高硬度铝酸盐玻璃的无坩埚制备与机理探索毕业论文
2020-02-19 15:33:05
摘 要
随着科技的发展,社会对玻璃的性能要求也来越高,高硬度铝酸盐玻璃作为一种高硬度材料,能够做成强力镜片,广泛应用到建筑、电子等行业中去。我们设计了两种组分的稀土铝酸盐玻璃即37.5Re2O3-62.5Al2O3(Re=La,Nd,Sm,Gd,Dy,Y)玻璃和掺入N的90(33.75Re2O3-56.25Al2O3)-10AlN(Re=La,Nd,Sm,Gd,Y)玻璃,使用气悬浮熔制炉制备它们,并使用维氏硬度仪探究这两种玻璃的硬度、抗碎裂性等,探究掺入N后对二元体系玻璃性能的影响。
实验结果表明,两种体系玻璃的硬度、抗碎裂性都远高于普通的硅酸盐玻璃,且组分中稀土元素的离子半径越大,其形成的玻璃的硬度、抗碎裂能力都会增强,掺入氮元素,三元体系相较二元体系而言,硬度降低,抗碎裂性上升。
关键词: 高硬度铝酸盐玻璃;稀土元素;抗碎裂性
Abstract
With the development of science and technology, the society has higher requirements on the performance of glass. As a kind of high hardness material, aluminate glass with high hardness can be made into powerful glasses, which are widely used in construction, electronics and other industries. We have designed two kinds of rare earth aluminate glasses:37.5Re2O3-62.5Al2O3 glass(Re=La,Nd,Sm,Gd,Dy,Y)and 90(33.75Re2O3-56.25Al2O3)-10AlN(Re=La,Nd,Sm,Gd,Dy,Y)glass mixed with nitrogen. They were prepared using a gas suspended melting furnace, and vickers hardness tester was used to investigate the hardness and fracture resistance of the two kinds of glass. Then The effect of nitrogen on the properties of binary glass was investigated.
The experimental results show that the hardness and fracture resistance of glass in both systems are much higher than that of ordinary silicate glass. In addition, the larger the ion radius of the rare earth elements in the component, the stronger the hardness and anti-cracking ability of the glass formed by it will be. When nitrogen was added, compared with binary system, ternary system had lower hardness and higher resistance to fragmentation.
Key Words: High hardness aluminate glass; rare earth element; cracking resistance
目录
第1章 绪论 1
1.1 引言 1
1.2 玻璃的概述 1
1.2.1 玻璃的定义 1
1.2.2 玻璃的结构 1
1.2.3 玻璃的形成 2
1.3稀土铝酸盐体系玻璃 2
1.4无容器气动悬浮激光加热技术 2
1.5 本课题的研究目的、意义和研究内容 3
1.5.1 研究目的和意义 3
1.5.2 研究的主要内容 4
第2章 材料制备及性能表征 5
2.1 实验试剂及仪器 5
2.1.1 实验试剂 5
2.1.2 实验设备 5
2.2 玻璃样品的制备 5
2.2.1 37.5Re2O3-62.5Al2O3二元体系玻璃的制备 5
2.2.2 90(33.75Re2O3-55.25Al2O3)-10AlN三元体系玻璃的制备 5
2.3 样品性能测试与表征 5
第3章 37.5Re2O3-62.5Al2O3玻璃的物理性能探索 7
3.1 气动悬浮炉简介 7
3.1.1仪器构造 7
3.1.2 气动悬浮炉的优缺点 9
3.2 37.5Re2O3-62.5Al2O3玻璃的物理性能 9
3.2.1 37.5Re2O3-62.5Al2O3玻璃的密度 9
3.2.2 37.5Re2O3-62.5Al2O3玻璃的维氏硬度 10
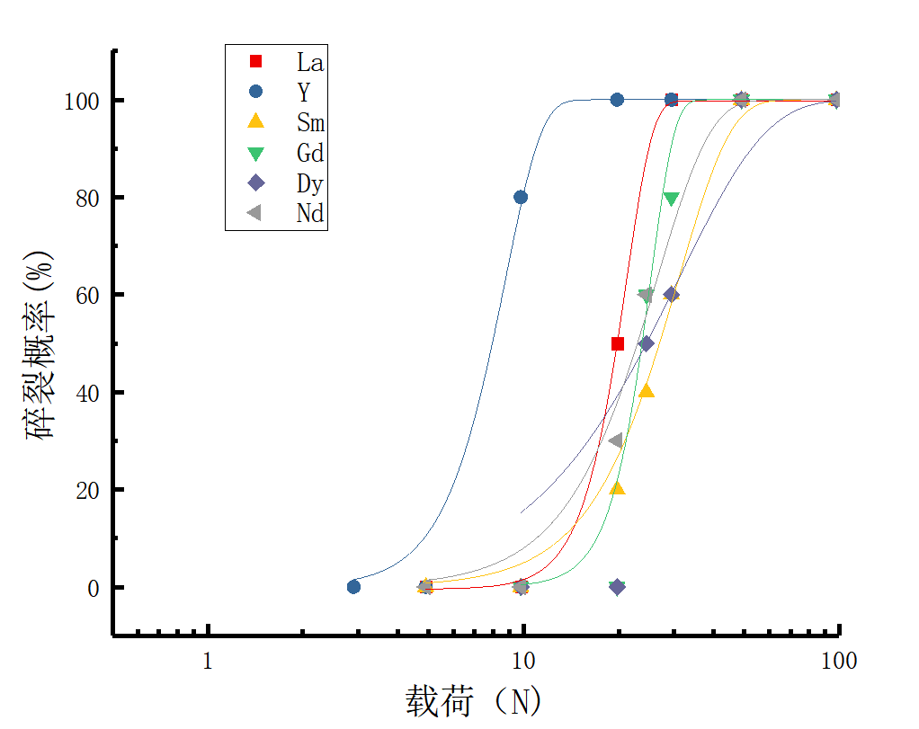
3.2.3 37.5Re2O3-62.5Al2O3玻璃的抗碎裂性 11
3.2.4 37.5Re2O3-62.5Al2O3玻璃的原子堆积密度 13
3.3 本章小结 15
第4章 90(33.75Re2O3-56.25Al2O3)-10AlN三元体系玻璃 16
4.1 背景 16
4.2 90(33.75Re2O3-56.25Al2O3)-10AlN三元体系玻璃的性能 16
4.2.1 90(33.75Re2O3-56.25Al2O3)-10AlN玻璃的密度 16
4.2.2 90(33.75Re2O3-56.25Al2O3)-10AlN玻璃的维氏硬度 17
4.2.3 90(33.75Re2O3-56.25Al2O3)-10AlN玻璃的抗碎裂性 17
4.2.4 90(33.75Re2O3-56.25Al2O3)-10AlN玻璃的原子堆积密度 19
4.3 小结 20
第5章 结论 22
参考文献 23
致谢 25
论文所用原材料费用一览表 26
论文测试及分析费用一览表 27
第1章 绪论
- 引言
随着经济的迅猛发展,人们的生活质量在不断地改善,人们对生活的要求也在不断提高。玻璃作为一种基础的非晶无机非金属材料,社会对其性质的要求也越来越高,随着科学的不断发展变革,玻璃的应用也变得多种多样,发展扩散到各个领域中去。
硬度作为玻璃的一种重要性质,在生活、生产中往往有着比较高的要求,高硬度的玻璃也越来越受到市场的欢迎,铝酸盐玻璃由于Al2O3的高解离能而有着较为较高的硬度和弹性模量,[1]纯Al2O3无法形成玻璃,但加入一些金属氧化物如稀土金属氧化物能形成玻璃,这种玻璃具有良好的力学、热学、光学性质,具有良好的市场前景。
稀土铝酸盐玻璃的玻璃形成能力较弱,采用传统的坩埚制法很难制取,近年来,一种无坩埚制备方法即气悬浮熔炼法[2]得到应用,稀土铝酸盐的制备、测试变得更加简单,制出的玻璃更加纯净、性能更加优越。
- 玻璃的概述
- 玻璃的定义
- 玻璃的概述
玻璃作为一种无机非金属材料,一般是由多种无机矿物(如石英砂、硼砂、硼酸、重晶石、碳酸钡、石灰石、长石、纯碱等)为主要原料,另外加入少量的辅助原料制成的,主要成分为硅酸盐和其它氧化物。
玻璃在狭义概念上指的是凝固时不结晶的无机熔融物,而在广义概念上指结构上完全表现为长程无序、短程有序,性能上具有转变特性的非晶态物质。主要分为无机玻璃(如石英玻璃、钠钙硅玻璃、光学玻璃、氟化物玻璃)、金属玻璃(软磁性合金、高强度无定型合金)、有机玻璃(如环氧树脂)、无定型炭(如炭黑、碳膜)、凝胶(如硅胶、硅矾土)以及非晶半导体。玻璃态共同拥有的特性有各向同性、无固定熔点、介稳性、渐变性与可逆性,这些性质在工业的应用上十分常见[2]。
- 玻璃的结构
玻璃的结构主要存在以下两个学说,即晶子学说和无规则网络学说。晶子学说认为玻璃是由微晶和无定型物质两部分组成,微晶与无定型物质间有着明显的间隙,微晶的取向是无序的,以此来解释玻璃的分相、晶相等;而无规则网络学说认为玻璃的近程有序与晶体类似,即形成氧离子多面体(三角体和四面体),多面体间顶角相连形成三维空间连续的网络,但其排列是无序的。这解释了玻璃的各向同性,内部性质均匀性和性质变化的连续性。
晶子学说强调了玻璃结构的近程有序性;无规则网络学说则着重说明了玻璃结构的连续性、统计均匀性与无序性。
- 玻璃的形成
玻璃形成的条件主要分为热力学观点和动力学观点,而热力学只能判断几种氧化物形成玻璃的能力,但是从热力学角度来说明某物质是形成玻璃还是形成晶体,却不是很有效的方法,因而热力学观点只适合研究反应和平衡等。
近代研究证实,只要冷却速率足够快,几乎任何物质都能形成玻璃,包括金属亦可能保持其高温的无定形状态;反之,如在低于熔点范围内保温足够长的时间,则任何玻璃形成体都能结晶,因此从动力学的观点来看,形成玻璃的关键因素是熔体的冷却速率。
1.3稀土铝酸盐体系玻璃
稀土铝酸盐玻璃指的是稀土元素氧化物和氧化铝混合制成的玻璃,相比于普通玻璃,它们拥有更高的熔点,且玻璃形成能力比较弱,需要高温加热与极快的冷却速率才能成玻,这种条件往往很难达成,稀土铝酸盐玻璃有着很高的硬度、优良的抗碎裂性和光学性质。
传统的玻璃熔制方法无法制成稀土铝酸盐玻璃这种成玻能力弱的玻璃,近年来,一种通过将原料吹浮到空中,通过CO2激光达到极度的高温和极速的淬冷制玻璃的仪器得到广泛应用,即气悬浮熔制炉。
1.4无容器气动悬浮激光加热技术
非晶态材料或者玻璃材料的合成,通常是通过将熔体或者液体快速冷却的方
法来实现,而在液相冷却的过程中,如何有效地避免形核与结晶,是玻璃形成的
关键。因此,为了得到纯净无晶化的玻璃,就必须保持液相在足够高的冷却速度下固化[1]
最常见且传统的玻璃熔制方法,是将原料置于坩埚中,在高温下熔化,然后将高温熔体倾倒在低温的金属板或者模具中,熔体具备较强的玻璃形成能力即可成玻璃。在常用的坩埚法制备玻璃的过程中,在坩埚和熔体接触界面上,即使是存在微量的异相形核中心[4],也极容易造成脆性液体的迅速晶化。在高温下,熔体会和坩埚接触,特别是当熔体可以和坩埚接触界面相互浸润时,不仅容易造成异质形核,更容易发生反应造成液相沾污。因此,为了避免材料污染,坩埚的选择变得很有限,往往必须是在高温下化学活性极低的材质,比如铂铑合金,而这类材质的刚果,往往价格昂贵,而且很多情况下还必须有气氛保护。基于以上考虑,无容器过程,亦或者说悬浮熔制方法,会是一个很好地选择。
悬浮熔制方法,是将固体样品原料通过一定方式悬浮起来,在不和任何容器接触的情况下,样品被加热之后,熔体可以高速冷却,从而形成玻璃。这种方法有以下几个优点:
(1)可以利用激光束进行加热,也可以利用感应加热方式,实现极度的高温,尤其适用于实现高熔点原料的玻璃化;
(2)熔体冷却速率极高,即使是玻璃形成能力较弱的组分,亦可形成玻璃;
(3)有效避免了熔体与容器接触而造成的异质形核和污染;
(4)由于不需要将熔体取出倾倒,设备可以设计为密封,并选择合适的气氛保护;
(5)反应过程中熔体会暴露在视野中,设备中置入各种探测器,可以同步对高温液相进行观察测试,研究高温熔体的性质。简而言之,悬浮熔制方法可以有效地突破传统玻璃熔制方法的一些局限,对于开拓玻璃研究领域,加深对玻璃科学本质问题的研究,都有着重要的意义。[5]
1.5 本课题的研究目的、意义和研究内容
1.5.1 研究目的和意义
获得“硬”和“抗裂”的眼镜在玻璃科学中一直是很重要的技术,而在大多数情况下,这两种性质是互不相容的,许多人需要结合“硬”和“抗裂”的机械属性的强力眼镜,技术领域包括建筑,运输和电子。但是,固有的脆性眼镜限制了他们的应用,同时实现高硬度和抗裂性始终如一一直是玻璃科学与技术的重要问题。
Al2O3是增加氧化物玻璃硬度的关键组分之一,因为它具有氧化物中每单位体积的最高解离能,随着Al2O3含量增加,玻璃的原子堆积密度增加,含有大量Al2O3的玻璃,如稀土铝硅酸盐,硅铝酸盐和铝酸盐玻璃,填充密度的增加促进了玻璃硬度的增加,然而也使它们在压痕硬度实验中更容易开裂。一个有效的增加玻璃抗裂性的方法是通过物理或化学方法强化玻璃表面,在表面产生压缩应力层,防止裂纹萌生和扩展。
通过调节化学成分来设计低脆性玻璃以提高玻璃变形能力。Sehgal和Ito[5]开发了一种不易碎的钠钙硅玻璃,通过调节玻璃的摩尔体积,这种玻璃具有较低的脆性和较高的压痕断裂韧性。 Gross[6]等人合成的10CaO10Al2O380SiO2 玻璃有着很高的抗碎裂性和不受温度影响的理想弹性模量。.
Morozumi[7]等人制造的铝硼硅酸钠玻璃具有很高的抗碎裂性,这些防裂眼镜可以在原子没有位移开裂的情况下释放压力,主要通过致密化导致塑性变形并在一定程度上产生剪性变形。
最常见且传统的玻璃熔制方法,是将原料至于坩埚内,在高温中熔化,然后将高温熔体倾倒在低温的金属板或者模具中,熔体具备较强的玻璃形成能力即可形成玻璃。熔体和坩埚接触界面上,即便是极端的淬冷也很难阻止液相的晶化,还容易造成异质形核,更容易发生反应造成液相沾污。
基于以上考虑,气悬浮熔制法会是一种很好地方法,将原料用气体吹浮起来,利用CO2激光加热来达到极度的高温,切断激光功率来达到极高速率的淬冷,有效避免了熔体和容器接触造成的异质形核沾污。这样一来,即便是不易玻璃化的铝酸盐玻璃也能成功玻璃化,且没有污染。
采用电磁悬浮、静电悬浮、空气动力学悬浮炉等装置可以来制备高硬度铝酸,利用高速摄像机成像可以测得原料的密度,声学激发测试原料的表面张力和粘度,将实验后的铝酸盐玻璃进行硬度测试,得到它的物理、机械性能。[8]
高硬度铝酸盐玻璃作为一种高硬度、低脆性的玻璃材料,在日常生活用品中将会变得越来越常见,在今后的一些镜片应用上也会越来越多,性能越来越优越。同时,这种玻璃不易碎,经久耐用,一定程度上减少了普通玻璃生产过程中所造成的污染,对环境有一定的环保作用,也对人的安全起到了保障作用,对社会的发展有着推进作用。
1.5.2 研究的主要内容
以铝酸盐相图为基础,设计系列铝酸盐玻璃组分,将各组分充分混匀的配合料熔制成玻璃,并测量玻璃的硬度、密度、抗碎裂性等物理性能。
(1)采用气悬浮熔制法(无坩埚制备法)制备出37.5Re2O3-62.5Al2O3二元玻璃,Re=La、Nd、Sm、Gd、Dy、Y,和90(33.75Re2O3-56.25Al2O3)-10AlN三元玻璃,Re=La、Nd、Sm、Gd、Y。
(2)使用硬度测试仪测试两种玻璃的维氏硬度、抗碎裂性,测量计算玻璃的原子堆积密度,并讨论掺N后三元玻璃的性能变化。
第2章 材料制备及性能表征
以上是毕业论文大纲或资料介绍,该课题完整毕业论文、开题报告、任务书、程序设计、图纸设计等资料请添加微信获取,微信号:bysjorg。
相关图片展示:







您可能感兴趣的文章
- 改善锂离子电池中硅基负极存储性能的策略研究外文翻译资料
- 通过添加压电材料BaTiO3提高大功率锂离子电池的微米级SiO @ C/CNTs负极的电化学性能外文翻译资料
- Pd和GDC共浸渍的LSCM阴极在固体氧化物电解池高温电解CO2中的应用外文翻译资料
- 利用同步回旋加速器粉末衍射的方法来研究在有其他物相的情况下C4AF的水化作用外文翻译资料
- 外国循环流化床锅炉发展现状外文翻译资料
- 含石蜡基复合材料的多壁碳纳米管的热性能外文翻译资料
- 矸石电厂炉渣机制砂的应用研究外文翻译资料
- 机动车螺旋弹簧的失效分析外文翻译资料
- 从废阴极射线管和锗尾矿制备高强度玻璃泡沫陶瓷外文翻译资料
- 作为导热液体的液态金属在太阳能储热中的应用外文翻译资料


