成核剂增塑剂复合改善聚乳酸的结晶性能毕业论文
2020-04-25 20:27:42
摘 要
本文研究了不同的促进聚乳酸结晶的方法,以NT-20为成核剂,PEG为增塑剂,采用熔融共混复合改性PLA。对成核剂/增塑剂复合改性的PLA进行分析。重点研究其熔融结晶、球晶形态、晶体结构。通过Jeziorny法和Mo法研究非等温结晶动力学。通过图像和数据描述成核改性PLA 的非等温结晶动力学过程。得出结论NT-20/PEG改性后的PLA结晶速率要高于NT-20改性后的PLA样品。Kissinger法计算出的成核改性PLA的非等温结晶活化能显示,NT-20/PEG改性后的PLA样品的结晶活化能要小于NT-20改性后的PLA样品。PLM观察结果表明纯PLA的球晶具有完美的Maltese黑十字,球晶尺寸较大且密度较小,随着成核剂的加入,球晶尺寸变小,晶核数目增多,晶界变的模糊分辨不出。增塑剂的加入让球晶的尺寸变大。
关键词:聚乳酸 成核剂 增塑剂 结晶行为 非等温结晶动力学
Nucleating agent/plasticizer compound improves the crystallinity of polylactic acid
Abstract
In this paper, different methods to promote the crystallization of PLA were studied, using nt-20 as nucleating agent, PEG as plasticizer, and using melt blend to modify PLA.The PLA modified by nucleating agent/plasticizer was analyzed.The melting crystallization, spherulite morphology and crystal structure were studied.Non - isothermal crystallization kinetics was studied by Jeziorny method and Mo method.The nonisothermal crystallization kinetics of PLA modified by nucleation was described by images and data.It is concluded that the crystallization rate of nt-20 /PEG modified PLA is higher than that of nt-20 modified PLA.The non-isothermal crystallization activation energy of PLA modified by nucleation calculated by Kissinger method shows that the crystallization activation energy of nt-20 /PEG modified PLA sample is smaller than that of nt-20 modified PLA sample.
PLM observation results show that pure PLA spherulites have perfect Maltese black cross, spherulite size is large and density is small, with the addition of nucleating agent, spherulite size becomes smaller, the number of nuclei increases, and grain boundary becomes indistinct.The addition of plasticizer increases the size of spherulites.
Key words: Polylactic acid;nucleating agent;plasticizer; crystallization behavior; non-isothermal crystallization kinetics
目 录
摘要 I
Abstract II
第一章 绪论 1
1.1 引言 1
1.2聚乳酸 1
1.2.1聚乳酸的晶体结构 1
1.2.2聚乳酸的简介 1
1.2.3聚乳酸结晶性能的改善方法 2
1.3 成核剂 2
1.4 增塑剂 3
1.5非等温结晶动力学 3
1.5.1 Jeziorny法 4
1.5.2 Ozawa法 4
1.5.3 Mo法 4
1.5.4 Kissinger法 5
第二章 实验部分 5
2.1 实验主要原料 5
2.2 实验的设备 5
2.3制备样品 6
2.4 DSC测试 6
2.5 PLM测试 7
第三章 结果与讨论 8
3.1 DSC分析 8
3.1.1非等温结晶行为 8
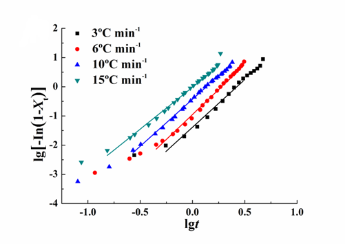
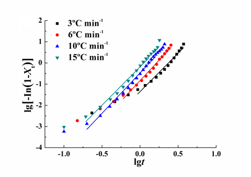
3.1.2 Jeziorny法 10
3.1.3 Ozawa法 11
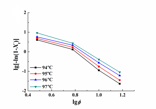
3.1.4 Mo法 11
3.1.5 Kissinger法 12
3.2 PLM分析 14
第四章 结论 16
参考文献 17
致谢 19
第一章 绪论
1.1 引言
世界塑料工业的的发展非常快,几乎所有的材料(木材,纸张,石料等)都能被塑料代替。塑料制品已经广泛应用于各个行业,各个领域。在生活中,塑料的地位越来越重要,给生活带来了方便,塑料变得越来越不可或缺。现阶段的塑料的原料大多来源于石油,但石油资源是不可再生资源,随着时间推移必定会越用越少。另一方面塑料给我们所处的生活环境带来不容小觑的污染问题。因为使用过的塑料废弃物不容易完全降解,必将导致环境污染问题的发生,所以寻找环境友好的新型材料成了现阶段的热点问题。
1.2聚乳酸
1.2.1聚乳酸的晶体结构
目前在聚乳酸中发现了四种晶格构造:α晶系、α’晶系、β晶系、γ晶系。
α晶胞的三棱边长(nm)分别为 1. 07、0. 645、2. 78 ,晶轴之间的夹角(α,β,γ) 均为90°。相关研究表明,在120℃左右时,左旋聚乳酸会生成一种新晶体α’晶,其晶胞结构和分子链构象与α晶十分相似。但这种新型晶体的分子链会出现松弛和无序现象。左旋聚乳酸的结晶温度在100-120℃时,α’晶和α晶同时存在,并且随着温度升高至155-165℃时,α’晶会转变成α晶。这进一步表明了α’晶是α晶的一种不稳定结构。
通过拉伸左旋聚乳酸纤维发现β晶系。β晶系是一种稳定的晶型,其制备方法是高温溶液纺纱法。β晶系的晶胞三棱边长(单位:/nm)分别为1. 031,1. 821,0. 900 ,晶轴间夹角(α,β,γ)均为 90°,其分子链构象是左旋 31 螺旋构象链。β晶系是三角晶体[6],晶胞三棱边长为 1. 052,1. 052,0.88。晶轴间夹角α和β为 90°,γ则为 120°。
1.2.2聚乳酸的简介
相关图片展示:







您可能感兴趣的文章
- 在200至300℃的温度下纤维素的水热降解外文翻译资料
- 对O-酰基肟光敏交联剂和丙烯酸丁酯组成的压敏胶一系列光聚合与光降解过程的直接流变学测量外文翻译资料
- 热和紫外线诱导的环氧/环氧丙烯酸酯胶粘剂的制备及其性能外文翻译资料
- 基于光敏可逆固液转换的可调光聚合物胶粘剂外文翻译资料
- 氢氧化物-催化键中近红外吸收的时间演化外文翻译资料
- 利用糖辅助机械力化学剥离技术一步法制备功能化氮化硼纳米片外文翻译资料
- 用于热管理的具有优异力学性能和超高热导率的兼容多功能氮化硼纳米片/聚合物薄膜外文翻译资料
- 油水分离材料用凹土棒复合微球的制备与表征油水分离材料用凹土棒复合微球的制备与表征外文翻译资料
- 单轴拉伸聚乙烯/氮化硼纳米复合薄膜金属状热导率外文翻译资料
- 高导热硅弹性体掺杂石墨烯纳米片和低共熔液体金属合金外文翻译资料


