锂离子电池充放电过程中的热行为及有限元模拟研究毕业论文
2020-07-07 22:10:23
摘 要
随着现代工业的发展,日益增长的能源需求与不断枯竭的化石能源之间的矛盾日益激烈,汽车工业正面临着前所未有的挑战。传统的解决方法是改善汽车的点火系统,升级汽车的发动机来提高燃油的利用率。汽车发动机消耗的还是化石燃料,所以并不能从根本上解决环境问题;化石燃料的有效利用率并不是很高,即大部分能量都会以燃烧热的形式散失在环境中,因此需要开发以锂离子电池为动力源的新能源汽车,这样不仅可以减少化石燃料的消耗,保护的环境,同时还可以提高能源的利用效率。
但是,如果投入大量的锂离子电池进行电池热失控分析,不仅会导致很多不必要的资源浪费,而且还会浪费大量的人力、物力和财力。面对这些情况,建立了关于锂离子电池的数值模型,来模拟在当今市场上广泛应用的电池。这样不仅可以节约很多时间来对电池进行创新,同时还可以通过模拟软件对电池的内部动态变化进行分析。
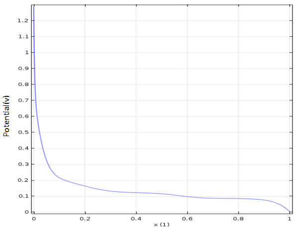
本文以市场上广泛应用的26650锂离子电池为原型,根据电池参数建立一维电化学-三维热模型进行模拟分析。为了验证模型的有效性,利用新威电池测试系统和模拟软件同时进行1C的放电实验,记录两者都电流和电压值并进行对比。电化学模型模拟得出在不同放电倍率下的电池电压变化趋势,以及在不同粒径下的颗粒内外浓度差和过电势等电化学变量。电池热模型可以预测电池在不同倍率放电过程中的内部温度变化,并计算电池的产热值。
通过模拟,得出在低放电倍率的情况下,电池内部存在吸热现象,这是因为电池可逆热在反应初期为负值,同时还对电池的三种产热机理进行了分析,最后通过改变了电池的电极颗粒半径,分析了电极颗粒半径与过电势,电池容量之间的关系,得出减少电极颗粒半径有助于提高电池容量,减少热量的产生。
关键词:锂离子电池 一维电化学模型 三维热模型 电池产热 电极颗粒粒径
ABSTRACT
With the development of modern industry, the conflicts between the growing of energy demanding and the depleted of fossil fuel reserves become more and more fierce, the automobile industry is facing unprecedented challenges. The traditional solution is improving the ignition system, upgrade the engine of the car to improve the fuel utilization rate. In spite of the automobile engines still using fossil fuels, they can't solve environmental problems initially; in the mean time, the utilization of fossil fuels is not effective, that is, most of the energy will be lost in the surrounding , so we need to develop some new energy using vehicles, which is get rid of fossil fuels. If we achieve this project, not only protecting our environment, but also improving our efficiency of energy .
By the way, if we input too much battery to study the thermal control, we will abuse a lot of resources and time. So we need to exhibit a lithium battery thermal model to modeling the battery, in this way, we can save a lots of time and resources.
In the following passage, we establish the model of 26650 battery and prove the correctness by discharge the model and battery both in 1C.The elector-chemical model express the trend of the battery voltage in different discharge rates, the internal and external concentration difference and the over potential under different particle sizes.The thermal model of the battery predict the internal temperature change of the battery in different discharge rates and calculate the calorific value of the battery.
By this experimentation, we find that in the low depth of charge, the battery is absorb the heat,and we analysis the cause of three kind of thermal heat generation, finally we research the battery capacity in different particle radius.
Key Words: Lithium ion battery; one dimension of elector-chemical model ;three dimension of elector-chemical - thermal coupling model; heat generate of battery; the radius of electrode
目 录
摘 要
ABSTRACT
目 录
第一章 绪论
1.1 锂离子电池简介
1.1.1锂离子电池的发展史
1.1.2 工作原理
1.1.3 优势
1.1.4 安全问题
1.2 锂离子电池模型的现实状况
1.2.1 背景
1.2.2 锂离子电池热模型
1.2.3 电化学模型
1.2.4 电化学-热耦合模型
1.3 COMSOL Multiphysics软件
第二章 锂离子电池电化学-热耦合模型介绍
2.1 模型基本参数
2.2 模型的建立
2.2.1 模型图解
2.3 26650电池参数
2.4 电池的动态参数
第三章 模型创建的结果与讨论
3.1 模型的建立
3.2 模型的验证
3.3 电化学行为研究
3.3.1 不同放电倍率下电池电压变化
3.3.2 不同粒径下锂离子浓度分布
3.3.3 不同粒径下过电势与电池容量变化
3.4电池热行为研究
3.4.1 在不同的放电倍率下电池的产热与内部温升之间的关系
3.4.2 电池产热率与放电深度的关系
第四章 前景与展望
参考文献
第一章 绪论
1.1 锂离子电池简介
1.1.1锂离子电池的发展史
锂离子电池作为电动汽车的供能部件,在实际工作中的效率对于电动汽车的研发和市场化具有举足轻重的作用[1]。电池的稳定性决定了操作人员的人身安全和财产安全,电池的使用时间和充电循环次数直接影响了电动汽车的行驶总公里数和汽车的成本。锂离子电池内部的反应和温度是时时刻刻变化着的,即处于动态,非线性的,不仅其内部的电化学反应过程和其进行地反应动力学机理十分地复杂,同时还随着锂离子电池地使用,对其进行上千次循环充放电时,电池地性能将会不断的退化[2]。
进入21世纪,由日本研发的锂离子电池在国际市场上占据很大的比重,从而引起相应的竞争对手如中国,韩国等国的模仿和创新,导致日本的技术和产业优势逐渐减少。除了应用于手机电池和便携式电子设备之外,锂离子电池由其自身的优势逐渐占据汽车,航空,电子,军事等领域的市场分额[3]。
相关图片展示:







您可能感兴趣的文章
- 改善锂离子电池中硅基负极存储性能的策略研究外文翻译资料
- 通过添加压电材料BaTiO3提高大功率锂离子电池的微米级SiO @ C/CNTs负极的电化学性能外文翻译资料
- Pd和GDC共浸渍的LSCM阴极在固体氧化物电解池高温电解CO2中的应用外文翻译资料
- 利用同步回旋加速器粉末衍射的方法来研究在有其他物相的情况下C4AF的水化作用外文翻译资料
- 外国循环流化床锅炉发展现状外文翻译资料
- 含石蜡基复合材料的多壁碳纳米管的热性能外文翻译资料
- 矸石电厂炉渣机制砂的应用研究外文翻译资料
- 机动车螺旋弹簧的失效分析外文翻译资料
- 从废阴极射线管和锗尾矿制备高强度玻璃泡沫陶瓷外文翻译资料
- 作为导热液体的液态金属在太阳能储热中的应用外文翻译资料


