凝胶电解质的制备及其在电致变色器件中的应用毕业论文
2021-11-28 21:24:57
论文总字数:31568字
摘 要
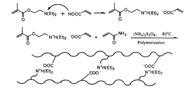
本论文通过充分调研文献,拟设计以丙烯酸(AA)、甲基丙烯酸二乙氨基乙酯(DEAM)为主要原料的实验方案,两者分别作为负正离子单体经质子化后形成离子复合物,再向体系中滴加丙烯酰胺(AAm)、纳米级TiO2粒子及氧化还原引发剂过硫酸铵(APS)与亚硫酸钾(PBS)。经自由基聚合形成凝胶,然后再浸泡到FeCl3溶液中,利用Fe3 和丙烯酸的COO-基之间的强配位作用形成基于离子键交联结构的双重物理交联水凝胶,待反应体系充分配位后将凝胶电解质取出并干燥,对所得电解质膜进行结构及性能表征。由于普鲁士蓝(PB)可作为阳极着色材料且其薄膜易于用电化学方法制备,因此采用电沉积法在氧化铟锡(ITO)透明导电玻璃上沉积普鲁士蓝(PB)薄膜,进而将其与ITO、电解质薄膜以层状结构组装成电致变色器件,研究器件的电致变色性能。
论文主要通过查阅文献,多方面对比相似体系下的研究成果,讨论了物理交联水凝胶电解质在电致变色器件中的运用,同时对通过双重物理交联及掺杂无机纳米粒子的方法进一步提高电解质的性能、优化电致变色器件性能等设想进行可行性分析。
经调研文献,充分对比相似实验研究成果,可得到拟定实验方案设计可行性较高的结论。通过本研究拟设计的实验方案有比较高的可能性可以得到理想中的双重物理交联凝胶电解质,制备出性能优异的电解质膜并运用于电致变色器件,提高器件综合性能,为电解质的设计提供新思路、新方法。
本文的特色:拟设计掺杂有无机粒子的双重物理交联凝胶电解质运用于电致变色器件并探讨其实验可行性,选用依靠离子键进行物理交联的新型聚两性电解质,因其作用力小于化学键从而提高链段的活动能力,提高离子电导率。此外通过双重物理交联及纳米粒子的加入,保证了电解质的力学性能,综合提高了电解质的性能,为运用于电致变色器件中的电解质组成提供了创新思路。
关键词:电致变色;电解质;物理交联凝胶;双重交联;纳米TiO2;
Abstract
After a comprehensive review of the literature, this study research that if take acrylic acid (AA) and methacrylic acid diethyl amino ethyl ester (DEAM) as negative ion and positive ion monomer respectively. After the protonation of DEAM by reacting with AA, the ion complexes are formed and at the same time, the cloudy solution clarifies. Then, the acrylamide (AAm), nano TiO2 particles and ammonium persulfate (APS) and potassium sulfite (PBS) which are the redox initiators of the radical polymerization, are all droped into the reaction system. After fully reaction so as to form a stable gel electrolyte, soaked the electrolyte by FeCl3 solution with proper concentration for a certain amount of time with the purpose of using the strong coordination of COO- in acrylic acid and Fe3 to form the dual physical crosslinking hydrogels in order to strengthen certain intermolecular interactions. After fully coordination and proper drying, the structure and properties of the gel electrolyte membrane will be systematically characterized. In consideration of that Prussian blue (PB) can be used as anode material and the thin film can be easily prepared by electrochemistry method, the thin film of Prussian blue (PB) will be deposited on the surface of indium tin oxide (ITO) transparent conductive glass by using the electrodeposition method. The electrochromic devices will be assembled by the four-layer structure like ITO/PB/Electrolyte/ITO and the relevant electrochromic performance will be studied.
Key Words:electrochromic; electrolyte; physical crosslinking gel;double crosslinking;nanometer-level TiO2
目 录
第1章 绪论 1
1.1 研究背景 1
1.2 电致变色器件 2
1.2.1 电致变色器件的结构组成 2
1.2.2 电致变色器件的工作原理 4
第2章 制备及测试方案设计 7
2.1 电解质的制备 7
2.2 电致变色器件的制备 8
2.2.1 PB薄膜的制备 8
2.2.2 电致变色器件的组装 8
2.3 性能测试及基本原理 9
2.3.1 机械稳定性分析 9
2.3.2 电化学稳定性 10
2.3.3 热力学稳定性 10
2.3.4 离子电导率的测定 10
2.3.5 物相分析 11
2.3.6 透光率测定 11
2.3.7 溶胀比测定 11
2.3.8电致变色性能 11
第3章 实验设计可行性分析 12
3.1 物理交联凝胶电解质运用于电致变色器件 12
3.2 双重物理交联凝胶电解质的可行性 14
3.3 掺杂纳米TiO2粒子的可行性 16
第4章 电解质及电致变色器件性能分析 18
4.1 机械稳定性 18
4.2电化学稳定性 21
4.3热力学稳定性 21
4.4离子电导率 22
4.5 物相分析 23
4.6 透光率分析 24
4.7 溶胀比 24
4.8 电致变色性能 25
第5章 结论 27
参考文献 28
致 谢 32
第1章 绪论
1.1 研究背景
伴随着人类社会的迅速发展,生态环境问题逐渐成为全球人民的热点话题,人们对节能、绿色、环保等概念的关注达到前所未有的高度。为促进现有能源经济向基于可再生能源的能源经济过渡,电致变色材料作为一种兼具高功能性及环保性的材料引起了各研究领域的广泛关注。
所谓电致变色是指材料在外加一定电压或电流的作用下,电极界面发生电子的得失,进而导致材料在可见光谱上发生对吸收波长范围的可逆性变化,即发生光学属性可逆、持久且稳固变化的现象,在外观上表现为器件在颜色和透过率上的可逆性变化[1]。Lampert等人[2]提出将电致变色器件(ECD)应用于建筑领域、车辆等诸多节能采光系统,研制在一定采光条件下根据气候、季节的变化改变可见光以及红外光透射率从而调节室内温度并实现室内亮度的动态调节的智能窗(SM)。我国建设部提出,所有新建建筑在2020年应达到节能65%,这一指标的达成离不开将电致变色技术运用于大面积的建筑用玻璃窗,电致变色器件的运用也逐渐成为了提高建筑物的节能效率的主要手段[3],能够有效解决因阳光直射导致的室内高温问题、驾驶刺眼问题,同时兼具美观装饰作用,在染料敏化太阳能电池、军事伪装技术等高新技术领域表现极大应用潜力,在玻璃幕墙、智能窗户、广告装饰和挡风玻璃等生活领域的产业化需求也呈现不断上升的趋势[4]。
自1986年日本推出调光玻璃运用于汽车领域首次实现电致变色材料商品化开始,德国、英国、法国及美国等多个海外国家已经逐渐能够批量化生产电致变色玻璃并广泛运用于诸多领域。如在电致变色智能窗方面具有国际领先技术水平的美国Sage公司,其产品迄今为止仍是建筑行业中最适合的建筑变色窗。我国对电致变色领域的研究大约起始于20世纪80年代初期,虽然相对较晚但已经取得了许多重大的突破,逐渐获得研究人员和节能材料市场越来越多的关注,许多科研单位也与相关企业建立了合作,从而在研发阶段能够更加有针对性地开发符合市场需求、具有一定商业价值及应用价值的电致变色器件。而随着科技的不断的发展,新型电致变色器件、柔性电致变色器件、自供电电致变色器件等新兴技术踊跃出现,与其他领域高新技术的结合也将成为拓展电致变色器件应用领域的一大重要方向,更多适应市场且性能优良的电致变色器件有待相关研究人员的进一步开发。
1.2 电致变色器件
1.2.1 电致变色器件的结构组成
电致变色器件按结构可分为溶液型、固液转换型和固态型。其中溶液型器件中电致变色材料在器件中的存在形式为液态,且在变色过程中始终保持液态。液固转换型电致变色器件则在材料氧化还原过程发生时,固液态的转变和颜色变化也相继发生改变[5]。固态型器件的应用最为广泛,固态薄膜的层叠结构如图1.1所示,其组装一般采用典型三明治结构,即依次由透明导电层(TC)、电致变色层(EC)、离子导电层(IC)、离子储存层(IS)与另一层TC共五层固态薄膜结构共同构成[6]。

图1.1 电致变色器件的结构示意图
透明导电层通常为镀在玻璃上的薄膜,由于具备一定导电性,因此可以在器件发生电致变色的氧化还原过程中提供电子导体[7]。应用于电致变色器件中的透明导电层应具备一定化学稳定性、极高电导率以及较高光学透光性(可见光透光率高于85%)以避免对器件的光学透过率造成影响。研究最为广泛的透明导电层材料为基于锌、铟、锡的氧化物,常采用掺杂较高态的金属元素以取代氧或增加氧空位的办法进一步提高导电层的电子导电率和光学性质[8][9]。锡掺杂的氧化铟(ITO)因其优异的导电性和透明度而成为使用价值最高且应用最为广泛的透明导电层。但相对大需求的电致变色器件而言,铟资源无法完全满足使用量,因此以镓、铝、氟、硼等元素掺杂金属氧化物所得到的GZO(ZnO : Ga)、AZO(ZnO : Al)及FTO(SnO2: F)以优异电阻率性能而逐渐成为ITO的替代材料[10][11]。
电致变色层为沉积在透明导电层上的一层电致变色材料,是器件的核心作用层,能够实现器件的光学性连续可控调节。电致变色层应当在处于褪色态时具备对光线的良好透过性,处于着色态时具备对光线的选择吸收性或反射性,还应表现有化学稳定性好、力学性能优良、循环寿命长、变色灵敏度高、光学调节程度大及着色效率高等优异性能。通常可将电致变色材料分为有机、无机和有机金属螯合物类。有机类电致变色材料主要的代表性研究物质为聚苯胺,此外还包括吡唑啉、紫罗精、亚甲基蓝、聚苯胺等有机小分子及聚合物。有机类材料具有易进行分子设计、变色迅速、较广的吸收波长范围及颜色丰富等优点,但由于该材料抗水、抗氧及抗紫外线性等化学性质较差、制备过程复杂且合成成本高,因此常采用小分子进行改性,提高应用性能。由于无机类材料电致变色过程的发生机理为电子和阳离子的插入与抽出[12],而过渡金属氧化物在d轨道所具有的未成对电子可供电子或离子的插入与抽出,因此无机类电致变色材料大部分为过渡金属氧化物及其衍生物[13]。根据其在何种氧化还原态下发生着色反应又可将材料分为阳极电致变色材料和阴极电致变色材料。阳极电致变色材料在高价氧化态则显现着色态,低价还原态则显现褪色态,,、主要有NiO、Rh2O3等第Ⅷ族及铂族金属氧化物及其水化物,其中在不同电压下能够在棕、绿、蓝及无色之间转变的普鲁士蓝,在实际应用中主要利用蓝色与无色之间可逆转变,由于该过程具有响应速度块、循环稳定性高(105数量级)等优良特性,普鲁士蓝得到了电致变色材料领域的广泛应用。阴极电致变色材料在低价还原态则为显现着色态,高价氧化态下则显现为褪色态,在主要为W、Ti、Nb、Mo等氧化物组成,其中WO3薄膜是研究最早、目前应用最广泛、最具应用前景的材料。无机类电致变色材料具有透过率调制范围大、良好的耐候性、循环寿命长、化学稳定性好等优点,但颜色较为单一、变色响应速度慢等问题需要进一步的改善。有机金属螯合物材料由位于中心的金属原子及有机配位物两者组成,电致变色过程中包含了金属原子及配位物本身等多个氧化还原过程[15][16],可实现多颜色的转变,具有较广的吸收波长范围,但因结构复杂、稳定性较差、制备过程繁琐且成本高等问题而在应用上有一定的局限性。
请支付后下载全文,论文总字数:31568字
相关图片展示:





您可能感兴趣的文章
- 在200至300℃的温度下纤维素的水热降解外文翻译资料
- 对O-酰基肟光敏交联剂和丙烯酸丁酯组成的压敏胶一系列光聚合与光降解过程的直接流变学测量外文翻译资料
- 热和紫外线诱导的环氧/环氧丙烯酸酯胶粘剂的制备及其性能外文翻译资料
- 基于光敏可逆固液转换的可调光聚合物胶粘剂外文翻译资料
- 氢氧化物-催化键中近红外吸收的时间演化外文翻译资料
- 利用糖辅助机械力化学剥离技术一步法制备功能化氮化硼纳米片外文翻译资料
- 用于热管理的具有优异力学性能和超高热导率的兼容多功能氮化硼纳米片/聚合物薄膜外文翻译资料
- 油水分离材料用凹土棒复合微球的制备与表征油水分离材料用凹土棒复合微球的制备与表征外文翻译资料
- 单轴拉伸聚乙烯/氮化硼纳米复合薄膜金属状热导率外文翻译资料
- 高导热硅弹性体掺杂石墨烯纳米片和低共熔液体金属合金外文翻译资料


