姜黄素丝素蛋白骨组织工程支架的制备及性能研究毕业论文
2020-02-19 16:18:36
摘 要
骨缺损是一类由感染、肿瘤、骨质疏松、创伤、年龄增长等多方面原因导致的骨科常见疾病。患者由于自身骨组织间的平衡被破坏而难以短时间内依靠自身机制愈合,因此常借助骨移植或药物治疗方案。但是传统的骨移植面临着供体部位少、易导致感染血肿等问题,药物治疗也存在着局部治疗效果差、全身不良反应大等风险。随着生物技术的发展,将支架、细胞、药物、细胞因子等生物材料相结合先体外培养再移植到体内的骨组织工程成为了治疗骨缺损最佳候选者。本文制备了一种负载治疗骨缺损药物的生物支架,为骨组织工程提供一种新型治疗方案。
实验材料选用生物相容性好、可支持骨细胞黏附增长的天然丝素蛋白作为支架材料,选用具有抗炎、抗氧化、抗癌、可修复骨组织平衡的姜黄素作为负载药物,通过超临界二氧化碳技术快速制备出无有机溶剂残留、具有多孔纤维结构的姜黄素CM/丝素蛋白SF支架,并利用扫描电子显微镜、傅里叶红外光谱、X射线衍射仪和紫外分光光度计对支架的理化性能、负载率和缓释性能进行表征。主要结论如下:
(1)制备出的CM/SF复合支架内部是纳米纤维网络状结构,并具有孔径约在100-200μm间的大孔和互相连接的纳米级小孔,同时姜黄素的加入并未显著影响其内部结构。
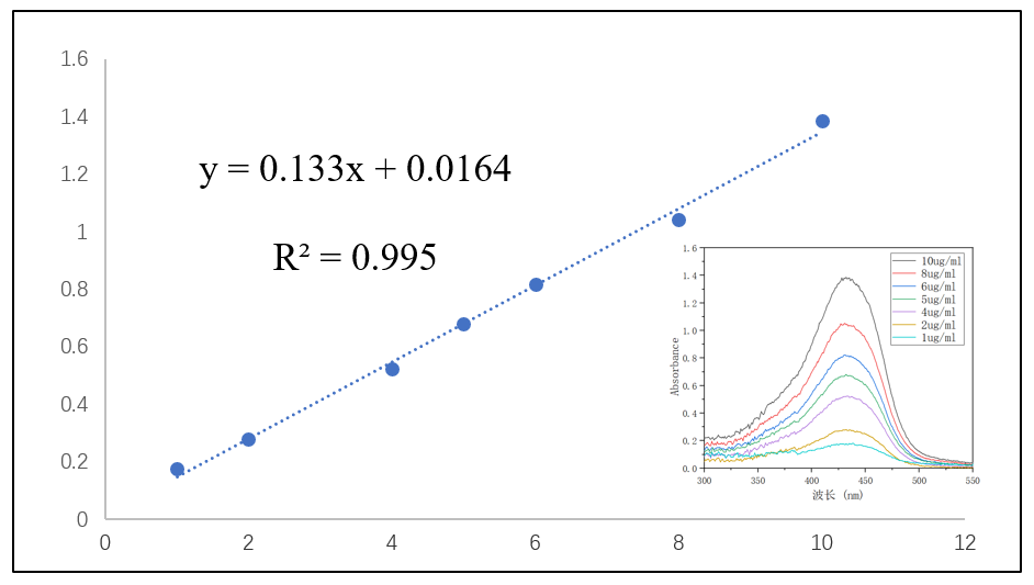
(2)不同浓度复合支架中姜黄素的负载率均可达85%以上;负载的姜黄素一部分通过静电作用物理吸附在SF支架上,另一部分通过与丝素蛋白中的酰胺基团形成氢键作用而紧密连接。
(3)7天的缓释实验中,2.5%浓度与5.0%浓度支架中CM累积释放率可达30%以上,7.5%浓度支架的CM累积释放量为11%。
关键词:丝素蛋白;姜黄素;超临界流体技术;骨组织工程;
Abstract
Bone defect is a common orthopedic disease caused by serval factors, such as infection, tumor, osteoporosis, trauma, aging and so on. Patients often resort to bone transplantation or drug therapy because the balance between their own bone tissues is destroyed and it is difficult to heal by their own mechanism in a short time. However, traditional bone transplantation is faced with the problems of less donor sites, easy to lead to infection hematoma, etc., and drug treatment also has the risks of poor local treatment effect and large systemic adverse reactions. With the development of biotechnology, bone tissue engineering, which combines biological materials such as scaffolds, cells, drugs and cytokines and is first cultured in vitro and then transplanted into the body, has become the best candidate for the treatment of bone defects. In this paper, a biological scaffold loaded with drugs for the treatment of bone defects was prepared to provide a new treatment scheme for bone tissue engineering.
Experimental materials choose natural silk fibroin as scaffold material, which has good biocompatibility and can support the growth of bone cell adhesion, and curcumin as a load drug, which is anti-inflammatory, anti-oxidant, anti-cancer and can repair the bone tissue balance. Then, a porous fiber structure of curcumin CM/silk fibroin SF scaffold was prepared by supercritical carbon dioxide technology rapidly which has no organic solvent residue. Later, the physical and chemical properties, load rate and slow release properties of scaffolds were characterized by using scanning electron microscope, Fourier infrared spectrum, X-ray diffraction and ultraviolet spectrophotometer. The main conclusions are as follows:
(1) The internal structure of the prepared CM/SF composite scaffold is a network structure of nanofibers, with 100-200μm large pores and interconnected nano-sized pores. Meanwhile, the addition of curcumin did not significantly affect its internal structure.
(2) The loading rate of curcumin in the composite scaffolds with different concentrations was all more than 85%. Part of the loaded curcumin is physically adsorbed on the SF scaffold by electrostatic action, and the other part is tightly connected by forming hydrogen bond with the amide group in the silk fibroin protein.
(3) In the 7-day sustained release experiment, the cumulative release rate of CM in the scaffolds with 2.5% concentration and 5.0% concentration was more than 30%, and that of CM in the scaffolds with 7.5% concentration was 11%.
Key Words: Silk fibroin; Curcumin; Supercritical fluid technology; bone tissue engineering
目录
第1章 绪 论 1
1.1 研究背景 1
1.2骨组织工程的研究现状 1
1.3丝素蛋白支架的发展 3
1.4姜黄素治疗机理的研究现状 5
1.5本文的研究目的及意义 6
1.6本文的主要研究内容 6
第2章 实验部分 7
2.1实验材料与药品 7
2.2实验器材与测试仪器 7
2.3姜黄素/丝素蛋白多孔支架的制备 8
2.3.1纯丝素蛋白纤维的制备 8
2.3.2超临界CO2法制备复合支架 8
2.4姜黄素/丝素蛋白多孔支架的结构表征与性能测试 8
2.4.1扫描电子显微镜(SEM)测试 8
2.4.2傅里叶红外光谱测试 9
2.4.3 X射线衍射仪(XRD)测试 9
2.4.4支架载药性能测试 9
2.4.5支架的药物缓释性能测试 10
第3章 结果与讨论 11
3.1 CM/SF支架的表面形态与内部结构分析 11
3.2 CM/SF支架的分子间作用与结晶性分析 13
3.2.1傅里叶红外光谱图结果分析 13
3.2.2 X射线衍射仪结果分析 15
3.3 不同浓度姜黄素对支架的载药性能和缓释性能的影响 16
第4章 总结与展望 19
4.1总结 19
4.2展望 19
参考文献 20
致谢 22
第1章 绪 论
1.1 研究背景
骨缺损是一类由感染、肿瘤、骨质疏松、创伤、年龄增长等多方面原因导致的骨科常见疾病。由于患者骨组织的再生与重建功能被破坏,骨间形成的间隙或损坏部位无法依赖自身机制快速治愈,因此常利用骨移植技术或外部药物来解决体内骨修复问题[[1]]。传统骨移植包括自体移植和同种异体移植。尽管这些是如今标准的治疗方法,但是他们的不足之处也十分明显:(1)由于骨移植物自身不包含血管成分且依赖于外界扩散,因此缺陷部位的尺寸以及宿主部位的活力会极大限制其实际应用效果。(2)人体内不可预测的骨吸收也会导致新骨量的维持出现问题,在大的缺陷部位,可能会出现骨生成还未完成移植物就被身体吸收了的情况。对于自体骨移植,这种技术主要面临着供体组织少,并且可能会导致供体部位感染、疼痛和血肿的问题。而异体移植则可能会带来疾病或者感染的风险,进一步可能导致骨诱导因子减少或完全丧失。
随着科学水平的进步,人们从分子水平对与骨形成有关的成骨细胞、与骨吸收有关的破骨细胞以及复杂的信号通路有了更深入的研究。这些认识推动了一些新型治疗药物的出现,旨在通过药物注射以抑制过度骨吸收或增加骨形成,如针对破骨细胞组织蛋白酶K的特异性抑制剂Odanacatib、针对NF-κB配体受体激活剂的单克隆抗体以及针对蛋白质sclerostin和dickkopf-1的抗体[[2]]。然而这些全身性治疗骨缺损的药物有着其他药物的通病——治疗不良反应大、对骨缺损局部作用小等问题[[3]]。
在这种研究背景下,针对骨修复特点将生物材料、细胞和信号因子或治疗药物相结合的骨组织工程[[4]]成为了治疗骨缺损的新型研究热点。
1.2骨组织工程的研究现状
骨组织工程治疗骨缺损的方式主要是通过生物支架材料自身或和负载的细胞、药物、生长因子等其他外源性辅助材料来促进移植部位周围的骨组织再生。其中骨再生过程包括骨诱导和骨传导两种方式。骨诱导是指细胞从非骨质环境分化成软骨细胞和成骨细胞,最终形成骨,骨诱导材料可以帮助正常情况下无法愈合的位置进行骨修复[[5]]。骨传导则主要是支持毛细血管和细胞从宿主位置向内生长到三维结构中以形成骨,因此骨传导材料主要是辅助可自我修复的损伤部分。针对骨缺损修复的特点,骨组织工程支架材料在设计时需要考虑到一系列要求,如可促进骨内再生、可以设计与骨生长相同步的吸收降解速率、可适应不规则的伤口部位、适宜的机械和物理性能、不会诱导软组织在骨与移植物面间生长、平均孔大小在100-400μm间、对体内周围组织无损害[[6]]等等。
结合应用的要求,目前科研工作者研究的生物支架材料则主要包括陶瓷类(磷酸钙、羟基磷灰石),高分子类(天然大分子如丝素蛋白、胶原蛋白、脱矿骨基质、壳聚糖、透明质酸和合成高分子如聚乳酸、聚乙二醇、聚丙交酯-乙交酯、聚己内酯)和复合材料[1]。陶瓷类材料作为支架的优点是其具有良好的骨传导性、可吸收性和生物相容性,目前主要研究与人类主要钙化组织无机成分相似的磷酸钙类。磷酸钙是一大类化合物,根据含钙量可分为磷酸一钙、磷酸二钙和磷酸三钙,其中组织工程中广泛使用的则包括β-磷酸三钙(β-TCP)和羟基磷灰石(HAp)。二者有相似的化学组成,但是在生物吸收方面表现不同。羟基磷灰石的吸收过程缓慢,一旦移植到体内,HAp便可整合到再生骨组织中,而β-TCP则可被完全吸收。尽管这两者可以与宿主组织直接形成强有力的骨连接,但是较差的机械性能限制了其只能应用于非承重方面[[7]]。高分子类材料是另一类广泛运用在骨组织工程中的支架,每种大分子都因其独特的结构而拥有不同的优点。天然高分子中胶原因含有利于成骨细胞黏附和增殖的功能基团而被广泛研究,其所含的纤维蛋白也是细胞外基质的主要成分,易支持细胞黏附和增殖,故常可被处理成膜状、纤维状材料用于骨髓间质干细胞培养。丝素作为另一种天然蛋白大分子除了具有良好的生物相容性,它还具有弹性强、机械性能好以及可设计的降解速率等诸多优点,研究也表明丝素蛋白制成的凝胶状、纤维状、薄膜状材料可促进骨再生[7]。透明质酸作为所有结缔组织中细胞外基质的主要成分之一,具有良好的粘弹性和水结合能力,同时透明质酸可以通过化学改性来转变其物理化学和生物性能。人工合成的高分子中聚乳酸类共聚物因结构可设计性、可注射法合成等优点也被广泛研究。复合材料支架则通常是将高分子材料与无机类材料相结合,以希望得到拥有二者共同优点的复合支架,如聚合物基体支架复合纳米尺寸的磷酸钙。
除了材料的选择决定了支架成功与否,支架的自身结构在骨修复过程中也扮演着重要角色。目前支架结构的研究多围绕着可模拟生物组织的3D多孔支架、凝胶和纳米纤维支架。多孔支架的自身结构因与细胞基质结构相似,因此可以促进细胞黏附、增殖、迁移以及与生物材料间的相互作用。互相连通的孔洞还有利于大分子、营养物质以及调节因子的运输。为了使多孔材料含有特定的孔大小、孔隙率、结晶度、比表面积等,目前多采用泡沫复制法、致孔剂法、冷冻干燥法、相分离法、气体发泡法、静电纺丝法、快速成型法等。水凝胶材料支架由3D网络组成,高度亲水性但是机械性能差。通常通过溶剂浇筑/颗粒浸出法、混合法、溶剂挥发法等制备成不同尺寸的膜、球、棒、管等形状。纤维材料是另一种可模拟细胞基质纤维结构的支架模式,它与胶原纤维结构相似,直径可达50-500nm。因为细胞可在直径小于自身直径的纤维上很好地黏附和增殖[[8]],所以多种实验结果也证明纤维结构的支架材料可用于骨组织工程。
在前期的研究工作中,科研工作者主要是探索出了制备骨组织工程支架的适宜材料和结构,而后期研究则围绕着可促进骨修复的各种负载物和制备方法进行改进。如Qi等人[[9]]就利用可生物降解的聚己内酯通过3D打印技术制备出了孔洞直径在 454 ± 51μm的支架材料并通过进一步处理负载了可促进血管化再生和骨再生的去铁胺。其体外实验研究表明材料可增强人脐带内皮细胞的血管生成过程和骨髓间充质细胞的成骨过程,进一步的体内研究则表明在植入大鼠股骨缺损部位后支架材料可促进血管的侵入和骨整合。Dadsetan等人[[10]]则评估了在负载重组人骨形态发生蛋白-2(rhBMP-2)情况下,不同磷酸钙涂层对多孔聚丙烯富马酸酯支架的体内骨再生作用。结果表明每种磷酸钙涂层支架都能保持开放的多孔结构并维持rhBMP-2的释放,组织学结果也证明骨架紧邻着支架表面生长,即涂层支架具有良好的骨传导性和骨整合。陈世益等人[[11]]则利用静电纺丝技术制备了纤维直径为219.4±66.5nm的丝素蛋白/聚乳酸-聚己内酯支架,并进行了生物学评价和动物实验。结果表明不仅MC3T3-E1细胞可在支架上增殖,而且动物实验的实验组腱-骨界面也可见新骨长入。
1.3丝素蛋白支架的发展
在众多支架材料中,丝素蛋白SF因不仅具有其他天然材料的良好生物相容性,还具有优良机械性能而得到广泛关注。SF来源于家蚕、蜘蛛和一些特定昆虫分泌出的丝状物,通过蛋白质水溶液的形式从不同动物中分离出来。不同动物分泌的蚕丝的分子量和组成也各有特点,如非洲野生丝蛾产生的蚕丝丝氨酸、天冬氨酸和精氨酸的含量明显较多,这些氨基酸可影响细胞的附着也可改变侧链修饰的化学反应性;中国的柞蚕蚕丝则拥有精氨酸-甘氨酸-天冬氨酸氨基酸序列,这些也可以介导细胞的附着;之后kraig Biocraft实验室研发出了家蚕丝和蜘蛛丝的复合丝素蛋白纤维,据报道这种嵌合丝比一般蚕丝更柔韧[[12]]。丝素自身氨基酸序列则主要由轻链和重链两种不同的单元组成,轻链与重链间通过二硫键连接。轻链由不重复的、更亲水的序列构成,重链的氨基酸序列则包含重复的疏水性嵌段和二肽序列[[13]]。正是因为具有这些与人体内氨基酸相同的成分,丝素具有优良的生物相容性,从而很早便被开发作为手术缝合线等医用材料。
不同于其他合成类高分子,丝素蛋白支架自身便可一定程度上促进骨修复。研究表明,骨髓间质干细胞可在SF支架内沿着成骨谱系分化并使细胞外基质矿化,成骨细胞和破骨细胞也可在蒸气处理和甲醇处理的SF薄膜上单个或共同培养生长。同时SF的水解产物可抑制RAW264.7细胞中RANKL诱导的酒石酸抗性酸性磷酸酶(TRAP),因此SF裂解物可以用作天然化合物一定程度上减少破骨细胞生成来防止骨质流失。尽管实验发现了丝素蛋白与骨组织间的部分关系,但是仍然需要研究丝素作为整个支架材料对细胞和体内移植位置的整体影响。
早在2005年Meinel等人[[14]]便首次探索了具有3D多孔结构的丝素蛋白支架用于骨组织工程可能性。他们将通过挥发溶剂和制孔剂的方式制备得到的丝素支架与人间充质干细胞体外共同培养五周,然后移植到动物体内骨缺损部位。五周后的基因表达分析、生化测定以及X射线衍射等测试表明在支架中形成的有机和无机组分类似于骨的组织,同时动物实验也体现了这些植入物具备诱导晚期骨形成的能力。之后十几年间,人们则围绕着不同的制备方式、负载物与支架形式对丝素蛋白支架展开了更多维的研究工作。Pallotta等人[[15]]利用超声处理的丝素凝胶与血小板凝胶混合以延长生长因子的释放,并注射至裸鼠体内实验。结果表明丝素凝胶可增强血小板凝胶的流变性能和压缩刚度,材料在动物体内也被证明增强了细胞浸润和血管的形成。Thimm等人[[16]]则通过溶剂挥发法制备了丝素蛋白多孔支架并评估了支架孔径对细胞外基质(ECM)矿化的影响。实验使用了无创延时微计算机断层扫描以检测在成骨培养基中支架上ECM矿化情况,根据钙沉积、碱性磷酸酶活性和细胞代谢活性等指标证实了人骨髓间质干细胞在丝素蛋白支架上的初始预培养期可加速ECM矿化形成。Schacht等人[[17]]则利用重组蜘蛛丝蛋白产生的丝素水凝胶作为3D打印的印刷液,直接将人纤维原细胞加入到印刷液中构成一种生物墨水,结果表明这种3D打印的细胞负载构建体可保持7天以上的高细胞活力,并且打印过程不会导致材料的结构转变或影响细胞与材料间的相互作用。
相比于传统的丝素蛋白支架的合成方法,如冷冻干燥法、静电纺丝法和快速成型法[[18]]等,气体发泡法和致孔剂法有了新的发展和改进———超临界二氧化碳(SC-CO2)干燥技术。常见的气体发泡法是指将丝素蛋白溶液与碳酸盐类化合物制成混合物后加入到容器中,待溶剂部分自然挥发后浸入热水中发泡,使加入的碳酸盐变成气体挥发留下孔洞,最后冷冻干燥得到多孔支架。致孔剂法则是将致孔剂颗粒如氯化钠、蔗糖和石蜡颗粒等加入到丝素蛋白溶液中,使二者混合均匀后固化,再通过混合物在水等溶液中的溶解性不同使致孔剂析出,最后干燥得到具有孔隙的丝素支架。随着实验技术手段的不断更新,人们对两种方法进行了综合与改善,如Thimm等人[16]就将纯SF溶解在六氟异丙醇中制得丝素蛋白溶液,后将氯化钠颗粒掺入,待有机溶剂六氟异丙醇挥发后,用甲醇处理诱导丝素结构转变成水不溶性β晶体结构,最后将样品放在超纯水中培养除去氯化钠颗粒。但是这些方法仍然面临着有机溶剂残留和溶剂挥发慢关键问题,而随后发展的超临界CO2干燥技术则很好地解决了这个此难题。
以上是毕业论文大纲或资料介绍,该课题完整毕业论文、开题报告、任务书、程序设计、图纸设计等资料请添加微信获取,微信号:bysjorg。
相关图片展示:







您可能感兴趣的文章
- 在200至300℃的温度下纤维素的水热降解外文翻译资料
- 对O-酰基肟光敏交联剂和丙烯酸丁酯组成的压敏胶一系列光聚合与光降解过程的直接流变学测量外文翻译资料
- 热和紫外线诱导的环氧/环氧丙烯酸酯胶粘剂的制备及其性能外文翻译资料
- 基于光敏可逆固液转换的可调光聚合物胶粘剂外文翻译资料
- 氢氧化物-催化键中近红外吸收的时间演化外文翻译资料
- 利用糖辅助机械力化学剥离技术一步法制备功能化氮化硼纳米片外文翻译资料
- 用于热管理的具有优异力学性能和超高热导率的兼容多功能氮化硼纳米片/聚合物薄膜外文翻译资料
- 油水分离材料用凹土棒复合微球的制备与表征油水分离材料用凹土棒复合微球的制备与表征外文翻译资料
- 单轴拉伸聚乙烯/氮化硼纳米复合薄膜金属状热导率外文翻译资料
- 高导热硅弹性体掺杂石墨烯纳米片和低共熔液体金属合金外文翻译资料


