Sm稀土配合物的异氰酸苄酯化学改性毕业论文
2020-04-21 17:03:50
摘 要
本课题拟通过将Sm稀土配合物与异氰酸苄酯粉体进行复合,旨在改变对位官能团,将-NH2基团连接-NCO基团,通过改变粉体结构,分析化学改性后稀土配合物的结构、力学、理化性能的变化。
本文选用Sm(NO3)3·6H2O、HTTA(C8H5F3O2S)、Phen(C12H8N2·H2O),C7H7NO2四种原料,使用水浴加热法合成了一例以稀土Sm为中心的配合物,其中配体由Phen(1,10-凌菲罗啉)、苯甲酸及其衍生物、TTA(α-噻吩甲酰三氟丙酮)组成,该配体组成具有高的吸光系数,能有效增强镧系离子的敏化发光。通过傅里叶红外光谱分析仪测试分析对稀土配合物的组成和结构进行了表征,通过室温荧光性能测试得出配合物的发射光谱,通过UVPC在紫外、可见光谱区域对样品物质作定性和定量的分析,初步研究改性粉体的光学性能。
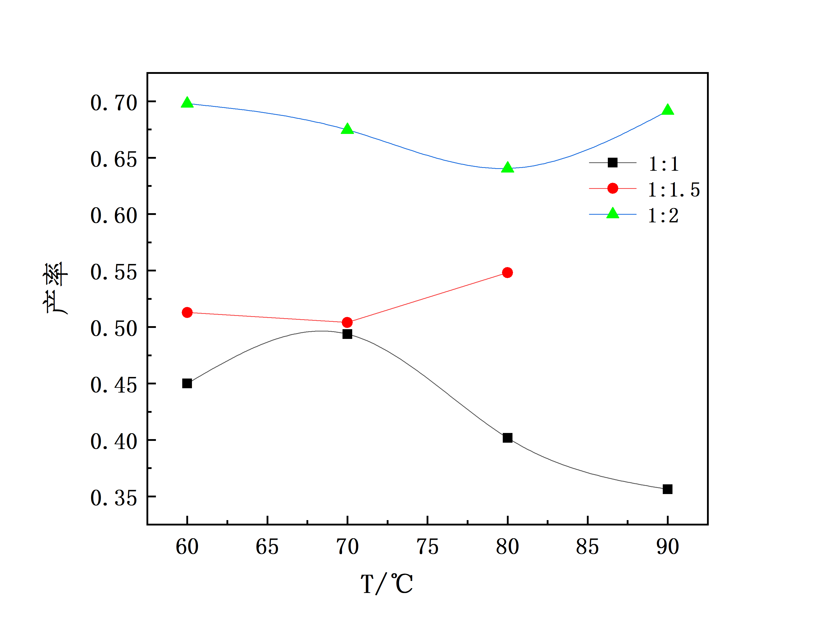
结果表明,用水浴加热反应法制备得到的改性粉体,在Sm稀土配合物与异氰酸苄酯粉体配合比为1:2的复合条件下,所得产物产率最高。改性粉体未能成功连接-NCO集团,改性前后粉体质量发生明显变化,具有粒径小、荧光性能优异的优点。
关键词: 稀土配合物 异氰酸苄酯 钐(Sm) 化学键改性 荧光性能 天线效应
Chemical Modification of Sm rare Earth complexes with benzyl isocyanate
Abstract
In this paper, the purpose of that is to change the Antithetical functional group, connect -NH2 group to -NCO group, and analyze the change of physical and chemical properties,structure and mechanics of rare earth complex after chemical modification by changing the structure of Sm rare earth complexes and benzyl isocyanate powder.
The selection Sm (NO3) 3 ·6H2O, HTTA (C8H5F3O2S), Phen (C12H8N2 ·H2O) and C7H7NO2 as raw material,were used to synthesize a complex centered on rare earth Sm by water bath heating method, in which the ligand was made of Phen (1, 10-linphenanthroline), Benzoic acid and its derivative, TTA (α-thiophenoyl trifluoroacetone). The ligand composition has high absorption coefficient and can effectively enhance the sensitized luminous properties of lanthanide ions. The composition and structure of rare earth complexes were characterized by Fourier transform infrared spectroscopy. The emission spectra of the complexes were obtained by fluorescence properties at room temperature. The optical properties of the modified powder were studied qualitatively and quantitatively by UVPC in the UV and visible spectrum regions.
The results show that the obtained modified powder has a high productivity under the compound condition of 1:2 with the ratio of the Sm rare earth complexes to the benzyl isocyanate powder. The modified powder failed to connect with -NCO group successfully, and the quality of the powder changed obviously before and after modification. The modified powder has the advantages of small particle size and enhanced optical properties.
Keywords: Rare earth(III) complexes; Efficient Electroluminescence; Sm;
Antenna effect ;Photoluminescence;benzyl isocyanate
目 录
摘 要 I
Abstract II
第一章 前言 1
1.1 课题研究背景 1
1.2 课题研究内容 2
第二章 文献综述 3
2.1 Sm稀土配合物的发光原理 3
2.2 Sm稀土配合物的异氰酸苄酯化学改性 5
2.3 国内外研究进展 6
第三章 实验部分 7
3.1 实验原料 7
3.2 实验仪器与设备 7
3.3 理论配方 8
3.3.1 第一阶段Sm稀土有机配合物合成配方表................................8
3.3.2 第二阶段Sm稀土有机配合物改性配方表................................8
3.4 样品制备 9
3.4.1 第一阶段Sm稀土有机配合物合成步骤...................................9
3.4.2 第二阶段Sm稀土有机配合物改性步骤..................................10
3.5 实际配方与参数...................................................................................11
3.5.1 第一阶段Sm稀土有机配合物合成配方与参数......................11
3.5.2 第二阶段Sm稀土有机配合物改性配方与参数......................12
3.6 测试与表征 13
3.5.1 傅里叶红外光谱分析仪测试 13
3.5.2 室温荧光性能测试 13
3.5.3 UVPC测试 13
第四章 结果与讨论 14
4.1 合成不同配比及水浴温度下的粉体产率计算 14
4.2 不同配比及水浴温度下的傅里叶红外光谱分析 16
4.3 不同配比及水浴温度下的的室温荧光性能分析 18
4.4 不同配比及水浴温度下的UVPC分析 20
第五章 结论与展望 22
5.1 结论.......................................................................................................22
5.2 问题与展望...........................................................................................23
参考文献 24
致谢 26
第一章 前言
1.1 课题研究背景
曾经的黑白电视演绎着简单生动的人物形象,激起了不同年龄段的人共同对其的娱乐兴趣;如今布满彩色的液晶大视屏,使我们不惊感叹科技发展如此之快,兴人、兴国、兴世界。在这些荧光屏中,稀土荧光粉发挥出里程碑的作用。18世纪末,稀土元素最初在瑞典被发现,因为它们是一种固体氧化物,不溶于水,所以广被称为“土壤”[1]。所谓稀土是指主要元素为原子序数57~71的镧系元素,以及钪、钇两个元素,主要特征为它们都是从氧化物中分离得到的产物。20世纪70年代,Weissman[2]采用红外材料转换为可见光发光材料,在理论上有了新的突破——“天线效应”(Antenna effect),指的是通过传递分子内的能量用来增强稀土荧光性能。一直到今天,稀土发光材料在光、电致发光、阴极射线发光以及x射线发光应用中一直拥有突破性进展,不论国内国外,研发产品、研究性能、测试分析竞争都可谓异常激烈。
当稀土配合物与高吸收系数的配体形成稀土配合物时,配体吸收光在此之后能通过分子内能量传递向稀土离子转移能量,从而增强稀土离子的特征荧光。稀土自身吸光性能并不强,以此看来,高吸收系数配体是研究最佳载体。但是,稀土离子与配体复合形成后的稀土配合物它的光稳定性和热稳定性较差[3,4],若能将配合物复合在稳定性较好的无机基质中或许可以有效解决这一问题,并能在不影响稀土离子光谱位置及其单色性的前提下,有效延长荧光寿命,从而达到既增强特定荧光,又延长荧光寿命的目的。
相关图片展示:







您可能感兴趣的文章
- 改善锂离子电池中硅基负极存储性能的策略研究外文翻译资料
- 通过添加压电材料BaTiO3提高大功率锂离子电池的微米级SiO @ C/CNTs负极的电化学性能外文翻译资料
- Pd和GDC共浸渍的LSCM阴极在固体氧化物电解池高温电解CO2中的应用外文翻译资料
- 利用同步回旋加速器粉末衍射的方法来研究在有其他物相的情况下C4AF的水化作用外文翻译资料
- 外国循环流化床锅炉发展现状外文翻译资料
- 含石蜡基复合材料的多壁碳纳米管的热性能外文翻译资料
- 矸石电厂炉渣机制砂的应用研究外文翻译资料
- 机动车螺旋弹簧的失效分析外文翻译资料
- 从废阴极射线管和锗尾矿制备高强度玻璃泡沫陶瓷外文翻译资料
- 作为导热液体的液态金属在太阳能储热中的应用外文翻译资料


