微波吸收发热陶瓷材料在脱硝技术中的应用研究毕业论文
2020-02-14 14:42:22
摘 要
近年来,空气质量问题备受关注,其中以NOX为主要污染源之一的雾霾成为了百姓生活中的一大困扰,同时也威胁着人们的的健康,因此烟气脱硝迫在眉睫。本文主要制备一种新型吸波发热催化剂,并采用低温选择性催化脱硝技术进行模拟烟气脱硝,实验成果显著。具体内容包括以下几个部分:
(1)自行搭建了一套微波发热陶瓷材料辅助脱硝实验装置,该装置主要由配气系统、微波反应器和烟气分析仪三部分构成,配气系统主要用于提供实验所需的模拟烟气及还原剂NH3,微波反应器主要用于实现微波加热催化脱硝反应,烟气分析仪用于分析实验尾气中NOX等气体浓度。
(2)自制一种吸波发热材料LA,并将其制作成陶瓷球作为一种脱硝催化剂进行实验,实验发现LA吸波发热陶瓷球具有优异的吸波发热性能,当输出功率为1450W时,LA陶瓷球仅在10min迅速升温至1000℃;同时LA吸波发热陶瓷球具有良好的低温催化脱硝性能,当NSR=0.8,Topt=250℃时,脱硝转化率达到97.4%。
(3)以自制的LA吸波发热陶瓷球为载体,制备了BaMnO3钙钛矿型催化剂,利用XRD测试方法探究烧成温度对BaMnO3催化剂相组成的影响,并在此基础上探究氨氮比、温度等因素对出气口NO浓度影响,结果表明当烧成温度为1000℃,NSR=1.0, Topt=250℃时,脱硝转化率高达99.2%。
关键词:低温催化脱硝;一氧化氮;吸波发热;微波
Abstract
In recent years, air quality problems have attracted much attention.Haze,one of which main components is nitrogen oxides, has become a major problem in people#39;s lives,and It also threatens people#39;s health. Therefore, flue gas denitrification is imminent. In this paper, a novel absorbing wave heating catalyst was prepared, and the low-temperature selective catalytic denitration technology was used to simulate flue gas denitrification. The experimental results were remarkable. The specific content includes the following parts:
(1) A microwave heating ceramic material assisted denitration experiment device was built.The device was mainly composed of a gas distribution system, a microwave reactor and a flue gas analyzer. The gas distribution system was mainly used to provide the simulated smoke gas and reducing agent NH3 required for the experiment; microwave reactor was mainly used to realize microwave heating catalytic denitration reaction, and flue gas analyzer was used to analyze the concentration of NOX and other gases in the experimental exhaust gas.
(2) Self-made a absorbing heat-generating material LA, and made it into a ceramic ball as a denitration catalyst. It was found that the LA absorbing heat-generating ceramic ball had excellent absorbing heat performance. When the output power was 1450W, the LA ceramic ball was rapidly heated to 1000 °C in 10 min. At the same time, the LA absorbing ceramic ball had good low-temperature catalytic denitration performance. When NSR=0.8 and Topt=250°C, the denitrification conversion rate reached 97.4%.
(3) BaMnO3 perovskite catalyst was prepared by self-made LA absorbing ceramic ball as carrier. The effect of firing temperature on the phase composition of BaMnO3 catalyst was investigated by XRD test. Based on this, the ammonia-nitrogen ratio and temperature were explored. The influence of other factors on the NO concentration at the gas outlet showed that the denitrification conversion rate was as high as 99.2% when the firing temperature is 1000 °C, NSR=1.0, Topt=250°C.
Key Words:low temperature catalytic denitrification; nitric oxide; absorbing wave heating; microwave
目 录
摘 要 I
Abstract II
第1章 绪论 1
1.1 氮氧化物脱除概述 1
1.1.1 氮氧化物的产生 1
1.1.2 氮氧化物的危害 1
1.1.3 氮氧化物脱除技术 2
1.1.4 SNCR和SCR技术脱硝原理 4
1.1.5 催化还原氮氧化物的研究现状 5
1.2 微波技术 6
1.2.1 吸波材料 6
1.2.2 微波及微波辐照技术 7
1.3 实验研究背景和内容 7
第2章 微波脱硝装置及试验方法 8
2.1 微波脱硝装置 8
图2.1 微波发热陶瓷材料辅助脱硝实验装置结构示意图 8
2.1.1 混合配气系统 8
2.1.2 微波反应器 9
2.1.3 烟气分析仪 9
2.2 试验方法 10
2.2.1 试验条件 10
2.2.2 催化性能评价 10
第3章 LA吸波发热材料制备及其脱硝性能研究 12
3.1 LA吸波发热材料制备 12
3.1.1 实验试剂与仪器 12
3.1.2 LA吸波发热材料制备 12
3.2 LA吸波发热材料脱硝性能研究 13
3.2.1 LA吸波发热材料升温性能 13
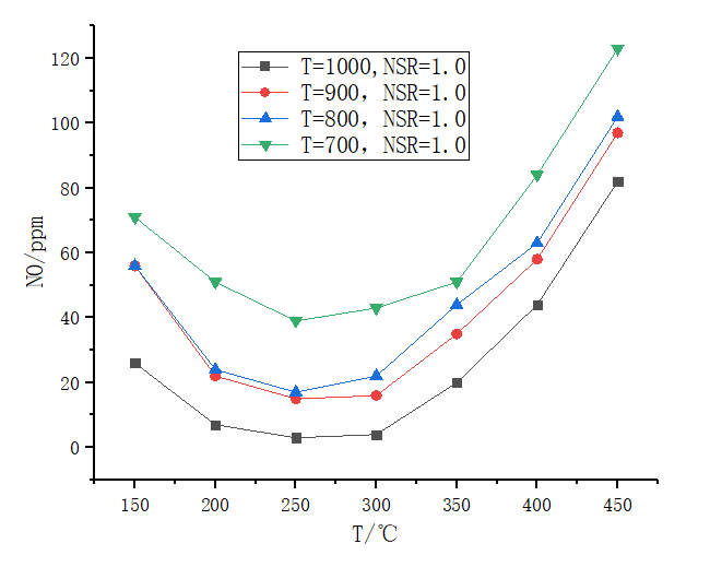
3.2.2 NO浓度随温度的变化情况 15
3.2.3 氨氮比对NO转化的影响 15
3.3 小结 17
第4章 以LA吸波发热材料为载体的BaMnO3催化剂制备与脱硝性能研究 18
4.1 催化剂制备与表征 18
4.1.1 催化剂的制备 18
4.1.2 催化剂的表征(XRD) 19
4.2 以LA吸波发热材料为载体的BaMnO3催化剂脱硝性能研究 20
4.2.1 催化剂的烧成温度对NO浓度的影响 20
4.2.2 NO浓度随温度的变化情况 21
4.2.3 氨氮比对NO浓度的影响 23
4.3 小结 24
第5章 结论与展望 25
5.1 结论 25
5.2 展望 25
参考文献 26
致 谢 28
第1章 绪论
1.1 氮氧化物脱除概述
1.1.1 氮氧化物的产生
氮氧化物(NOx)是主要的大气污染源之一,主要是指氮元素与氧元素复合成氧化物,对大气产生污染的有一氧化氮(NO)和二氧化氮(NO2),其中NO占95%以上,故在脱硝研究中主要针对NO脱除的研究。[1]
NO是一种有毒气体,微溶于水,且不与水反应,易溶于乙醇,无色无臭,沸点为-151 ℃。NO2在常温下与NO一样,也是一种有毒气体,具有刺激性气味,通常呈棕色,化学性质较稳定,易溶于水,沸点为21 ℃,分子量为46.01。NO在适当条件下会转变为NO2,反应式为:2NO O2→2NO2。
大气中的NOX主要由自然和人为因素造成的。自然因素造成的NOx主要是通过火山喷发、雷电、生物体氧化分解等过程,自然界产生的NOx可以实现自我净化,其产生与分解是平衡的,故近年来大气中的NOx含量急剧增加主要是由人为因素造成的。
人为因素造成的NOx主要是通过石油化工和有色金属等部门的化石燃料燃烧,其生成途径可以分为以下3种类型:
热力型NOx,即N2 O2 →NOx(高温环境)。研究表明当温度大于1500 ℃时,上述反应速率急剧增大,NOx生成量迅速增加。
燃料型NOx,即生物质燃料和化石燃料在含有氧气的气氛中燃烧直接生成NOx。
快速型NOx,即燃烧时产生的OH、O等自由基使空气中的N2反应生成NOx [1]。
1.1.2 氮氧化物的危害
大气中的NOx对生物体及自然环境都会产生危害,是大气中最主要的污染物之一。
其危害主要表现为:
(1)空气中的NO被直接吸入人体,因其与血红蛋白结合能力极强,远远超过O2与血红蛋白结合能力,故其与血红蛋白牢牢结合从而降低体内O2量,若NO浓度低时,将导致人体产生麻痹、痉挛等症状;当NO浓度高时,则会导致人体急性中毒引起支气管炎、肺部充血等疾病,严重者会直接中毒身亡。
(2)NOx排放到大气中在光化学作用下与碳氢类化合物反应,产生“光化学烟雾”,轻则导致人体眼睛红肿、头痛、皮肤潮红等症状[2],重则导致人体心肺衰竭等疾病。
(3)大气中的N2O可以转化为NO,反应过程如下:
N2O O→N2 O2 (1-1)
N2 O2→2NO (1-2)
NO O2→NO2 O2 (1-3)
NO2 O→NO O2 (1-4)
O3 O→2O2 (1-5)
以上过程不断循环,使O3不断分解,从而使臭氧层遭到破坏。
NOx是形成雾霾的重要因素之一,雾霾的主要主要组成部分为氮氧化物、二氧化硫及可吸入颗粒与雾气的结合等。
大气中的氮氧化物与雨水相互作用会形成,其形成方程式如下所示:
2NO O2→2NO2 (1-6)
3NO2 HO2→2HNO3 NO (1-7)
酸雨不但对城市建筑及设施产生腐蚀,而且对植物和农作物造成破坏,使土壤酸化并使生态水造成污染等。
1.1.3 氮氧化物脱除技术
我国是以煤为主要能源的国家,其中我国NOx的排放总量中来自煤炭直接燃烧的约占70%,目前我国规定排放尾气中NOXle;100mg/m3,控制烟气中的NOX含量主要通过燃烧前、燃烧中和燃烧后三种控制技术。燃烧前控制技术通常是对燃料进行预处理,以减少燃料中的氮含量;燃烧中控制技术主要通过改进燃烧技术进行,主要有无氮燃烧技术和低NOX燃烧技术等。以上两种控制技术具有一定的降低NOX含量的效果,但通常降低浓度不超过50%,故基本达不到国家规定的排放标准,且以上方法成本较高。因此目前最高效的NOX治理方法为燃烧后控制技术。
燃烧后控制技术主要通过对工业即将排放的烟气进行脱硝处理以实现降低NOX的排放,该法主要有两大类即湿法脱硝和干法脱硝。湿法脱硝主要用可以溶解NOX或可以与NOX发生反应的溶液进行脱硝的方法,通常有酸吸收[3]、碱吸收[4]、液相氧化吸收[5]、液相还原吸收[6]和液相络合[7]等方法。当前工厂应用的脱硝技术主要是干法脱硝技术,主要包括固体吸附法[8]、等离子体法[9]、选择性非催化还原法(SNCR技术)[10]、选择性催化还原法(SCR技术)[11]和直接催化分解法[12]等。
(1)固体吸附法
利用活性炭、分子筛等具有大比表面积的特点,由于其吸附性强故可作为吸附剂选择性吸收NOX,然后通过改变反应条件完成NOX的解附。此外可以在吸附剂上添加催化剂进行催化还原脱硝。该法具有设备简单,成本较低的优点。但该法需大量的吸附剂,且吸附剂吸附量小,不易吸附再生等,同时该法适用温度低。
(2)等离子体法
利用高能电子流直接辐照于即将排放的烟气,通过高能电子与烟气中分子的作用,使该体系形成非平衡态的等离子体,这些等离子体产生的O、OH等自由基,具有极强的氧化性,将NO进一步氧化为NO2并与氨气反应,最后用电除尘器捕集从而达到烟气脱硝目的。该方法的脱硝率可达到80%~85%,但是该方法的成本高能耗高,且该方法存在N NO2→2NO的副反应,将大大降低脱硝效率。
(3)选择性非催化还原法(SNCR技术)
在高温环境且没有催化剂时,通常选择以氨气(NH3)或者尿素(CN2H4O)为还原剂,将烟气中的NOX选择性还原为N2,该工艺的主要反应如下:
NH3为还原剂时:
4NH3 6NO→5N2 6H2O (1-8)
4NH3 5O2→4NO 6H2O (1-9)
尿素为还原剂时:
2 CO(NH2)2 4NO O2→4N2 2CO2 4H2O (1-10)
选择性非催化还原法是直接在锅炉内部进行的,因而该反应的脱硝效率受到锅炉设计、锅炉负荷等因素影响,整体的脱硝效率偏低,通常在30%~60%之间。
(4)选择性催化还原法(SCR技术)
SCR技术的脱硝率可达90%以上,是现有脱硝治理技术中较为成熟的方法,故该法得到广泛使用。通常该法以氨气(NH3)为还原剂,钒基、锰基为常用的催化剂,在催化剂作用下选择性催化还原烟气中的NOX反应生成N2和H2O,该反应过程如下:
4NH3 4NO O2→4N2 6H2O (1-11)
4NH3 2NO2 O2→3N2 6H2O (1-12)
8NH3 6NO2→7N2 12H2O (1-13)
SCR技术虽然应用广泛,但其也有明显缺点,比如反应中所需氨气量很大,同时氨气不仅腐蚀设备对设备要求很高,而且氨气与二氧化硫反应的生成物易使得催化剂中毒。此外,SCR技术中所采用的催化剂活性温度去窄,且该反应由于存在以下副反应,易造成二次污染:
4NH3 3O2→2N2 6H2O (1-14)
4NH3 5O2→4NO 6H2O (1-15)
4NH3 4NO 3O2→4N2O 6H2O (1-16)
因此,当前研究重点为研发高活性催化剂和经济实用的还原剂。
(5)直接催化分解法
该法是指在催化剂作用下将NOX直接催化分解为对大气无害的N2和O2。该方法在脱硝反应过程无需加入还原剂,且脱硝工艺简单、无二次污染,故被认为是一种理想的脱硝方法。反应过程如下:
NO → 1/2 N2 1/2 O2 (1-17)
KJ/mol(298 K) (1-18)
但是该方法主要采用贵金属催化剂,成本较高,且反应体系中的O2对NO的分解产生氧阻现象,同时体系中的水蒸气和SO2的存在也会降低催化剂催化活性。
1.1.4 SNCR和SCR技术脱硝原理
1.1.4.1 SNCR技术脱硝原理
SNCR反应原理主要是根据脱硝实验中所采用的还原剂进行分类,主要分为Thermal DeNOx原理、NOxOUT原理和PAPERNOx原理[13]。本文采用氨气作为还原剂,故主要讲述Thermal DeNOx原理。
Thermal DeNOx原理的主要化学反应为:
NH3 NO→N2 H2O (1-19)
NH3 NO O2→N2 H2O (1-20)
当反应温度过高时,脱硝实验的副反应即氨气的氧化反应为主要反应:
NH3 O2→NOx H2O (1-21)
Thermal DeNOx原理[14]的反应途径如图1.1所示:

以上是毕业论文大纲或资料介绍,该课题完整毕业论文、开题报告、任务书、程序设计、图纸设计等资料请添加微信获取,微信号:bysjorg。
相关图片展示:








您可能感兴趣的文章
- 改善锂离子电池中硅基负极存储性能的策略研究外文翻译资料
- 通过添加压电材料BaTiO3提高大功率锂离子电池的微米级SiO @ C/CNTs负极的电化学性能外文翻译资料
- Pd和GDC共浸渍的LSCM阴极在固体氧化物电解池高温电解CO2中的应用外文翻译资料
- 利用同步回旋加速器粉末衍射的方法来研究在有其他物相的情况下C4AF的水化作用外文翻译资料
- 外国循环流化床锅炉发展现状外文翻译资料
- 含石蜡基复合材料的多壁碳纳米管的热性能外文翻译资料
- 矸石电厂炉渣机制砂的应用研究外文翻译资料
- 机动车螺旋弹簧的失效分析外文翻译资料
- 从废阴极射线管和锗尾矿制备高强度玻璃泡沫陶瓷外文翻译资料
- 作为导热液体的液态金属在太阳能储热中的应用外文翻译资料


