Ru@g-C3N4光催化剂的制备及性能研究毕业论文
2020-06-16 06:51:11
摘 要
伴随着经济的发展,人们越来越追求高品质的生活,环境污染、资源浪费等问题也随之而来,针对这些问题,世界各国也采取了各种应对方法,目前半导体光催化已成为最有前景的技术之一。一方面它能利用丰富的太阳能资源对污染物降解,另一方面化石燃料的燃烧也大大降低。石墨相氮化碳(g-C3N4)带隙宽度为2.7 ev,能直接吸收可见光[1],并且具有良好的化学稳定性、无毒、原料丰富且价格便宜而受到人们广泛的关注。但纯的g-C3N4材料作光催化剂时复合率较高,光催化性能一般[2],因此,需要对g-C3N4改性来改变表面界面性质,从而提高它光催化活性。
本文主要通过掺杂钌对g-C3N4进行改性。采用热解有机物的方法,在马弗炉中以550℃煅烧三聚氰胺3 h得到g-C3N4;用沉积法制得Ru@g-C3N4,但是效果不太明显,为了获得更好的光催化性能,我们尝试采用水热法制备Ru/TiO2/ g-C3N4来探究其光催化性能。两者的方法都是控制RuCl3的量以达到控制Ru的量,最终来讨论两种光催化剂对光催化性能的影响。
关键词:钌,氮化碳,光催化剂,可见光
Preparation and Properties of Ru@g-C3N4 Photocatalyst
Abstract
Resource shortage, serious environmental pollution and the speed of economic development, the contradiction between the people more and more obvious, the people of the demand for resources, environmental pollution problems strongly. In view of these problems, semiconductor photocatalysis has become one of the most promising technologies. On the one hand it can use a wealth of solar energy resources on the degradation of pollutants, on the other hand it can effectively reduce the burning of fossil fuels. Graphite phase carbon nitride (g-C3N4) bandgap width of 2.7ev, can directly absorb visible light, and has good chemical stability, non-toxic, rich raw materials and cheap and widespread concern. However, when used as a single semiconductor material, its photo-generated electron-hole pairs will have a high recombination rate, which leads to low photocatalytic activity of g-C3N4. Therefore, the photocatalytic activity of carbon monoxide is improved.
In this paper, g-C3N4 was modified by doping ruthenium. g-C3N4 was prepared by pyrolyzing organic matter at 550℃ for 3 hours. Ru@g-C3N4 was prepared by precipitation method. In order to further study the effect of cocatalyst on the photocatalytic performance of the semiconductor, we also carried out another experiment. Preparation of Ru/TiO2/g-C3N4 by Hydrothermal Method. The two methods are to control the amount of RuCl3 to achieve the amount of control Ru, and ultimately to discuss the two photocatalysts on the photocatalytic performance.
Key words: Ru, carbon nitride, photocatalyst, visible light
目 录
摘 要 I
ABSTRACT II
第一章 绪论 1
1.1 引言 1
1.2半导体光催化剂的机理 1
1.3 g-C3N4概述 3
1.3.1 g-C3N4的研究简介 3
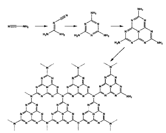
1.3.2 g-C 3N 4的制备 4
1.4 常用的半导体光催化剂的改性技术 5
1.5本课题研究的意义 6
第二章 实验部分 8
2.1 实验试剂 8
2.2 实验仪器和装置 8
2.2.1实验中所用的主要仪器如表 8
2.2.2实验装置 9
2.3 原料制备 9
2.3.1 制备不同PH值的罗丹明溶液 9
2.3.2 纯g-C3N4的制备 10
2.3.3 Ru@ g-C3N4光催化剂的制备 10
2.3.4 水热法制备Ru/TiO2/ g-C3N4光催化剂 10
2.3.5 光催化降解测试方法 11
第三章 结果与讨论 12
3.1 pH值对光催化剂的影响 12
3.2 光催化剂Ru@ g-C3N4的表征分析 12
3.2.1 XRD分析 12
3.2.2 FT-IR分析 13
3.3 Ru@g-C3N4的光催化性能分析 15
3.4 不同比例的钌对Ru/TiO2/ g-C3N4光催化性能的影响 16
第四章 总结与展望 18
4.1 总结 18
4.2 展望 18
参考文献 20
致谢 23
第一章 绪论
1.1 引言
经济飞速发展,随之而来的是环境污染、资源浪费等问题层出不穷。寻找新型能源,如太阳能、风能、水能、核能等清洁能源迫在眉睫。而我们平时也必须要养成环保、节约的习惯。太阳能是一种干净的能源,资源丰富。太阳能有很多的用途,半导体光催化技术就是用途之一。它是依靠太阳能发展起来的。它既能减少资源的浪费,还能减轻水质污染。目前,科学家们对半导体光催化技术越来越关注,有以下两个原因:一是它能改善水质、降低土壤污染;二是光催化技术越来越成熟。
目前, g-C3N4光催化还存在很多问题,重视基础理论、发展创新思维将对这一领域提供帮助。光催化基本理论,包含g-C3N4和各种金属离子的合成,不同光催化剂的制备方法和工艺参数。同时也包括在改性条件下,如何维持其化学稳定性能,如何通过改性来改良光生电子和空穴的分离 [3]。为了解决这些问题,需要多门学科的配合,以此达到改性g-C3N4光催化剂的目的,再利用先进的表征方法对其表征 [4]。Ru@g-C3N4光催化体系占光催化中的比例还很小,仍处于开拓阶段,其发展前景十分可观。将会对我国提倡的绿色经济提供又一解决方案。
1.2半导体光催化剂的机理
半导体的导电性介于导体与绝缘体之间,其中禁带宽度大约在0.2~3.5 eV。它的禁带宽度决定了半导体具有一些重要的性质,比如对温度敏感、对光照敏感、对某些气体敏感、对压力敏感等性质。我们可以将半导体想象成由价带(VB)、导带(CB)、禁带[3]组成。当一束太阳光通过半导体时,若入射光的能量大于等于光子跃迁所需能量时,电子获得能量从基态跃迁至激发态,即从价带向导带移动。此时价带上因失去电子而变成空穴,而导带上会得到价带上的电子。如果入射光的能量小于光子跃迁所需的能量时,将不会产生跃迁。价带由于失去了电子,所以具有很强的氧化性能,而导带得到电子,所以具有的很好的还原性,从而能和光催化剂发生氧化还原反应。
相关图片展示:







您可能感兴趣的文章
- 在200至300℃的温度下纤维素的水热降解外文翻译资料
- 对O-酰基肟光敏交联剂和丙烯酸丁酯组成的压敏胶一系列光聚合与光降解过程的直接流变学测量外文翻译资料
- 热和紫外线诱导的环氧/环氧丙烯酸酯胶粘剂的制备及其性能外文翻译资料
- 基于光敏可逆固液转换的可调光聚合物胶粘剂外文翻译资料
- 氢氧化物-催化键中近红外吸收的时间演化外文翻译资料
- 利用糖辅助机械力化学剥离技术一步法制备功能化氮化硼纳米片外文翻译资料
- 用于热管理的具有优异力学性能和超高热导率的兼容多功能氮化硼纳米片/聚合物薄膜外文翻译资料
- 油水分离材料用凹土棒复合微球的制备与表征油水分离材料用凹土棒复合微球的制备与表征外文翻译资料
- 单轴拉伸聚乙烯/氮化硼纳米复合薄膜金属状热导率外文翻译资料
- 高导热硅弹性体掺杂石墨烯纳米片和低共熔液体金属合金外文翻译资料


