片状无机填料对聚酯阻隔性能的影响研究毕业论文
2020-06-12 20:21:40
摘 要
近年来,聚酯行业发展迅猛,聚酯产品也越来越受到人们的欢迎,与此同时,更好性能的聚酯产品也就呼之欲出。本论文主要研究了无机填料,扩链剂等对聚酯阻隔性能及力学性能的影响。
本论文主要工作:选用两种不同熔点的聚酯,在聚酯中加入3%扩链剂,3%蒙脱土,5%蒙脱土及3%云母,将这些材料用转矩流变仪共混,再用平板硫化机进行压片。通过电子万能试验机、气体渗透仪、差示扫描量热仪等对样品进行分析,得出了以下结论:
PET/3%扩链剂/3%MMT的力学性能与阻隔性能都有了提升。而加入了5%蒙脱土后的聚酯,聚酯薄片的性能有所下滑。但在聚酯膜的力学性能上却增加了不少。而正常熔点的聚酯在加入了蒙脱土后,力学性能平稳上升,但阻隔性能会略有下降。加入了3%超声分离的云母后的聚酯,不管是薄片还是薄膜,力学性能与阻隔性能都大幅度下滑。由此我们知道,蒙脱土的加入能够有效的改善聚酯的阻隔性与力学性能。其中3%蒙脱土的综合性能最优。
关键词:聚酯 无机填料 阻隔性 力学性能
Study on the Effect of Flaky Inorganic Filler on Polyester Barrier Properties
Abstract
In recent years, the rapid development of polyester industry, polyester products are more and more people welcome, at the same time, better performance of polyester products also ready to come out. In this paper, the effects of inorganic filler and chain extender on the barrier properties and mechanical properties of polyester were studied.
The main work of this paper: the use of two different melting point of the polyester, in the polyester by adding 3% chain extender, 3% montmorillonite, 5% montmorillonite and 3% mica, these materials with torque rheometer blending.and then tablet presses. The samples were analyzed by means of electronic universal testing machine, gas permeation tester and differential scanning calorimeter. The following conclusions were drawn:
PET / 3% chain extender / 3% MMT mechanical properties and barrier properties have improved. While the addition of 5% montmorillonite after the polyester, polyester film performance has declined. But in the mechanical properties of polyester film has increased a lot. The normal melting point of the polyester in the addition of montmorillonite, the mechanical properties of a smooth rise, but the barrier performance will be slightly decreased. The addition of 3% ultrasonic separation of mica after the polyester, whether it is thin or film, mechanical properties and barrier properties are significantly reduced. From this we know that the addition of montmorillonite can effectively improve the barrier properties and mechanical properties of polyester. Among them, the comprehensive performance of 3% montmorillonite is the best.
Key words:Polyester; Inorganic fillers; Barrier; Mechanical properties
目 录
摘 要 I
Abstract II
第一章 绪论 1
1.1聚酯膜高阻隔性的应用领域及要求 1
1.2片状无机填料的概述 1
1.3氧气、水蒸汽等透过高分子膜的机理、过程及模型概述 3
1.4高阻隔性聚酯膜的改性方法 3
1.4.1共聚改性 4
1.4.2共混改性 4
1.4.3表面涂层改性 5
1.4.4.纳米复合改性 5
1.5高阻隔性聚酯的现状及展望 5
1.6本实验的预期目标 7
第二章 实验部分 9
2.1实验原料 9
2.2实验仪器 9
2.3不同配比聚酯的密炼 9
2.4聚酯薄片的制备 10
2.5分析实验 11
2.5.1光学显微镜观察 11
2.5.2DSC测试 11
2.5.3氧气透过率测定 11
2.5.4力学性能测试 11
2.5.5透光性测试 12
第三章 结果与讨论 13
3.1不同配比的分散性 13
3.2DSC分析 13
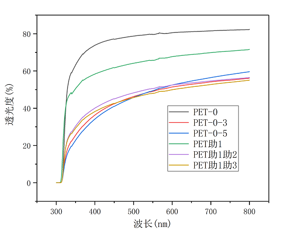
3.2透光度分析 14
3.4透氧性能的分析 15
3.5拉伸性能分析 15
第四章 结论与展望 17
参考文献 19
致谢 22
第一章 绪论
1.1聚酯膜高阻隔性的应用领域及要求
高阻隔性 PET 作为非纤用聚酯, 主要用在对食品、饮料等的包装领域,以阻止氧气、水汽、二氧化碳的渗透。阻隔性包装薄膜是用量较大的包装制品 ,在国际包装行业尤其是食品包装、医药包装中越来越得到强调,该薄膜一般由阻隔性较差的基础树脂 PET 、阻隔性树脂和粘结剂组成, 利用各种材料的优点,既降低了单层阻隔性薄膜的成本 ,又可达到良好的气体阻隔性、保香性、透明性和较好的力学性能, 以防止食品变质、氧化腐败、水分和香味逸失, 耐油质, 满足内容物的各种要求 ,延长商品货架寿命和保质期限 ,耗材少 ,包装综合性能优越,成为新包装技术的典型代表。聚对苯二甲酸乙二醇酯(PET)自商品化以来, 廉价的原料及所制的薄膜和容器质轻、透明、容易重新密封,使用领域和用量越来越大 ,成为塑料包装中用量增长最快的树脂。目前, 世界上每年仅 PET 瓶消费树脂300 万吨以上 ,大部分作为一次性包装使用, 被美国科学工业界评价为 20 世纪包装业的最大成就。近几年,随着人们生活水平和消费水平的日益提高 ,对塑料包装的高性能、多功能性及环境友好性的要求越来越高。其中,高阻隔性作为PET 包装材料的主要功能 ,日益受到人们的关注, 并得到了迅速发展。所谓高阻隔性通常是指对气液渗透物具有高阻隔作用的材料 ,即防止氧的侵入以免商品氧化变质;防止水或水蒸气的渗透以免商品受潮变霉;防止香气、香味和二氧化碳外逸,以免商品变味和变质等。本文就高阻隔性 PET 在国内外市场的现状和技术发展进行了系统分析。
1.2片状无机填料的概述
相关图片展示:






您可能感兴趣的文章
- 在200至300℃的温度下纤维素的水热降解外文翻译资料
- 对O-酰基肟光敏交联剂和丙烯酸丁酯组成的压敏胶一系列光聚合与光降解过程的直接流变学测量外文翻译资料
- 热和紫外线诱导的环氧/环氧丙烯酸酯胶粘剂的制备及其性能外文翻译资料
- 基于光敏可逆固液转换的可调光聚合物胶粘剂外文翻译资料
- 氢氧化物-催化键中近红外吸收的时间演化外文翻译资料
- 利用糖辅助机械力化学剥离技术一步法制备功能化氮化硼纳米片外文翻译资料
- 用于热管理的具有优异力学性能和超高热导率的兼容多功能氮化硼纳米片/聚合物薄膜外文翻译资料
- 油水分离材料用凹土棒复合微球的制备与表征油水分离材料用凹土棒复合微球的制备与表征外文翻译资料
- 单轴拉伸聚乙烯/氮化硼纳米复合薄膜金属状热导率外文翻译资料
- 高导热硅弹性体掺杂石墨烯纳米片和低共熔液体金属合金外文翻译资料


