无机有机复合固态电解质的制备与性能研究毕业论文
2020-02-19 15:36:46
摘 要
锂离子电池因为能量密度高,输出功率大等特点,成为最有潜力的储能器件。但是传统锂离子电池使用液态电解质,其中进行的副反应会导致容量衰减;液态电解质的挥发和泄露也会影响电池寿命;除此之外,枝晶和孔洞的生成可能会引发电池爆炸,有着很大的安全隐患。固态电解质能够解决上述的所有问题,对电池的使用寿命和安全性都有很大的提高。但是由于固-固界面阻抗的存在以及较低的电极材料利用率限制了固态电解质的应用。所以,对固态电解质的研究主要集中在如何提高离子电导率和降低界面阻抗的问题上。
本文主要研究了新型多孔材料,金属-有机框架(MOF)和含锂离子液体的主客体复合物,和聚氧乙烯(PEO)复合。对制备的固态电解质进行了形貌表征并进行电学性能测试。研究结果表明:
(1)通过溶剂法制备了沸石咪唑酯骨架结构(ZIF)材料,浸润离子液体之后,与PEO复合制备出了复合固态电解质。
(2)复合的固态电解质的离子电导率等性能比纯的聚合物固态电解质离子电导率和纯的ZIF电解质的离子电导率高出许多,高温时则高出更多。电压窗口比起单种材料有所提高;此外,还具有很好的循环性能。
关键词:锂离子电池;固态电解质;离子电导率;金属-有机框架;聚氧乙烯
Abstract
Lithium-ion batteries are the most promising energy storage devices because of their high energy density and high output power. However, traditional lithium-ion batteries use liquid electrolytes, in which side reactions cause capacity decay; volatilization and leakage of liquid electrolytes can also affect battery life; in addition, dendrites and pores may cause battery explosions, which are very a big security risk. Solid electrolytes solve all of the above problems and greatly improve the life and safety of batteries. However, the use of solid electrolytes is limited by the presence of solid-solid interface impedance and lower electrode material utilization. Therefore, research on solid electrolytes has focused on how to improve ionic conductivity and reduce interface impedance.
This paper mainly studies the novel porous materials, metal-organic framework (MOF) and host-guest complexes containing lithium ionic liquids, which are compounded as inorganic fillers and polyoxyethylene (PEO). The formed solid electrolyte was characterized by morphology and electrical properties were tested. Research indicates:
(1) The zeolitic imidazolate framework (ZIF) material was prepared by solvent method. After impregnating the ionic liquid, a composite solid electrolyte was prepared by compounding with PEO. A battery for testing electrochemical performance was obtained by tableting and charging the battery.
(2) The ionic conductivity and other properties of the composite solid electrolyte are much higher than the pure polymer solid electrolyte ionic conductivity and the pure ZIF electrolyte ionic conductivity, and the higher the effect at higher temperatures. The voltage window is improved compared to a single material; in addition, it has good cycle performance.
Key words: lithium ion battery; solid electrolyte; ionic conductivity; metal-organic framework; polyoxyethylene
目 录
加目录和再要、、第1章 绪论 1
1.1锂离子电池 1
1.2固态电解质的种类 1
1.2.1无机物固态电解质 2
1.2.2聚合物固态电解质 3
1.2.3复合固态电解质 4
1.3全固态锂离子电池的发展历史和现状 5
1.4研究目的意义及内容 6
第2章 材料制备与表征 8
2.1实验试剂和仪器 8
2.1.1实验试剂 8
2.1.2 实验仪器 8
2.2 PEO-ZIL固态电解质材料的制备 9
2.2.1 ZIF-67的制备 9
2.2.2 ZIF-67-IL的制备 9
2.2.3 复合固态电解质的制备 10
2.3 复合固态电解质的结构、形貌和性能表征方法 10
2.3.1 结构与形貌表征 10
2.3.2 性能表征 11
第3章 复合固态电解质表征和电化学性能 12
3.1 物相分析 12
3.2 形貌分析 12
3.3 比表面积分析 14
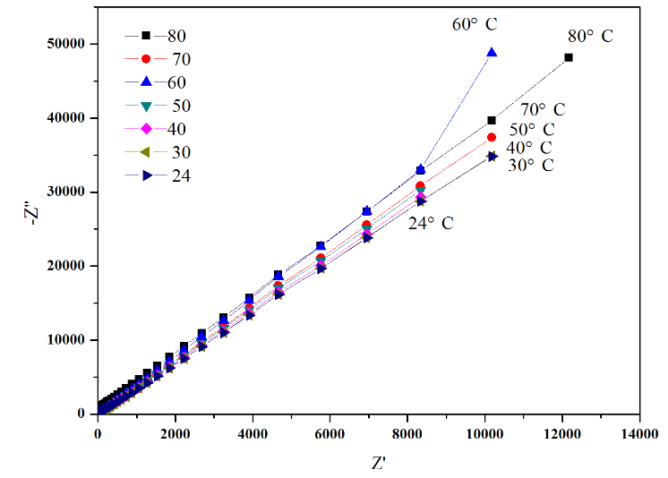
3.4 复合固态电解质性能分析 16
第4章 结论与展望 18
4.1 结论 18
4.2 展望 18
参考文献 19
致 谢 23
论文所用原材料费用一览表 24
第1章 绪论
1.1锂离子电池
在人类社会飞速发展的今天,能源的使用越来越多,现在被广泛使用的化石燃料如煤,石油和天然气,都是典型的不可再生能源,可能在几百年内被人类耗尽,因此经济社会在快速发展中将会面临严重的能源危机;此外,化石燃料的燃烧除了产生二氧化碳,导致温室效应加剧,还产生了一氧化碳,二氧化硫等一系列有毒有害的气体,因此人们还面临着环境污染的问题。从而对可再生的清洁能源的研究越来越重要,近年来人们对于太阳能、风能、水能的应用越来越多,这类能源因为具有时空上分配的不均匀性[1],同时,这些能源必须转化为电能等二次能源才能被人们加以利用,储能设备显得非常关键。而这些储能设备中,电化学能的设备——电池受到了人们的关注。
二次电池(蓄电池)主要包括镍氢电池、镍镉铅酸电池(铅蓄电池)、锂离子电池等,其中锂离子电池放电电压高[2],可达3.7 V,而且锂电池的质量较轻,因此具有非常大的能量密度,除此之外,它还有循环寿命长,自放电率低,无记忆效应,环境友好等优异性能,已经被大规模商业化应用,主要应用于电动交通工具,电子设备以及航空航天领域。
目前,商业化的锂离子电池以石墨作为负极,正极采用可嵌入/脱出锂离子的氧化物材料结构,电解质采用的是溶有锂盐的液态有机电解质,从而锂以离子的形式存在于电池中[1]。然而金属锂负极在液态电解质里的使用存在诸多问题:首先,液态电解质和所用的电极材料在充放电过程中容易发生副反应[3],从而导致电池的容量出现不可逆的衰减,很难达到长期服役的要求;其次,在服役过程中,有机液态电解质中会不可避免地出现挥发、 泄露等现象,进一步影响了电池的使用寿命;除此之外,在反复的充放电的过程中,锂表面的不均匀性导致其溶解和再次结晶,容易形成不均匀的孔洞和枝晶,其中的孔洞造成的一些缺陷一定程度上影响了电子的传输,而枝晶则会刺穿隔膜,到达电池的正极从而引发短路甚至着火爆炸,造成了严重的安全隐患。[3]因此,用固态电解质代替液态电解质是获得高能量密度、高安全性和优异循环寿命的全固态锂离子电池的根本途径。
1.2固态电解质的种类
全固态锂离子电池是从20世纪50年代开始发展起来的一种锂离子电池的新的形式[5],全固态锂离子电池优点很多,主要优点如下[1]:
(1)安全性。安全性是全固态锂离子电池最值得研究的优点,固态电池因为使用固态电解质即不可燃,也无腐蚀,还不挥发,更不会产生泄露的问题,因而具有更高的安全性,也增加了电池的使用寿命。
(2)有更高的能量密度。固态电解质比液态电解质电化学窗口宽,更有利于拓宽电池的电压范围。
(3)具有更高的功率密度。全固态锂离子电池的载流子仅有锂离子一种,无浓差极化,因而可在更大的电流条件下工作,从而增加电池的功率密度。
(4)可以提高电池的服役温度范围。现在普遍使用的锂离子电池在极端温度的性能会有较大的限制,但是由于固态电解质对温度变化具有很好的稳定性,所以为全固态锂离子电池工作在更宽的温度范围提供了保证。
(5)全固态锂离子电池还能够根据需要改变制作方案,它结构紧凑,规模可调,设计弹性大。所以电池可以设计成非常小的尺寸,同时,电池的形状也可根据需要进行设计。
固态电解质是全固态锂离子电池的中最重要的组成部分选择材料充当固态电解质,应有以下要求:室温下较高的离子电导率;电子绝缘;电化学窗口宽;与电极材料相容性好;热稳定性好,对潮湿环境有一定抵抗力;原料易得,成本较低,合成方法简单。根据这些特点,人们已经对一些物质进行研究,目前已经开发的固态电解质可分为两大类:无机固态电解质和聚合物固态电解质。在这两种固态电解质的基础上,还有正在开发的复合固态电解质。
1.2.1无机物固态电解质
氧化物固态电解质包括石榴石型固态电解质, 钙钛矿型LLTO固态电解质,NASICON型固态电解质,反钙钛矿型固态电解质[3]。石榴石型固态电解质的通式可以表示为Li3 xA3B2O12,其中A为八配位阳离子,B为六配位阳离子,2007年Murugen[6]等发现固态电解质Li7La3Zr2O12(LLZO)离子电导率很高,电压窗口(CV)也很宽,一般制备LLZO的方法有固相法和溶胶凝胶法两种:固相法所制备的LLZO的电导率在室温时较高,溶胶凝胶法可以比较方便地得到纳米级LLZO粉体。LLZO在空气中稳定性很好,而且不与锂反应,烧结体机械强度非常高,是全固态锂离子电池中比较理想的一类固态电解质。钙钛矿型固态电解质可表示为Li3xLa2/3-xTiO3结构稳定,制备工艺不复杂,成分可以进行变化,但是总体电导率受到晶界电导率的影响,通过Li/La位和Ti位掺杂,可提高颗粒电导率,晶界电导率则会因晶界修饰而有所改善。此外,LLTO与金属锂负极间的稳定性较差,金属锂由于具有还原性,会将La4 部分还原成La3 而引入电子电导,Kobayashi[7]等使用固态聚合物电解质并涂覆在LLTO的表面,阻止了 LLTO与金属锂的直接接触,组装的全固态电池循环性能得到了提高。1976 年Goodenough[8]等第一次报道了具有 NASICON 结构的 Na3Zr2Si2PO12 钠离子固态电解质,这类电解质一方面具有导钠性能,另一方面也能够传导锂离子,并且速度很快。反钙钛矿结构锂离子导体可表示为:Li3-2xMxHalO,其中M为 Mg2 、Ca2 、Sr2 或 Ba2 等高价阳离子,Hal为元素 Cl或I。当下人们研究的固态电解质中,具有反钙钛矿型是Li3ClO,在这个晶体中,Cl占据立方体的体心,O在八面体的中心,Li 在八面体的顶点处,形成了明显的富锂结构,除此之外,高价阳离子可以进行掺杂,其存在使得晶格中的空位数量增加,锂离子的通道大幅增加,从而增加了固态电解质的导电能力。综上所述,氧化物固态电解质热稳定性在空气中比较不错,制备成本偏低,规模化的生产成为可能。
将氧化物固态电解质中的O使用S取代,这就是硫化物固态电解质。S的原子半径相较于氧原子增加,导致极化率大,造成晶格畸变形成较大的离子通道;S电负性低,与Li 之间结合力较弱,体系内可移动载流子数量大;此外,存在非常多的主族元素都可以和硫能形成比较强的化学键,所以形成的硫化物有更好的化学稳定性,同时不与锂反应,从而硫化物固态电解质具有非常好的离子电导率[9]、晶界电阻很低、氧化电位很高。1999年,Kanno[10]等使用S把LISICON中的O替换,得到了thio-LISICON结构晶态固态电解质。之后,Kamaya等报道了一种具有锂离子三维扩散通道的硫化物晶态电解质Li10GeP2S12(LGPS),其室温电导率可达1.2×10-2 S/cm. Kato [11]等研究了一种新的硫化物晶态电解质,这种材料在27 ℃下的离子电导率可以到2.5×10-2 S/cm,之前所研究的LGPS只有它的一半。虽然硫化物电解质的离子电导率比起氧化物固态电解质高出许多,但它在空气中不够稳定(与空气中的某些气体反应形成H2S等对人体有害,对环境有污染的气体),也在一定程度上在限制了它的大规模制备和使用。
1.2.2聚合物固态电解质
有机聚合物电解质于20世纪70年代被发现,相比无机电解质,聚合物电解质的柔韧性较好,可加工型也很好,但是在室温下,聚合物易结晶且锂盐在无定型,一般需要在高于其融化温度以上的温度下工作[4],1979 年,Armand[4]等在聚氧乙烯(PEO)电解质的基础上,成功研发出了聚合物全固态锂离子电池。PEO也成了研究最早且研究最多的一类聚合物固态电解质,它不仅质量轻、粘弹性好、易成膜、电化学窗口宽、化学稳定性好、锂离子迁移数高,还能很好地抑制枝晶带来的问题;但是,和大多数聚合物固态电解质一样,室温下,PEO易结晶,且锂盐在无定型相中的溶解度低,导致室温的高结晶性造成Li 迁移困难,从而离子电导率不是很高,所以现在对于聚合物固态电解质的研究的主要方向是解决PEO在室温下的结晶问题。现在应用很多的几种的改性方法就是共混、共聚、交联以及添加无机颗粒。Archer等设计了一类新型交联PEO/聚乙烯(PE)电解质来抑制枝晶产生,从而提高锂离子扩散和迁移决定的锂电池性能。[28]
1.2.3复合固态电解质
利用聚合物固态电解质加入无机物作为填料,充分混合来制作复合固态电解质,就能得到复合固态电解质,相关研究表明,采用无机/有机体系制备复合固态电解质可以联合无机与有机材料的优点并协同提升固态电解质的综合性能,对全固态锂离子电池中固态电解质的研发具有指导意义[20]。与纯聚合物固态电解质相比,复合固态电解质的熔融温度(Tm)和玻璃化转变温度(Tg)都相对较低。因为中间有填料,可以提高普通聚合物固态电解质的电导率。
这类无机颗粒填料主要分为两类:惰性填料(如Al2O3,SiO2和TiO2等)和活性填料活性填料(如Li3N,Li7La3Zr2O12等)。除此之外,还有多孔有机填料复合固态电解质。具体来说,具有以下特点:[3]
(1)惰性填料复合固态电解质:把一些纳米颗粒添加到聚合物固态电解质里,可以影响锂离子的传输方式,纳米颗粒还能够在一定程度上减少聚合物的结晶现象,提高自由链段的数量并且加速链段的运动,两种作用都能明显提高电解质的离子电导率;但是如果纳米颗粒的添加过多,导电的聚合物相对变少,离子的传输方式变化,传输路径受到阻碍,离子电导率不如之前的比例[23],所以一定要注意掺杂的比例问题。
(2)活性填料复合固态电解质:活性填料就是能够提供锂离子的填料,一方面填料的存在可以增加锂离子的浓度,另一方面也能够增强锂离子的表面传输能力。这种填料造成的主要传导机制有:填料和离子对之间的反应,对离子对的解离产生影响,或者增加传输离子的数量。复合电解质中,填料和锂盐之间还会发生反应,使填料表面容纳更多阳离子,离子传输的通道增加也能提高电导率。填料表面也能容纳更多阴离子,束缚阴离子的活动,促进离子对解离,也加大了阳离子的活动范围。
(3)多孔有机填料复合固态电解质:根据相似相溶原理,多孔有机填料和聚合物基底有很好的作用,另一方面这种具有多孔结构的分子,提供了可供锂离子传输的通道。因此,研究多孔有机填料成为一个重点。使用纳米金属–有机框架制备复合固态电解质,组装的全固态电池具有良好的电化学性能。[24]
一维(1D)的纳米线和纳米管等结构类材料,由于其具有独特的低维度性能(例如独特的各向异性、径向离子扩散和优异的长径比等特性),一直是纳米科学和纳米技术的重点研究内容之一。同时,将一维无机纳米线作为活性填料加入聚合物固态电解质,从而构建快速-高效的锂离子传输网络的研究也逐渐引起科研人员的关注[20]。2015年,美国斯坦福大学Yi Cui课题组首先报道了将无机陶瓷纳米线作为活性填料加入聚合物PAN 中可以促进复合固态电解质中离子传导网络的形成。2017年,该课题组再次报道一种由规则阵列纳米线与PAN 复合的固态电解质,与无序状态的纳米线相比,这种复合固态电解质具有更高的离子电导率和优异的循环稳定性。 其中,离子电导率的提高归因于规则的阵列纳米线表面为锂离子的快速-高效传导提供传输路径[21]。此外,美国亚利桑那州立大学Candace K. Chan课题组也研究了 Li7La3Zr2O12 纳米线及分别用Al、Ta掺杂的Li7La3Zr2O12 纳米线作为无机填料时无机纳米线/PAN 复合固态电解质的性能和离子传输机理。 相对于没有一维无机纳米线加入的固态电解质,复合固态电解质离子电导率提高了3个数量级;相对于 LLZO 纳米颗粒/PAN 复合固态解质的离子电导率提高了1个数量级;相对于惰性Al2O3纳米线填料/PAN复合固态解质的离子电导率提高了1个数量级[22]。这些研究均表明:在复合固态电解质中,相比于独立存在的无机纳米颗粒而言,一维纳米材料能够提供更加快速-高效和连续的锂离子扩散路径,从而使复合固态电解质具有更高的离子电导率。
1.3全固态锂离子电池的发展历史和现状
开始时人们所研究的的固态电解质材料的电导率较低,因此只能在薄膜型全固态电池中使用。1969年,Liang[13]等首次报道了一种薄膜型全固态锂离子电池,该电池的电解质是LiI。不久之后,另一种使用LiI的全固态薄膜电池商业化了,并成功地用在心脏起搏器上[14]。但是那个时候的电池并不能进行充电,也就很难多次使用,为其广泛使用增加了阻碍。1983年,日本东芝公司报道开发了一款能够使用的二次薄膜电池Li/Li3.6Si0.6P0.4O4/TiS。此后,人们逐渐开始研究无机全固态薄膜锂的二次电池,日本NTT[15],美国Union Carbide[16]等公司也分别报道了各自的研究成果。1992年,美国橡树岭国家实验室的Bates[17]等成功研究出一种无机固态薄膜电解质LiPON,并推测出了多种薄膜锂电池的正负极体系。电池的电压范围是2-5 V,工作时的电流密度可以达到10 mA/cm2,循环性能也颇为可观。他们与ITN公司一起推出可商业化的薄膜锂电池,推动了全固态薄膜锂电池的研究。薄膜电池的研究在微型器件提供电能方面至关重要,但若想大规模使用,必须研究更大容量,更大体型的新电池。
以上是毕业论文大纲或资料介绍,该课题完整毕业论文、开题报告、任务书、程序设计、图纸设计等资料请添加微信获取,微信号:bysjorg。
相关图片展示:







您可能感兴趣的文章
- 改善锂离子电池中硅基负极存储性能的策略研究外文翻译资料
- 通过添加压电材料BaTiO3提高大功率锂离子电池的微米级SiO @ C/CNTs负极的电化学性能外文翻译资料
- Pd和GDC共浸渍的LSCM阴极在固体氧化物电解池高温电解CO2中的应用外文翻译资料
- 利用同步回旋加速器粉末衍射的方法来研究在有其他物相的情况下C4AF的水化作用外文翻译资料
- 外国循环流化床锅炉发展现状外文翻译资料
- 含石蜡基复合材料的多壁碳纳米管的热性能外文翻译资料
- 矸石电厂炉渣机制砂的应用研究外文翻译资料
- 机动车螺旋弹簧的失效分析外文翻译资料
- 从废阴极射线管和锗尾矿制备高强度玻璃泡沫陶瓷外文翻译资料
- 作为导热液体的液态金属在太阳能储热中的应用外文翻译资料


