聚苯醚的官能化改性与性能研究毕业论文
2020-02-19 15:49:47
摘 要
随着信息产业化的不断发展,对信号传输速度和传递损失要求越来越高,低介电、低损耗覆铜板的开发成为目前研究的热点。聚苯醚(PPO)树脂由于分子结构对称、不含强极性基团,且主链上具有刚性的苯环,介电性能优异、耐热性好、物理机械性能突出,作为为数不多的几种综合性能优异的树脂之一,在低损耗覆铜板中具有广阔的应用前景。但是PPO存在加工困难、耐溶剂性差等弱点,需要对其进行改性来更好地满足使用需求。
通过降低分子量,能够在保持PPO原有优良性质的基础上,降低黏度、改善加工流动性,但PPO分子量的大小还会影响它的热稳定性和介电性能,需要对其进行合理控制。对PPO进行热固改性可以提高其耐溶剂性,目前结构官能化是PPO热固改性中最有前景的一种,但改性官能团会影响固化反应的进行,因此需要进一步研究工艺条件来使PPO有效固化。
本文针对PPO存在加工困难、耐溶剂性差的缺点,从降低PPO的分子量并对其进行热固改性的思路出发,采用再分配方法制备低分子量双端羟基聚苯醚(PPO-2OH),通过在PPO-2OH分子链两端引入乙烯基苄基对其进行官能化改性,利用不饱和双键加成得到PPO固化树脂,研究固化工艺参数对树脂固化程度的影响以及PPO的分子量大小对其加工工艺和最终固化物性能的影响。
实验结果表明:
(1)通过再分配法成功降低了PPO的分子量,当引发剂BPO用量为20%(相对于PPO的质量分数)时,PPO的数均分子量从25172降低至4121,且随着BPO用量的增加,分子量分布越均一;
(2)随着固化温度和时间提高,官能化改性聚苯醚固化后在甲苯中的质量变化率降低,表明交联程度增大,当固化温度为200℃、固化时间为1h时,树脂固化较完全;
(3)通过降低PPO的分子量并对其进行官能化改性提高了它的加工性能和耐溶剂性,PPO的分子量越小且分布越均一,其越容易在甲苯中溶解、溶液黏度越低、所得固化物中的交联结构越多、在溶剂中的质量变化率越小。但PPO分子链的刚性和结构对称性会随着分子量的降低而变差,当PPO的分子量均一降低至5996时,其热稳定性和介电性能变差。
关键词:聚苯醚;官能化改性;分子量;固化;
Abstract
With the continuous development of information industrialization, the requirements for signal transmission speed and transmission loss are getting higher and higher. The development of low dielectric and low loss copper clad laminates has become a hot research topic. Polyphenylene ether (PPO) resin has symmetrical structure, no strong polar group, and rigid benzene ring in the main chain. It has excellent dielectric properties, good heat resistance and outstanding physical and mechanical properties. One of several resins with excellent comprehensive performance has broad application prospects in low-loss copper clad laminates. However, polyphenylene ether has disadvantages such as difficulty in processing and poor solvent resistance, and needs to be modified to meet the needs of use.
By lowering the molecular weight, the viscosity can be lowered and the processing fluidity can be improved while maintaining the original excellent properties of PPO. However, the molecular weight of PPO also affects its thermal stability and dielectric properties, and it needs to be properly controlled. The thermosetting modification of PPO can improve its solvent resistance. At present, structural functionalization is the most promising one in PPO thermosetting modification, but the modified functional group will affect the curing reaction. How to effectively cure PPO needs further the study.
In this paper, low molecular weight double-ended hydroxy polyphenylene ether (PPO-2OH) was prepared by redistribution method. It was functionalized by introducing vinyl benzyl group at both ends of PPO-2OH molecular chain, and it was obtained by unsaturated double bond addition. PPO curing resin, study the effect of curing process parameters on the degree of curing of the resin and the effect of the molecular weight of PPO on its processing technology and final cured product properties.
The results indicate that:
(1) The molecular weight of PPO was successfully reduced by redistribution method. When the amount of initiator BPO was 20% (relative to the mass fraction of PPO), the number average molecular weight of PPO decreased from 25172 to 4121, and with the increase of BPO dosage. , the more uniform the molecular weight distribution;
(2) As the curing temperature and time increase, the mass change rate of the functionalized modified polyphenylene ether in toluene decreases, indicating that the degree of crosslinking increases. When the curing temperature is 200 ° C and the curing time is 1 h, the resin Curing is more complete;
(3) It improves the processability and solvent resistance by reducing the molecular weight of PPO and modifying it. The smaller the molecular weight of PPO and the more uniform the distribution, the easier it is to dissolve in toluene, and the lower the viscosity of the solution. The more the crosslinked structure in the obtained cured product, the smaller the rate of change in mass in the solvent. However, the rigidity and structural symmetry of the PPO molecular chain deteriorates with the decrease of the molecular weight. When the molecular weight of the PPO is uniformly reduced to 5996, the thermal stability and dielectric properties are deteriorated.
Key Words:Polyphenylene ether; functional modification; molecular weight; curing;
目 录
第1章 绪论 1
1.1 前言 1
1.2 聚苯醚树脂概况 2
1.2.1 聚苯醚的结构 2
1.2.2 聚苯醚的性能 2
1.3 聚苯醚的改性方法 3
1.3.1 聚苯醚的低分子量化 3
1.3.2 聚苯醚的热固改性 5
1.4 本文研究内容 7
第2章 实验过程 8
2.1 聚苯醚的再分配 8
2.2 聚苯醚的官能化改性 8
2.3 改性聚苯醚的固化反应 9
2.4 测试与表征 9
2.4.1 聚苯醚分子量及其分布的测定 9
2.4.2 聚苯醚分子结构的表征 9
2.4.3 聚苯醚固化反应的表征 9
2.4.4 聚苯醚溶解性能的测定 9
2.4.5 聚苯醚粘度的表征 10
2.4.6 聚苯醚耐溶剂性能的表征 10
2.4.7 聚苯醚热稳定性能的表征 10
2.4.8 聚苯醚介电性能的表征 10
第3章 实验结果分析 11
3.1 聚苯醚的结构表征 11
3.1.1 聚苯醚的分子量及分子量分布测定 11
3.1.2 官能化改性聚苯醚的红外分析 12
3.1.3 官能化改性聚苯醚的核磁共振分析 13
3.2 聚苯醚的固化反应分析 15
3.2.1 官能化改性聚苯醚固化的红外分析 15
3.2.2 官能化改性聚苯醚DSC分析 17
3.3 聚苯醚的性能分析 21
3.3.1 加工性能分析 21
3.3.2 耐溶剂性能分析 23
3.3.3 热稳定性分析 25
3.3.4 介电性能分析 26
第4章 结论与展望 28
参考文献 29
致 谢 31
附录1 32
附录2 33
第1章 绪论
1.1 前言
随着时代的飞速发展,无线通信和各类信息一直在拓展,电信号的频率已经增加到GHz频段。具有高工作频率电路和高频信号的电气设备不断研发,以满足客户的需求。例如无线通信在我们的日常个人生活中起着重要的作用。还有在通讯行业的高频滤波运行的卫星、微波天线、电子交换机等设备也在极速进步。特别是移动智能电话和WiFi,需要高传输速度,高保真的电路基板元件[1]。制备良好的电路基板,可以从两个角度出发思考。第一个角度就是高性能的树脂基体,第二个角度就是选择一种综合性能较为优异的增强材料。树脂基体在复合材料里面起到了一个连接增强材料和传递部分载荷的作用,它的性能是树脂基体复合材料的基础,对于复合材料整体性能有极大的影响作用。
印刷电路板的基体树脂可以分为两类,热固性树脂和热塑性树脂。其中,热固性树脂由反应性低分子量的预聚体交联反应得到,自身可以发生固化形成交联网络体系,热固性树脂的耐溶剂性能优良。但是热固性树脂本身带有极性基团,所以介电性能差,无法满足电路基板的需求。相比之下,热塑性树脂介电性能优异,耐热性好,物理机械性能突出。但是热塑性树脂无法发生交联固化反应,会溶于一些溶剂中,加工性能差,需要进行改善。
聚四氟乙烯(PTFE)有最优异的介电性能,它制得的覆铜板被广泛应用于印刷电路[2]。聚四氟乙烯分子结构高度对称,具有十分优异的介电性能。由于氟原子是电负性最大的元素,所以C-F键极短,使得键能加强,整个高分子链排列成螺旋密排状,所以聚四氟乙烯具有优良的耐酸碱性,耐化学药品性能和耐湿热性能[3]。但是,聚四氟乙烯存在着致命的缺点,它的热膨胀系数很大(当温度从23℃降低至-196℃时,它的收缩率达到2%,从23℃升高至250℃时,体积膨胀4%),与铜箔的膨胀系数有较大差距。这使得加工PCB电路板腐蚀成印刷电路板时,树脂基板与铜箔热变形尺寸不匹配,导致电路板变形,影响电路器件的可靠性[4]。虽然PTFE 具有十分优良的介电性能,但是热膨胀系数过大,不利于电路基板的尺寸稳定性,加工成本高。
PPO的介电性能仅次于聚四氟乙烯,它还有优异的机械性能,高尺寸稳定性和低吸湿性。和聚四氟乙烯相比,PPO的热膨胀小,受热尺寸发生变化时,可以和铜箔尺寸相匹配。PPO的良好性能使其逐渐成为人们关注的焦点[5]。但是,作为热塑性树脂基体,PPO也有热塑性树脂的缺点,溶解粘度高流动性差,加工困难[6]。此外,PPO在卤代脂肪烃和芳香烃类溶剂(例如二氯乙烷和甲苯等)中,会发生溶胀或溶解,耐溶剂性能不佳。加工性能和耐溶剂性能差,是聚苯醚在应用过程中受到限制的重要原因。为了PPO能得到广泛的应用,我们必须对PPO进行改性,使之成为一种制造高性能覆铜板印刷电路的理想基体树脂材料。
1.2 聚苯醚树脂概况
1.2.1 聚苯醚的结构
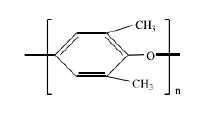
聚苯醚是五大工程塑料之一,通常是指聚2,6-二甲基-1,4-苯醚,白色的粉末状固体。化学结构式表示如下图:

图1.1 聚苯醚的结构[7]
聚苯醚是通过氧化耦合反应缩聚而成[8],室温下,以硝基苯为溶剂,通入氧气,铜胺催化剂氧化偶联聚合2,6-二甲基苯酚制备合成聚苯醚。近年来发现生化酶具有高反应活性,能够产生金属和其它络合物催化剂无法制备的聚合物,能作为一种新型催化剂氧化聚合产生聚苯醚。
结构上来看,聚苯醚分子链上苯环的2,6邻位上有两个甲基,封闭了两邻位的活性,导致整个分子链的活性降低,也增大了分子之间凝聚力。主链上含有大量芳环,使整个分子链段的柔顺性降低,具有极大的刚性[9]。因此聚苯醚的玻璃化转变温度Tg是所有工程塑料中最高的,具有良好的热稳定性。聚苯醚分子链的刚性大,受力时,分子链段不易运动,产生的形变小,具有较好的尺寸稳定性。聚苯醚的分子链无明显的极性,结构对称性好,使其拥有优异的介电性能。在聚苯醚的整个大分子链上不存在会水解的基团,使其有优异的耐水性。
1.2.2 聚苯醚的性能
PPO树脂具有一系列良好的物理化学性能,包括优异的物理机械性能和电气性能。在特殊的高温、潮湿和高负载的情况下,PPO基覆铜板仍然能够表现出良好的电气性能,这使得它在高频PCB领域受到广泛的应用。但是PPO作为一种热塑性树脂,它存在一些严重缺陷,加工性能差和耐溶剂性能差。必须要通过改性,才能被更加广泛的应用在各个领域中。
聚苯醚的优点:
(1)良好的物理机械性能。聚苯醚的分子链段上含有苯环,使其具有良好的刚性,密度高,耐磨性良好,不易蠕变,有较低的摩擦系数。受力形变小,尺寸稳定性好,成型后收缩率要低于其他的树脂基板。聚苯醚的相对密度小,质轻。
(2)良好的电气性能。聚苯醚能够在一个很广泛的温度范围内保持一个稳定的电性能。在各种热塑性工程树脂中,聚苯醚是除了聚四氟乙烯外电性能最好的,它具有极低的介电常数和介电损耗,几乎不受频率、温度和湿度的影响。它还具有极高的体积电阻和表面电阻。
(3)化学性能。聚苯醚的分子链上不存在任何可以发生水解的基团,它的耐水性能好,能在潮湿环境下加工。在高压蒸汽的环境下长时间使用,它的性能也不会发生明显的改变。
(4)耐热性。聚苯醚的耐热性能好,在加工时不易发生热分解,耐热性水平已经达到了热固性树脂和聚酯。
聚苯醚的缺点:
(1)耐光性差。聚苯醚的长链受紫外线照射会分裂,所以他不能在阳光下或者荧光灯下长时间的使用,会变色发黄[10]。
(2)加工性能差。聚苯醚的分子量大,分子链段中具有大量苯环,刚性大,所以它的难以溶解,粘度高,流动性不佳,这是导致加工性能差的主要原因。
(3)耐溶剂性能差。在芳香烃和卤代烃等有机溶剂内,聚苯醚会发生溶胀甚至是溶解。制备PCB电路板时,会用一些卤代烃溶剂,如三氯乙烯等进行清洗。目的是将附在覆铜板上面的一些油污除去,增加电路板之间的粘合力。所以,这要求覆铜板基板材料具有一定的耐溶剂性。耐溶剂性能差的PPO,在加工时与铜箔接触处溶解,会使铜箔掉落,PCB板的平面平整度差。
1.3 聚苯醚的改性方法
1.3.1 聚苯醚的低分子量化
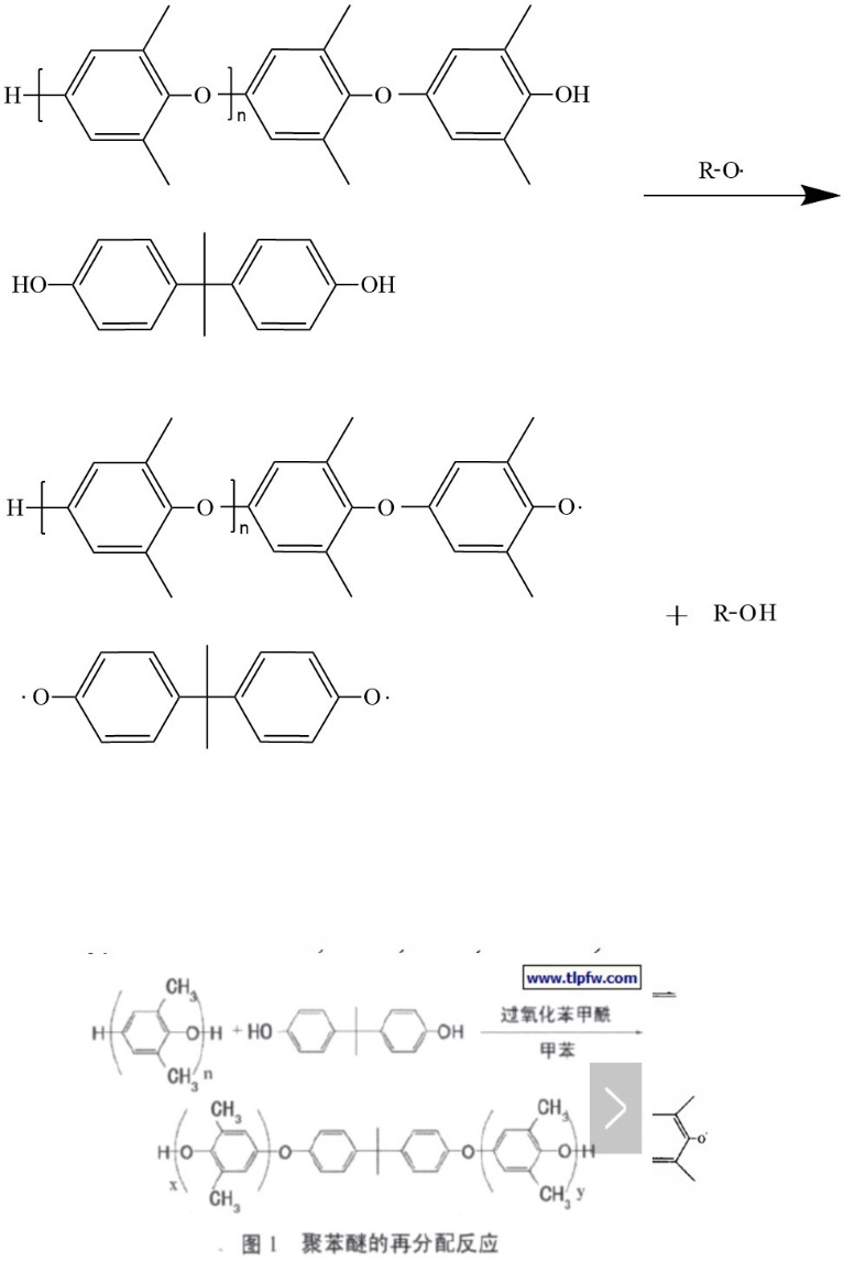
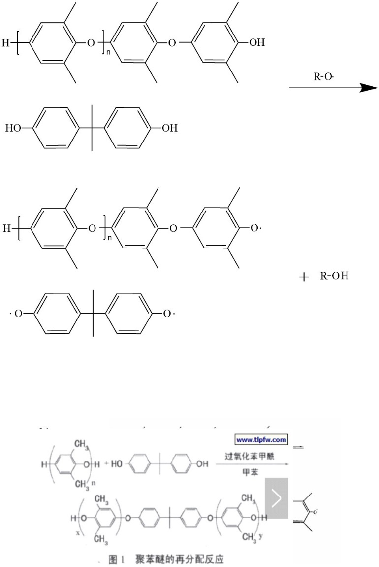
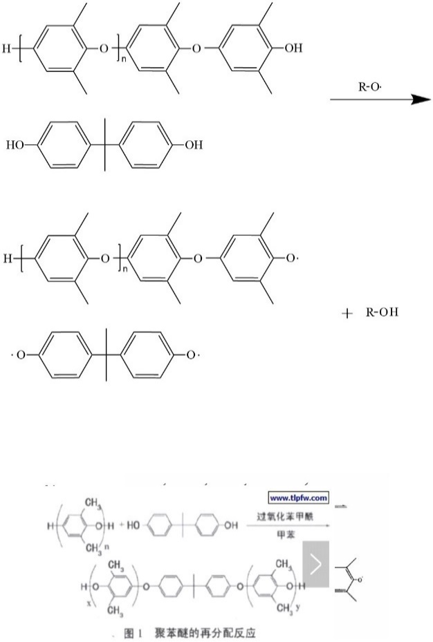
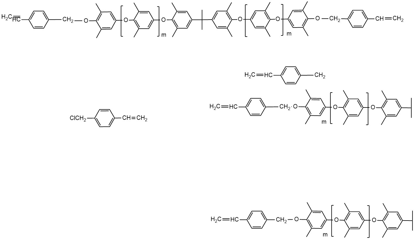
聚苯醚具有较高的分子量,长链分子链段上具有大量苯环,在熔融时粘度过大,导致加工困难。高分子量聚苯醚的加工性能差,这极大程度上限制了聚苯醚的广泛应用。为改善高分子聚苯醚的加工性能,可以从降低聚苯醚的分子量的角度出发。通过降低分子量,能够在不破坏分子结构和保留原有苯环基团的情况下,降低粘度和溶解难度,由此来改善加工性能。制备低分子量PPO的方法众多,主要有共聚法合成,混合溶剂法制备和在分配法合成低分子量聚苯醚。
(1)共聚法合成低分子量PPO
以上是毕业论文大纲或资料介绍,该课题完整毕业论文、开题报告、任务书、程序设计、图纸设计等资料请添加微信获取,微信号:bysjorg。
相关图片展示:








        
            
