PZTPt界面的第一性原理计算毕业论文
2020-02-19 15:52:45
摘 要
铁电材料具有广泛的应用前景,特别是当铁电材料薄膜化以后,可以与现代的微电子工艺集成,应用于多种电子器件中。在电子器件中,铁电薄膜不免会与金属电极发生接触,在界面处产生不同的物理性质,从而产生界面效应。界面效应对于块体材料的影响通常是可以忽略的,而当薄膜达到原子级别时,界面效应对材料的性能的影响就变得非常重要了,因此研究界面的影响机理有利于人们通过构建合理的界面最终提高铁电薄膜的性能,进一步推动铁电薄膜在电子器件中的应用。
精确表征界面结构技术难度大,从实验的角度对铁电薄膜的微观结构和物理特性进行研究十分困难。为了准确便利的研究铁电薄膜的界面效应,本课题以材料计算为研究手段,从基础理论出发模拟分析铁电/电极界面处物理效应,从本质上研究界面的影响机理,以之解释或指导有限的实验研究。本课题为了从原子角度去研究铁电薄膜使用了基于密度泛函(DFT)背景而开发出来的量子力学程序包CASTEP,用第一性原理的方法优化PZT/Pt界面模型,并在此基础上计算界面电子结构和界面势垒等性质,探明界面对铁电薄膜电流输运的影响机理。
本论文中先分别构建了PZT和Pt模型并对其进行收敛性测试以优化这两个模型,然后通过截取PZT和Pt某一个面的终端以构建PZT/Pt界面模型,并通过界面分离功找出最稳定的PZT/Pt界面构型,还计算了PZT/Pt体系的界面电子结构和界面势垒等性质以研究界面效应对铁电薄膜电流输运的影响机理。
研究结果表明:最稳定的PZT/Pt界面结构为由Pt(001)和PZT(001)构建的界面结构:Pt5-Pt4/ZrO2-PbO-TiO2,其界面分离功为0.848J/m2,并计算出PZT/Pt界面的肖特基势垒为1.975eV。通过构建这一合理的铁电界面能有效提高铁电薄膜的性能。
关键词:第一性原理;铁电材料;界面效应;PZT
Abstract
Ferroelectric materials have broad application prospects, especially when ferroelectric materials are thinned, therefore they can be integrated with modern microelectronics processes and used in a variety of electronic devices. In electronic devices, ferroelectric films inevitably contact with metal electrodes, and they produce different physical properties at the interface, resulting in interfacial effects. The influence of interfacial effects on bulk materials is usually negligible. When the film is at the atomic level, the influence of interface effects on the properties of the materials becomes very important. Research on influence mechanism of interface is beneficial for conducting reasonable interface, which ultimately improves the performance of ferroelectric films, therefore promotes the application of ferroelectric thin films in electronic devices.
It is very difficult to accurately characterize the interface structure. It is very difficult to study the microstructure and physical properties of ferroelectric thin films from an experimental point of view. In order to accurately and conveniently study the interface effect of ferroelectric thin films, this paper uses material calculation as a research method, and simulates the physical effects at the ferroelectric/electrode interface from the basic theory, and studies the influence mechanism of the interface in essence to explain or guide Limited experimental research. In order to study the ferroelectric thin film from the atomic point of view, the quantum mechanical package CASTEP developed based on the density functional theory (DFT) background is used to optimize the PZT/Pt interface model by first-principles method. The properties of the interface electronic structure and interface barrier are calculated, and the influence mechanism of the interface on the current transport of ferroelectric thin films is investigated.
In this text, the PZT/Pt models are constructed and tested for convergence to optimize the two models. Then, the PZT/Pt interface model is constructed by intercepting the terminals of PZT/Pt. The most stable PZT/Pt interface configuration was obtained from interface separation work. The interface electronic structure and interface barrier properties of PZT/Pt system were calculated to study the influence mechanism of interface effect on the current transport of ferroelectric thin films.
The results show that the most stable PZT/Pt interface structure is the interface structure constructed by Pt(001) and PZT(001): Pt5-Pt4/ZrO2-PbO-TiO2, and the interface separation work is 0.848J/m2. Then the Schottky barrier of the PZT/Pt interface is calculated to be 1.975 eV.By constructing this reasonable ferroelectric interface, the performance of ferroelectric thin films can be effectively improved.
Key Words: first principles; ferroelectric materials; interface effects; PZT
目 录
第1章 绪论 1
1.1前言 1
1.2铁电材料 1
1.2.1铁电材料简介 1
1.2.2铁电材料的性质 2
1.2.1铁电薄膜材料的应用 3
1.3 PZT铁电材料的特性 4
1.3.1钙钛矿结构 4
1.3.2 PZT铁电材料的特性 4
1.3.3电极-铁电薄膜的界面效应 5
1.4 PZT铁电材料的第一性原理研究现状 6
1.4.1第一性原理计算方法的优点 6
1.4.2 PZT铁电材料的第一性原理研究现状 6
1.5本论文的研究目的与内容 6
第2章 第一性原理的理论基础和计算软件 7
2.1第一性原理的理论基础 7
2.1.1多粒子体系的薛定谔方程 7
2.1.2密度泛函理论 7
2.2计算软件包 10
2.3本章小结 10
第3章PZT和Pt的第一性原理研究 12
3.1 PZT和Pt的计算模型 12
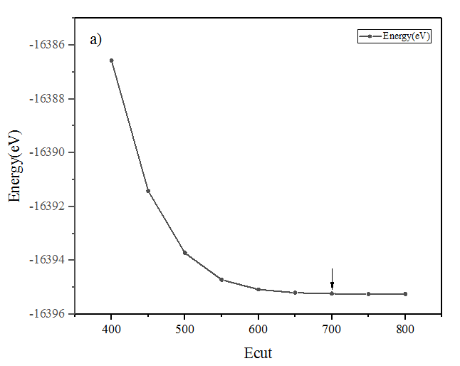
3.2 CASTEP收敛性测试 13
3.2.1 Pt的收敛性测试 13
3.2.2 PZT的收敛性测试 13
3.3几何优化结果分析 14
3.3.1 Pt的几何优化结果 14
3.3.2 PZT的几何优化结果 15
3.4 PZT的能带结构和态密度分析 15
3.5本章小结 17
第4章PZT/Pt界面的第一性原理研究 18
4.1 PZT/Pt界面结构的选取 18
4.2 PZT/Pt界面结构和界面分离功 20
4.2.1 PZT/Pt界面结构 20
4.2.2 PZT/Pt界面分离功 22
4.3 PZT/Pt界面的电子结构 23
4.4 PZT/Pt界面的肖特基势垒 24
4.4本章小结 26
第5章 总结与展望 28
第1章 绪论
1.1 前言
铁电材料在薄膜化以后,可以应用于现代的微电子工艺的多种电子器件,例如薄膜电容器、压电传感器、红外探测器、铁电随机存储器、非线性光学器件等 。在电子器件中,铁电薄膜不免会与金属电极发生接触,在界面处产生不同的物理性质,从而产生界面效应。界面效应对于块体材料的影响通常是可以忽略的,但是当今微电子工艺日益发达,而当薄膜达到原子级别时,界面效应对材料的性能的影响就变得非常重要了[1],因此研究界面的影响机理有利于人们通过构建合理的界面最终提高铁电薄膜的性能。
1.2 铁电材料
1.2.1 铁电材料简介
铁电材料是指具有铁电效应的一类材料。图1.1形象地说明了铁电材料与电介质材料的所属关系[2]。铁电材料最奇特的特点是具有两个或以上的自发极化状态,而且这个状态可以随着外场的变化而发生变化甚至翻转,当外场撤去后,这个状态也可以停留,该性质使其能应用于铁电存储器领域。自发极化是指物质本身的结构在某个方向上因为正负电荷中心不重合而产生的固有的极化,一般情况下,这种自发极化产生的电荷会被空气中的自由电荷所屏蔽,当温度发生变化时,这种自发极化状态也会发生改变,并且晶体冷却时电荷极性与晶体加热时电荷极性呈现相反状态。

图1.1铁电体与电介质材料的关系
一般情况下,材料的自发极化只能在一定温度范围内存在,我们称之为铁电性。当温度超过某一特定值时,材料的自发极化会消失,发生铁电失效,该温度我们称之为居里温度(TC)。即当温度T gt; TC铁电材料不再具有铁电性。
1.2.2 铁电材料的性质
铁电材料具有独特的性质因此被广泛的关注和研究。接下来我们简要介绍一下铁电材料的相关性质:
- 铁电性
铁电体的的自发极化在外电场的作用下的重新定向并不是连续发生的,而是在外电场超过某一临界电场强度时发生的。同铁磁体具有磁滞回线一样,铁电体也具有电磁滞回线,图 1.2 是一个铁电体的典型电滞回线[3-8]。可以看出极化强度P滞后于外加电场强度E。当电场发生周期性变化时,P和E之间便形成电滞回线关系。电滞回线是铁电性的一个最重要的标志。

图1.2铁电体电滞回线
- 热释电性
热释电效应是指极化强度P随温度T改变而使得材料的端面出现电压或产生电流的现象。热释电效应是铁电体的一种自然物理效应。热释电性的大小是由下面的公式(1-1)来衡量的:
| (1-1) |
式中,ΔP 为极化强度的改变量,p为热释电系数且具有方向性,ΔT 为温度的改变量。
- 压电性
某些电介质,加在电介质上的外力可以使晶体发生形变,内部也会产生极化现象,使两个表面上出现正负电荷,从而在晶体内部建立电场,外力去除后,电介质会恢复不带电的状态,当作用力的方向改变时,电介质两端的电荷极性也会改变。这种由于外力使电介质发生极化的现象称为正压电效应。相反,如果在电介质的极化方向上施加外电场,改变其极化状态,这些电介质也会发生形变,电场去掉后,电介质的形变也会消失,这种由于外电场使电介质发生形变的现象称为逆压电效应。二者统称为压电效应。铁电体都具有优质的压电性,因此在实际中得到了广泛的使用。
(4)介电性
电介质是指在外电场作用下,不导电的物体,虽然不导电,但自身会产生极化现象,即在靠带电体的一端会出现异号的电荷,另一端则出现同号的过剩电荷。如果将一均匀的电介质置于电容器的其两极之间,将使电容器的电容量增加若干倍。这就是电介质的介电性,而介电常数就是电容器的电容量增加的倍数。铁电体也属于电介质,其介电常数随温度的变化比较明显。
1.2.3铁电薄膜材料的应用
铁电材料因其具有优良的性质,故而具有广泛的应用前景。当铁电材料薄膜化以后,可以与现代的微电子工艺集成,从表格1.1可以看出铁电薄膜能够应用于多种电子器件中,例如薄膜电容器、压电传感器、红外探测器、铁电随机存储器、非线性光学器件等。铁电材料,尤其是铁电薄膜在近几十年来,由于应用前景极其诱人,受到了极大地关注[9]。
表1.1 铁电薄膜材料的应用

1.3 PZT铁电材料的特性
1.3.1 钙钛矿结构
钙钛矿结构是典型的铁电体材料的晶体结构,其分子式为 ABO3。图 1.3 表示的是立方顺电相的钙钛矿结构,结构中A离子和B离子一起构成FCC堆积,A离子位于立方体的 8 个顶角,B离子位于立方体体心,O离子位于立方体的6个面心上,A离子,B离子和O离子的配位数分别为12、6和6,每个晶胞只包含1个A离子,1个B离子,3个 O离子,可见钙钛矿结构的晶胞就是原胞。在钙钛矿晶胞中6个O离子构成氧八面体,较小的B离子位于大空隙的氧八面体中心,很容易偏离中心位置,产生自发极化,中心B离子半径越小,电价越高,晶体越容易产生自发极化。

图1.3 钙钛矿结构
1.3.2 PZT 铁电材料的特性
PZT是铁电体PbTiO3和反铁电体PbZrO3的固溶体。而PbTiO3和PbZrO3都具有钙钛矿结构,PbTiO3的居里温度TC为 490K,PbZrO3的居里温度TC 为223K,我们知道Tc以上为顺电立方相钙钛矿结构,当温度降到 居里温度以下时,晶胞中心的离子发生位移,偏离中心位置,产生自发极化,由顺电立方相钙钛矿结构变为铁电四方相钙钛矿结构。所以在室温298.5K下,PbTiO3是铁电体,PbZrO3是反铁电体。
PZT 不仅具有优良的铁电体的性质,而且它的性质可随 Zr:Ti 比例的变化而变化,十分的灵活。PZT固溶体中,离子Zr4 的半径和离子Ti4 的半径大小相近,因此PbTiO3与PbZrO3可以以任意比例混合,所以在实际应用中,可通过调节比例满足不同的需要。
PZT 薄膜由于具有较大的剩余极化强度而成为目前研究最多的铁电薄膜。
1.3.3电极-铁电薄膜的界面效应
不同材料相互接触会形成界面,材料在界面处往往会产生与母体材料不同的物理性质,这种现象我们称之为界面效应。界面效应对于块体材料的影响通常是可以忽略的,但是当今微电子工艺日益发达,而当薄膜达到原子级别时,界面效应对材料的性能的影响就变得非常重要了。
在电子器件中,PZT铁电薄膜不免会与电极构成如图1.4所示的界面结构,其界面效应会对 PZT 薄膜的性能造成一定的影响,导致PZT薄膜材料的相应性能不如其块体材料的性能。界面问题,一直被认为是造成铁电失效的重要原因之一[10,11]。铁电薄膜的相关技术属于微电子工艺,因此铁电薄膜的生长、加工和使用过程中,铁电薄膜的界面处十分容易形成点缺陷、位错等晶格缺陷,这些缺陷往往会迁移到界面处,与界面形成耦合,对薄膜的性能造成影响。并且铁电薄膜尺寸越小,铁电薄膜的界面处的晶格缺陷会越严重,这对铁电薄膜的物理性能起着决定性的作用。所以我们开展界面对薄膜的影响机理的研究十分必要,有利于人们通过构建合理界面,最终提高铁电薄膜的性能,进一步推动铁电薄膜在电子器件中的应用。

以上是毕业论文大纲或资料介绍,该课题完整毕业论文、开题报告、任务书、程序设计、图纸设计等资料请添加微信获取,微信号:bysjorg。
相关图片展示:










