3.1 XRD数据 19
3.2 热电运输性能 20
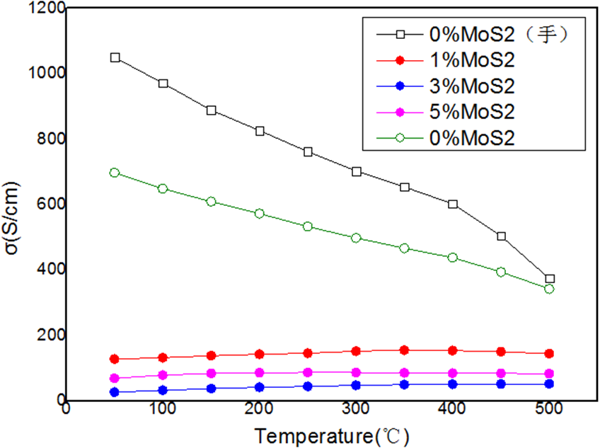
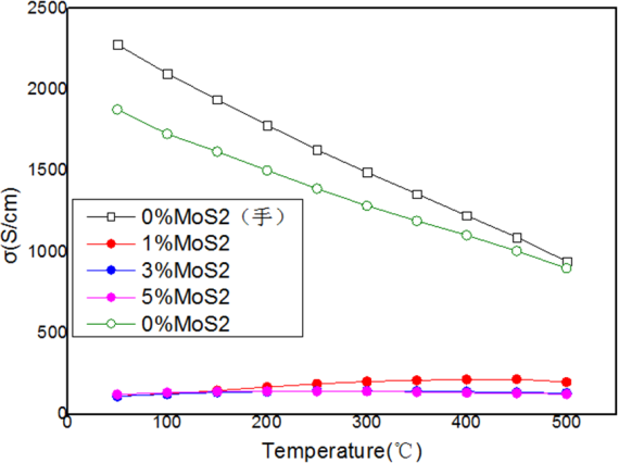
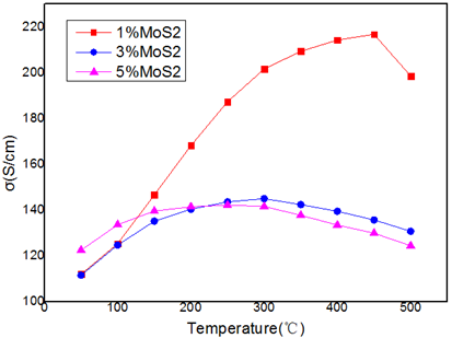
3.2.1 电导率 20
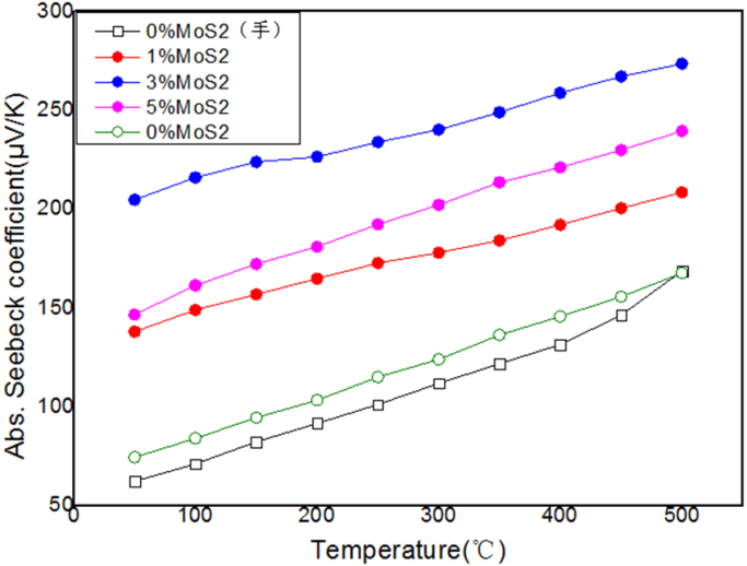
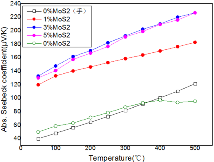
3.2.2 塞贝克系数 22
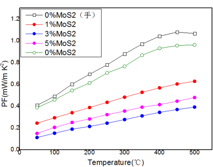
3.2.3 功率因子 23
3.2.4 热导率 24
3.3 ZT值 26
3.4 密度 27
第4章 结果与展望 28
4.1 实验结果 28
4.2 展望 29
参考文献 29
致谢 32
绪论
研究背景
在人类文明发展的进程中,资源与能源一直是被重视的对象,而发展到闲杂,人们对待资源与能源的态度已经从大力的开发与使用变成了节约与寻找新能源。热能是人类赖以生存的能源,电能则是我们维持现代生活的保障,这两种能源可以说是随处可见,也与我们的生活息息相关,而能源问题的越来越严峻,也催促着我们去寻找更多得到电能与热能的方式。众所周知,电能与热能在一定条件下可以互相转化,如利用热能发电,但现有的转化效率并不高,这会造成热能的浪费与环境的污染,为了达成可持续发展的目标,还需要找到更高效的转换方式,或者是余热利用的更多途径。
在材料的研究领域,有一种新型的材料引起了领域内的广泛关注,这就是热电材料。热电材料是一种在固体状态下,能够将热能与电能进行互相转化的材料,它作为一种新型的能量转化的介质可以对能量的高效应用做出独有的贡献,通过这种介质,不仅可以将温差转换为电流,应用在太阳能、余热发电等领域,也可以将电能转化为温差。热电材料的性能好与坏可以通过热电转换效率来判定,目前热电材料可以达到的热电转换率在实际应用中仍然较低,约为6%~11%,这相较于人们的预期还有一定的距离,随着研究的不断深入,热电材料的热电转换率仍有进步空间。
热电材料性能
通过多年的研究,人们发现热电材料的性能主要三种效应有关,分别是塞贝克效应、汤姆逊效应以及珀耳帖效应。[1]
塞贝克效应是由名为塞贝克(Seebeck)的科学家发现的,这个效应也因此被称为塞贝克效应。有时会有人说的第一热电效应就是塞贝克效应,这种效应只发生在导体和半导体上,简单说是由温差产生电压差的现象,具体说的话就是指在两种不同的电导体或者半导体之间,并且有温度差异的情况下,由于温度的差异而引起的两种物质间产生电压差的热电现象。塞贝克效应的表述由塞贝克系数来完成,如图 1‑1(a),当冷、热两端的温差ΔT不是很大的时候,ΔV与ΔT有着线性相关的关系:
相关图片展示:







您可能感兴趣的文章
- 利用污泥和低质粉煤灰制备高强度陶粒外文翻译资料
 - 注蒸汽井中硅含量对水泥石抗压强度的影响外文翻译资料
 - 碳纳米管和二氧化锰纳米粒子修饰的少层石墨烯在高性能超级电容器中的应用外文翻译资料
 - 高能MnO2纳米线/石墨烯和石墨烯不对称电化学电容器外文翻译资料
 - 影响立式辊磨机性能的操作参数外文翻译资料
 - 水泥行业立式辊磨机及其性能参数研究进展外文翻译资料
 - 立式辊磨机遇滚磨机基于能量的比较外文翻译资料
 - 一种工作在500℃以下用于固体氧化物燃料电池的铌和钽共掺杂钙钛矿阴极外文翻译资料
 - 层状钙钛矿A位缺陷的理解: 促进质子陶瓷电化学电池水氧化和氧还原的双反应动力学外文翻译资料
 - 基于细菌纤维素/木质素的柔性高石墨化碳气凝胶: 无催化剂合成及其在储能装置中的应用外文翻译资料
 

        
            
